Sustainable Immobilization of β-Glucosidase onto Silver Ions and AgNPs-Loaded Acrylic Fabric with Enhanced Stability and Reusability
Abstract
:1. Introduction
2. Methods and Materials
3. Treatment of the Acrylic
4. Enzyme Immobilization
supernatant/Amount of protein introduced] ∗ 100
5. β-Glucosidase Activity Assay
6. Characterization of Modified Acrylic Fabrics
7. Optimization of pH and Temperature
8. Kinetic Parameters Study
9. Reuse and Stable Operation
10. Results and Discussion
10.1. Material Supporter Fabrication and Enzyme Immobilization
10.2. ATR-FTIR Analysis
10.3. Morphological Characterization
10.4. The Zeta Potential
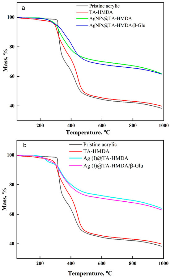
10.5. The Thermal Properties
10.6. Reusability and Storage Stability
10.7. Effect of pH and Temperature
10.8. Kinetic Behavior
11. Conclusions
Author Contributions
Funding
Institutional Review Board Statement
Data Availability Statement
Acknowledgments
Conflicts of Interest
Abbreviations
| HMDA | Hexamethylenediamine |
| AgNPs | Silver nanoparticles |
| AgNPs@TA-HMDA | Treated polyacrylonitrile with hexamethylenediamine coated with silver nanoparticles |
| Ag(I)@TA-HMDA | Treated polyacrylonitrile with hexamethylenediamine coated with silver ion |
| β-Glu | β-Glucosidase enzyme |
| FTIR | Fourier-transform infrared spectroscopy |
| FE-SEM | Field-emission scanning electron microscopy |
| EDX | Energy-Dispersive X-Ray spectroscopy |
| TG/DTG | Thermogravimetry/Derivative Thermogravimetry |
| DSC | Differential Scanning Calorimetry |
References
- Thompson, M.P.; Peñafiel, I.; Cosgrove, S.C.; Turner, N.J. Biocatalysis Using Immobilized Enzymes in Continuous Flow for the Synthesis of Fine Chemicals. Org. Process Res. Dev. 2019, 23, 9–18. [Google Scholar] [CrossRef]
- Choi, J.-M.; Han, S.-S.; Kim, H.-S. Industrial Applications of Enzyme Biocatalysis: Current Status and Future Aspects. Biotechnol. Adv. 2015, 33, 1443–1454. [Google Scholar] [CrossRef] [PubMed]
- Alnadari, F.; Xue, Y.; Alsubhi, N.H.; Alamoudi, S.A.; Alwabli, A.S.; Al-Quwaie, D.A.; Hamed, Y.S.; Nasiru, M.M.; Ebrahim, A.A.; El-Saadony, M.T.; et al. Reusability of immobilized β-glucosidase on sodium alginate-coated magnetic nanoparticles and high productivity applications. J. Saudi Chem. Soc. 2022, 26, 101517. [Google Scholar] [CrossRef]
- Duan, J.; Jia, X.; Cao, K.; Gao, Z. A GH42 β-galactosidase from Bifidobacterium thermophilum: Biochemical characterization and synthesis of galactosyl glycerol by reverse hydrolysis. Biotechnol. Appl. Biochem. 2022, 70, 895–908. [Google Scholar] [CrossRef] [PubMed]
- Arsalan, A.; Alam, M.F.; Zofair, S.F.F.; Ahmad, S.; Younus, H. Immobilization of β-galactosidase on tannic acid stabilized silver nanoparticles: A safer way towards its industrial application. Spectrochim. Acta Part A Mol. Biomol. Spectrosc. 2020, 226, 117637. [Google Scholar] [CrossRef]
- Zeyadi, M.; Almulaiky, Y.Q. Chitosan-Based metal-organic framework for Stabilization of β-glucosidase: Reusability and storage stability. Heliyon 2023. [Google Scholar] [CrossRef]
- Dwevedi, A. Basics of Enzyme Immobilization. In Enzyme Immobilization: Advances in Industry, Agriculture, Medicine, and the Environment; Springer International Publishing: Berlin/Heidelberg, Germany, 2016; Chapter 2; pp. 21–44. [Google Scholar]
