Preparation of Novel Organic Polymer Semiconductor and Its Properties in Transistors through Collaborative Theoretical and Experimental Approaches
Abstract
:1. Introduction
2. Materials and Methods
3. Results
3.1. Synthesis Routes to Polymer PTVDPP-2FT through Stille Coupling Polymerization
3.2. Density Functional Theory Calculation
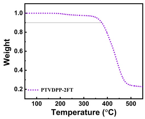
3.3. Photochemical Properties and Electrochemical Properties
3.4. OTFT Device Performance
3.5. Morphological Analysis of PTVDPP-2FT Films
3.6. Grazing Incidence X-ray Diffraction of the Polymer Films
4. Discussion
5. Conclusions
Supplementary Materials
Author Contributions
Funding
Institutional Review Board Statement
Data Availability Statement
Acknowledgments
Conflicts of Interest
References
- Zhang, Q.; Hu, W.; Sirringhaus, H.; Müllen, K. Recent Progress in Emerging Organic Semiconductors. Adv. Mater. 2022, 34, 2108701–2108704. [Google Scholar] [CrossRef]
- Bronstein, H.; Nielsen, C.B.; Schroeder, B.C.; McCulloch, I. The role of chemical design in the performance of organic semiconductors. Nat. Rev. Chem. 2020, 4, 66–77. [Google Scholar] [CrossRef]
- Anthony, J.E.; Facchetti, A.F.; Heeney, M.J.; Marder, S.R.; Zhan, X. n-Type Organic Semiconductors in Organic Electronics. Adv. Mater. 2010, 22, 3876–3892. [Google Scholar] [CrossRef]
- Ding, L.; Yu, Z.-D.; Wang, X.-Y.; Yao, Z.F.; Lu, Y.; Yang, C.-Y.; Wang, J.Y.; Pei, J. Polymer Semiconductors: Synthesis, Processing, and Applications. Chem. Rev. 2023, 123, 7421–7497. [Google Scholar] [CrossRef]
- Chen, J.; Zhu, M.; Shao, M.; Shi, W.; Yang, J.; Kuang, J.; Wang, C.; Gao, W.; Zhu, C.; Meng, R.; et al. Molecular Design of Multifunctional Integrated Polymer Semiconductors with Intrinsic Stretchability, High Mobility, and Intense Luminescence. Adv. Mater. 2023, e2305987–e2306021. [Google Scholar] [CrossRef]
- Yang, D.; Ma, D. Development of Organic Semiconductor Photodetectors: From Mechanism to Applications. Adv. Opt. Mater. 2018, 7, 1800522–1822545. [Google Scholar] [CrossRef]
- Zhang, W.; Sun, C.; Qin, S.; Shang, Z.; Li, S.; Zhu, C.; Yang, G.; Meng, L.; Li, Y. A Cost-Effective Alpha-Fluorinated Bithienyl Benzodithiophene Unit for High-Performance Polymer Donor Material. ACS Appl. Mater. Interfaces 2021, 13, 55403–55411. [Google Scholar] [CrossRef]
- Zhang, X.; Dong, H.; Hu, W. Organic Semiconductor Single Crystals for Electronics and Photonics. Adv. Mater. 2018, 30, e1801048–e1801442. [Google Scholar] [CrossRef]
- Murad, A.R.; Iraqi, A.; Aziz, S.B.; Abdullah, S.N.; Brza, M.A. Conducting Polymers for Optoelectronic Devices and Organic Solar Cells: A Review. Polymers 2020, 12, 2627. [Google Scholar] [CrossRef]
- Ren, S.; Habibi, A.; Ni, P.; Nahdi, H.; Bouanis, F.Z.; Bourcier, S.; Clavier, G.; Frigoli, M.; Yassar, A. Synthesis and characterization of solution-processed indophenine derivatives for function as a hole transport layer for perovskite solar cells. Dye. Pigment. 2023, 213, 111136–111147. [Google Scholar] [CrossRef]