- Lin, C.; Xu, K.; Zheng, R.; Zheng, Y. Immobilization of amidase into a magnetic hierarchically porous metal–organic framework for efficient biocatalysis. Chem. Commun. 2019, 55, 5697–5700. [Google Scholar] [CrossRef]
- Zdarta, J.; Meyer, A.S.; Jesionowski, T.; Pinelo, M. Developments in Support Materials for Immobilization of Oxidoreductases: A Comprehensive Review. Adv. Colloid Interface Sci. 2018, 258, 1–20. [Google Scholar] [CrossRef]
- Feng, Y.; Xu, Y.; Liu, S.; Wu, D.; Su, Z.; Chen, G.; Li, G. Recent advances in enzyme immobilization based on novel porous framework materials and its applications in biosensing. Coord. Chem. Rev. 2022, 459, 214414. [Google Scholar] [CrossRef]
- Mohamed, S.A.; Al-Harbi, M.H.; Almulaiky, Y.Q.; Ibrahim, I.H.; Salah, H.A.; El-Badry, M.O.; Abdel-Aty, A.M.; Fahmy, A.S.; El-Shishtawy, R.M. Immobilization of Trichoderma harzianum α-amylase on PPyAgNp/Fe3O4-nanocomposite: Chemical and physical properties. Artif. Cells Nanomed. Biotechnol. 2018, 46 (Suppl. S2), 201–206. [Google Scholar] [CrossRef]
- Al-Harbi, S.A.; Almulaiky, Y.Q. Purification and biochemical characterization of Arabian balsam α-amylase and enhancing the retention and reusability via encapsulation onto calcium alginate/Fe2O3 nanocomposite beads. Int. J. Biol. Macromol. 2020, 160, 944–952. [Google Scholar] [CrossRef] [PubMed]
- Almulaiky, Y.Q.; Khalil, N.; El-Shishtawy, R.M.; Altalhi, T.; Algamal, Y.; Aldhahri, M.; Al-Harbi, S.A.; Allehyani, E.S.; Bilal, M.; Mohammed, M.M. Hydroxyapatite-decorated ZrO2 for α-amylase immobilization: Toward the enhancement of enzyme stability and reusability. Int. J. Biol. Macromol. 2021, 167, 299–308. [Google Scholar] [CrossRef] [PubMed]
- Morshed, M.N.; Behary, N.; Bouazizi, N.; Guan, J.; Nierstrasz, V.A. An overview on biocatalysts immobilization on textiles: Preparation, progress and application in wastewater treatment. Chemosphere 2021, 279, 130481. [Google Scholar] [CrossRef] [PubMed]
- Mayer-Gall, T.; Lee, J.W.; Opwis, K.; List, B.; Gutmann, J.S. Textile Catalystsdan unconventional approach towards heterogeneous catalysis. ChemCatChem 2016, 8, e1428–e1436. [Google Scholar] [CrossRef]
- Patila, M.; Athanasiou, P.E.; Kortessis, L.; Potsi, G.; Kouloumpis, A.; Gournis, D.; Stamatis, H. Immobilization of laccase on hybrid super-structured nanomaterials for the decolorization of phenolic dyes. Processes 2022, 10, 233. [Google Scholar] [CrossRef]
- Iñarritu, I.; Torres, E.; Topete, A.; Campos-Terán, J. Immobilization effects on the photocatalytic activity of CdS quantum Dots-Horseradish peroxidase hybrid nanomaterials. J. Colloid Interface Sci. 2017, 506, 36–45. [Google Scholar] [CrossRef]
- Al-Najada, A.R.; Almulaiky, Y.Q.; Aldhahri, M.; El-Shishtawy, R.M.; Mohamed, S.A.; Baeshen, M.; Al-Farga, A.; Abdulaal, W.H.; Al-Harbi, S.A. Immobilisation of α-amylase on activated amidrazone acrylic fabric: A new approach for the enhancement of enzyme stability and reusability. Sci. Rep. 2019, 9, 12672. [Google Scholar] [CrossRef]
- Salih, R.; Banjanac, K.; Vukoičić, A.; Gržetić, J.; Popović, A.; Veljković, M.; Bezbradica, D.; Marinković, A. Acrylic modified kraft lignin microspheres as novel support for immobilization of laccase from M. thermophila expressed in A. oryzae (Novozym® 51003) and application in degradation of anthraquinone textile dyes. J. Environ. Chem. Eng. 2023, 11, 109077. [Google Scholar] [CrossRef]