- Sirringhaus, H. 25th anniversary article: Organic field-effect transistors: The path beyond amorphous silicon. Adv. Mater. 2014, 26, 1319–1335. [Google Scholar] [CrossRef]
- Yang, J.; Zhao, Z.; Wang, S.; Guo, Y.; Liu, Y. Insight into High-Performance Conjugated Polymers for Organic Field-Effect Transistors. Chem 2018, 4, 2748–2785. [Google Scholar] [CrossRef]
- Chen, J.; Yang, J.; Guo, Y.; Liu, Y. Acceptor Modulation Strategies for Improving the Electron Transport in High-Performance Organic Field-Effect Transistors. Adv. Mater. 2021, 34, 2104325–2104355. [Google Scholar] [CrossRef]
- Reese, C.; Roberts, M.; Ling, M.-m.; Bao, Z. Organic thin film transistors. Mater. Today 2004, 7, 20–27. [Google Scholar] [CrossRef]
- Deng, P.; Zhang, Q. Recent developments on isoindigo-based conjugated polymers. Polym. Chem. 2014, 5, 3298–3305. [Google Scholar] [CrossRef]
- Griggs, S.; Marks, A.; Bristow, H.; McCulloch, I. n-Type organic semiconducting polymers: Stability limitations, design considerations and applications. J. Mater. Chem. C Mater. 2021, 9, 8099–8128. [Google Scholar] [CrossRef]
- Luo, X.; Shen, H.; Perera, K.; Tran, D.T.; Boudouris, B.W.; Mei, J. Designing Donor–Acceptor Copolymers for Stable and High-Performance Organic Electrochemical Transistors. ACS Macro Lett. 2021, 10, 1061–1067. [Google Scholar] [CrossRef]
- Yi, Z.; Wang, S.; Liu, Y. Design of High-Mobility Diketopyrrolopyrrole-Based pi-Conjugated Copolymers for Organic Thin-Film Transistors. Adv. Mater. 2015, 27, 3589–3606. [Google Scholar] [CrossRef]
- Zhang, Y.; Wang, Y.; Gao, C.; Ni, Z.; Zhang, X.; Hu, W.; Dong, H. Recent advances in n-type and ambipolar organic semiconductors and their multi-functional applications. Chem. Soc. Rev. 2023, 52, 1331–1381. [Google Scholar] [CrossRef]
- Feng, K.; Guo, H.; Sun, H.; Guo, X. n-Type Organic and Polymeric Semiconductors Based on Bithiophene Imide Derivatives. Acc. Chem. Res. 2021, 54, 3804–3817. [Google Scholar] [CrossRef]
- Ding, L.; Wang, Z.Y.; Wang, J.Y.; Pei, J. Organic Semiconducting Materials Based on BDOPV: Structures, Properties, and Applications. Chin. J. Chem. 2019, 38, 13–24. [Google Scholar] [CrossRef]
- Sun, Y.; Di, C.a.; Xu, W.; Zhu, D. Advances in n-Type Organic Thermoelectric Materials and Devices. Adv. Electron. Mater. 2019, 5, 1800825–1800852. [Google Scholar] [CrossRef]
- Luo, N.; Zhang, G.; Liu, Z. Keep glowing and going: Recent progress in diketopyrrolopyrrole synthesis towards organic optoelectronic materials. Org. Chem. Front. 2021, 8, 4560–4581. [Google Scholar] [CrossRef]
- Ni, Z.; Dong, H.; Wang, H.; Ding, S.; Zou, Y.; Zhao, Q.; Zhen, Y.; Liu, F.; Jiang, L.; Hu, W. Quinoline-Flanked Diketopyrrolopyrrole Copolymers Breaking through Electron Mobility over 6 cm2 V−1 s−1 in Flexible Thin Film Devices. Adv. Mater. 2018, 30, 1704843–1704850. [Google Scholar] [CrossRef] [PubMed]
- Wang, Z.; Song, X.; Jiang, Y.; Zhang, J.; Yu, X.; Deng, Y.; Han, Y.; Hu, W.; Geng, Y. A Simple Structure Conjugated Polymer for High Mobility Organic Thin Film Transistors Processed from Nonchlorinated Solvent. Adv. Sci. 2019, 6, 1902412–1902419. [Google Scholar] [CrossRef]
- Bao, W.W.; Li, R.; Dai, Z.C.; Tang, J.; Shi, X.; Geng, J.T.; Deng, Z.F.; Hua, J. Diketopyrrolopyrrole (DPP)-Based Materials and Its Applications: A Review. Front. Chem. 2020, 8, 679–685. [Google Scholar] [CrossRef]
- Lee, J.; Han, A.R.; Yu, H.; Shin, T.J.; Yang, C.; Oh, J.H. Boosting the Ambipolar Performance of Solution-Processable Polymer Semiconductors via Hybrid Side-Chain Engineering. J. Am. Chem. Soc. 2013, 135, 9540–9547. [Google Scholar] [CrossRef]
- Liu, Q.; Bottle, S.E.; Sonar, P. Developments of Diketopyrrolopyrrole-Dye-Based Organic Semiconductors for a Wide Range of Applications in Electronics. Adv. Mater. 2020, 32, e1903882–e1903928. [Google Scholar] [CrossRef]
- Ji, Y.; Xiao, C.; Wang, Q.; Zhang, J.; Li, C.; Wu, Y.; Wei, Z.; Zhan, X.; Hu, W.; Wang, Z.; et al. Asymmetric Diketopyrrolopyrrole Conjugated Polymers for Field-Effect Transistors and Polymer Solar Cells Processed from a Nonchlorinated Solvent. Adv. Mater. 2016, 28, 943–950. [Google Scholar] [CrossRef] [PubMed]
- Ren, S.; Zhang, W.; Wang, Z.; Yassar, A.; Liao, Z.; Yi, Z. Synergistic Use of All-Acceptor Strategies for the Preparation of an Organic Semiconductor and the Realization of High Electron Transport Properties in Organic Field-Effect Transistors. Polymers 2023, 15, 3392. [Google Scholar] [CrossRef] [PubMed]
- Ren, S.; Wang, Z.; Zhang, W.; Ding, Y.; Yi, Z. Donor-Acceptor-Based Organic Polymer Semiconductor Materials to Achieve High Hole Mobility in Organic Field-Effect Transistors. Polymers 2023, 15, 3713. [Google Scholar] [CrossRef] [PubMed]
- Ren, S.; Ding, Y.; Zhang, W.; Wang, Z.; Wang, S.; Yi, Z. Rational Design of Novel Conjugated Terpolymers Based on Diketopyrrolopyrrole and Their Applications to Organic Thin-Film Transistors. Polymers 2023, 15, 3803. [Google Scholar] [CrossRef] [PubMed]
- Cheon, H.J.; An, T.K.; Kim, Y.H. Diketopyrrolopyrrole (DPP)-Based Polymers and Their Organic Field-Effect Transistor Applications: A Review. Macromol. Res. 2022, 30, 71–84. [Google Scholar] [CrossRef]
- Frisch, M.J.; Trucks, G.; Schlegel, H.B.; Scuseria, G.E.; Robb, M.A.; Cheeseman, J.R.; Scalmani, G.; Barone, V.; Mennucci, B.; Petersson, G.A. Gaussian 09W, Revision A. 02; Gaussian Inc.: Wallingford, CT, USA, 2009. [Google Scholar]
- Lee, C.; Yang, W.; Parr, R.G. Development of the Colle-Salvetti correlation-energy formula into a functional of the electron density. Phys. Review. B Condens. Matter 1988, 37, 785–789. [Google Scholar] [CrossRef]
- Jiang, H.; Hu, W. The Emergence of Organic Single-Crystal Electronics. Angew. Chem. Int. Ed. 2019, 59, 1408–1428. [Google Scholar] [CrossRef]
- Nielsen, C.B.; Turbiez, M.; McCulloch, I. Recent advances in the development of semiconducting DPP-containing polymers for transistor applications. Adv. Mater. 2013, 25, 1859–1880. [Google Scholar] [CrossRef] [PubMed]
- Zheng, Y.; Zhang, S.; Tok, J.B.H.; Bao, Z. Molecular Design of Stretchable Polymer Semiconductors: Current Progress and Future Directions. J. Am. Chem. Soc. 2022, 144, 4699–4715. [Google Scholar] [CrossRef]