- Wang, Z.-G.; Wang, Y.; Xu, H.; Li, G.; Xu, Z.-K. Carbon nanotube-filled nanofibrous membranes electrospun from poly (acrylonitrile-co-acrylic acid) for glucose biosensor. J. Phys. Chem. C 2009, 113, e2955–e2960. [Google Scholar] [CrossRef]
- Almulaiky, Y.Q.; El-Shishtawy, R.M.; Aldhahri, M.; Mohamed, S.A.; Afifi, M.; Abdulaal, W.H.; Mahyoub, J.A. Amidrazone modified acrylic fabric activated with cyanuric chloride: A novel and efficient support for horseradish peroxidase immobilization and phenol removal. Int. J. Biol. Macromol. 2019, 140, 949–958. [Google Scholar] [CrossRef]
- El-Shishtawy, R.M.; Al Angari, Y.M.; Alotaibi, M.M.; Almulaiky, Y.Q. Acrylic fabric and nanomaterials to enhance α-amylase-based biocatalytic immobilized systems for industrial food applications. Int. J. Biol. Macromol. 2023, 233, 123539. [Google Scholar] [CrossRef] [PubMed]
- Lang, X.; Zhu, L.; Gao, Y.; Wheeldon, I. Enhancing enzyme activity and immobilization in nanostructured inorganic–enzyme complexes. Langmuir 2017, 33, 9073–9080. [Google Scholar] [CrossRef] [PubMed]
- Alzahrani, H.A. Encapsulation of peroxidase on hydrogel sodium polyacrylate spheres incorporated by silver and gold nanoparticles: A comparative study. Main Group Chem. 2022, 21, 919–927. [Google Scholar] [CrossRef]
- Sheikh, I.A.; Yasir, M.; Khan, I.; Khan, S.B.; Azum, N.; Jiffri, E.H.; Kamal, M.A.; Ashraf, G.M.; Beg, M.A. Lactoperoxidase immobilization on silver nanoparticles enhances its antimicrobial activity. J. Dairy Res. 2018, 85, 460–464. [Google Scholar] [CrossRef]
- Wang, G.; Liu, J.; Yue, F.; Shen, Z.; Xu, D.; Fang, H.; Chen, W.; Wang, Z.; Li, P.; Guo, Y.; et al. Dual enzyme electrochemiluminescence sensor based on in situ synthesis of ZIF-67@ AgNPs for the detection of IMP in fresh meat. LWT 2022, 165, 113658. [Google Scholar] [CrossRef]
- Joshi, R.; Sharma, R.; Bhunia, R.; Prakash, A.; Kuila, A. Lipase production from mutagenic strain of Fusarium Incarnatum KU377454 and its immobilization using Au@ Ag core shells nanoparticles for application in waste cooking oil degradation. 3 Biotech 2019, 9, 1–12. [Google Scholar] [CrossRef]
- Bukhary, H.A.; Zaman, U.; Ur Rehman, K.; Alissa, M.; Rizg, W.Y.; Khan, D.; Almehizia, A.A.; Naglah, A.M.; Al-Wasidi, A.S.; Abdelrahman, E.A.; et al. Acid protease functionalized novel silver nanoparticles (APTs-AgNPs): A new approach towards photocatalytic and biological applications. Int. J. Biol. Macromol. 2023, 242, 124809. [Google Scholar] [CrossRef]
- Bradford, M.M. A rapid and sensitive method for the quantitation of microgram quantities of protein utilizing the principle of protein-dye binding. Anal. Biochem. 1976, 72, 248–254. [Google Scholar] [CrossRef]
- Narasimha, G.; Sridevi, A.; Ramanjaneyulu, G.; Reddy, B.R. Purification and characterization of β-glucosidase from Aspergillus niger. Int. J. Food Prop. 2016, 19, 652–661. [Google Scholar] [CrossRef]
- Ozalp, V.C.; Bayramoglu, G.; Arica, M.Y. Fibrous polymer functionalized magnetic biocatalysts for improved performance. In Methods in Enzymology; Academic Press: Cambridge, MA, USA, 2020; Volume 630, pp. 111–132. [Google Scholar]