- Cao, X.; Li, H.; Hu, J.; Tian, H.; Han, Y.; Meng, B.; Liu, J.; Wang, L. An Amorphous n-Type Conjugated Polymer with an Ultra-Rigid Planar Backbone. Angew. Chem. Int. Ed. 2022, 62, 202212979–202212986. [Google Scholar] [CrossRef]
- Wu, Z.; Liu, W.; Yang, X.; Li, W.; Zhao, L.; Chi, K.; Xiao, X.; Yan, Y.; Zeng, W.; Liu, Y.; et al. An In-Situ Cyanidation Strategy to Access Tetracyanodiacenaphthoanthracene Diimides with High Electron Mobilities Exceeding 10 cm2 V−1 s−1. Angew. Chem. 2023, 135, 202307695–202307705. [Google Scholar] [CrossRef]
- Tao, X.; Li, W.; Wu, Q.; Wei, H.; Yan, Y.; Zhao, L.; Hu, Y.; Zhao, Y.; Chen, H.; Liu, Y. Ladder-Like Difluoroindacenodithiophene-4,9-dione Derivative: A New Acceptor System for High-Mobility n-Type Polymer Semiconductors. Adv. Funct. Mater. 2022, 33, 2210846–2210857. [Google Scholar] [CrossRef]









| Mn | Mw | Đ | C | H | N | |
|---|---|---|---|---|---|---|
| (%) | (%) | (%) | ||||
| PTVDPP-2FT | 16,970 | 35,780 | 2.10 | 72.84 | 8.28 | 2.58 |
| repeating unit 1 | N/A | N/A | N/A | 72.33 | 8.81 | 2.72 |
| Material | Coating Speed (mm/s) | Annealing Temperature (°C) | Max Hole Mobilities (cm2/(V s)) | Hole Mobilities 1 (cm2/(V s)) | Vth (V) | Ion/Ioff |
|---|---|---|---|---|---|---|
| PTVDPP-2FT | 3000 | 150 | 0.383 | 0.356 | 4.10 | 4.89 × 104 |
Disclaimer/Publisher’s Note: The statements, opinions and data contained in all publications are solely those of the individual author(s) and contributor(s) and not of MDPI and/or the editor(s). MDPI and/or the editor(s) disclaim responsibility for any injury to people or property resulting from any ideas, methods, instructions or products referred to in the content. |
© 2023 by the authors. Licensee MDPI, Basel, Switzerland. This article is an open access article distributed under the terms and conditions of the Creative Commons Attribution (CC BY) license (https://creativecommons.org/licenses/by/4.0/).
Share and Cite
Chen, J.; Ding, Y.; Zhou, J.; Li, N.; Ren, S.; Zeng, M. Preparation of Novel Organic Polymer Semiconductor and Its Properties in Transistors through Collaborative Theoretical and Experimental Approaches. Polymers 2023, 15, 4421. https://doi.org/10.3390/polym15224421
Chen J, Ding Y, Zhou J, Li N, Ren S, Zeng M. Preparation of Novel Organic Polymer Semiconductor and Its Properties in Transistors through Collaborative Theoretical and Experimental Approaches. Polymers. 2023; 15(22):4421. https://doi.org/10.3390/polym15224421
Chicago/Turabian StyleChen, Jinyang, Yubing Ding, Jie Zhou, Na Li, Shiwei Ren, and Minfeng Zeng. 2023. "Preparation of Novel Organic Polymer Semiconductor and Its Properties in Transistors through Collaborative Theoretical and Experimental Approaches" Polymers 15, no. 22: 4421. https://doi.org/10.3390/polym15224421
APA StyleChen, J., Ding, Y., Zhou, J., Li, N., Ren, S., & Zeng, M. (2023). Preparation of Novel Organic Polymer Semiconductor and Its Properties in Transistors through Collaborative Theoretical and Experimental Approaches. Polymers, 15(22), 4421. https://doi.org/10.3390/polym15224421