- Ebadi, S.V.; Fakhrali, A.; Ranaei-Siadat, S.O.; Gharehaghaji, A.A.; Mazinani, S.; Dinari, M.; Harati, J. Immobilization of acetylcholinesterase on electrospun poly (acrylic acid)/multi-walled carbon nanotube nanofibrous membranes. RSC Adv. 2015, 5, 42572–42579. [Google Scholar] [CrossRef]
- Chaudhary, K.; Kumar, K.; Venkatesu, P.; Masram, D.T. Protein immobilization on graphene oxide or reduced graphene oxide surface and their applications: Influence over activity, structural and thermal stability of protein. Adv. Colloid Interface Sci. 2021, 289, 102367. [Google Scholar] [CrossRef] [PubMed]
- Wang, Y.; Li, Z.; Yang, D.; Qiu, X.; Xie, Y.; Zhang, X. Microwave-mediated fabrication of silver nanoparticles incorporated lignin-based composites with enhanced antibacterial activity via electrostatic capture effect. J. Colloid Interface Sci. 2021, 583, 80–88. [Google Scholar] [CrossRef] [PubMed]
- Sigurdardóttir, S.B.; Lehmann, J.; Grivel, J.C.; Zhang, W.; Kaiser, A.; Pinelo, M. Alcohol dehydrogenase on inorganic powders: Zeta potential and particle agglomeration as main factors determining activity during immobilization. Colloids Surf. B Biointerfaces 2019, 175, 136–142. [Google Scholar] [CrossRef] [PubMed]
- Min, K.; Kim, J.; Park, K.; Yoo, Y.J. Enzyme immobilization on carbon nanomaterials: Loading density investigation and zeta potential analysis. J. Mol. Catal. B Enzym. 2012, 83, 87–93. [Google Scholar] [CrossRef]
- Rao, S.Q.; Zhang, R.Y.; Chen, R.; Gao, Y.J.; Gao, L.; Yang, Z.Q. Nanoarchitectonics for enhanced antibacterial activity with Lactobacillus buchneri S-layer proteins-coated silver nanoparticles. J. Hazard. Mater. 2022, 426, 128029. [Google Scholar] [CrossRef]
- Gaikwad, G.S.P.; Juneja, H.D. Synthesis, thermal degradation and kinetic parameters studies of some coordination polymers. J. Therm. Anal. Calorim. 2010, 100, 645–650. [Google Scholar] [CrossRef]
- Carvalho, C.T.; Caires, F.J.; Lima, L.S.; Ionashiro, M. Thermal investigation of solid 2-methoxycinnamylidenepyruvate of some bivalent transition metal ions. J. Therm. Anal. Calorim. 2012, 107, 863–868. [Google Scholar] [CrossRef]
- Bansod, A.D.; Aswar, A.S. Coordination chain polymers of transition metals with salen type schiff base and their oxidation catalysis. J. Saudi Chem. Soc. 2007, 11, 243–252. [Google Scholar]
- Jiříček, I.; Rudasová, P.; Žemlová, T. A thermogravimetric study of the behaviour of biomass blends during combustion. Acta Polytech. 2012, 52, 3. [Google Scholar] [CrossRef]
- Pandey, G.; Munguambe, D.M.; Tharmavaram, M.; Rawtani, D.; Agrawal, Y.K. Halloysite nanotubes-An efficient ‘nano-support’ for the immobilization of α-amylase. Appl. Clay Sci. 2017, 136, 184–191. [Google Scholar] [CrossRef]
- El-Shishtawy, R.M.; Ahmed, N.S.; Almulaiky, Y.Q. Immobilization of catalase on chitosan/ZnO and chitosan/ZnO/Fe2O3 nanocomposites: A comparative study. Catalysts 2021, 11, 820. [Google Scholar] [CrossRef]
- Zeyadi, M.; Almulaiky, Y.Q. Amino functionalized metal–organic framework as eco-friendly support for enhancing stability and reusability of horseradish peroxidase for phenol removal. Biomass Convers. Biorefinery 2023, 1–13. [Google Scholar] [CrossRef]
- Kaushal, J.; Singh, G.; Arya, S.K. Immobilization of catalase onto chitosan and chitosan–bentonite complex: A comparative study. Biotechnol. Rep. 2018, 18, e00258. [Google Scholar] [CrossRef] [PubMed]
- Coutinho, T.C.; Rojas, M.J.; Tardioli, P.W.; Paris, E.C.; Farinas, C.S. Nanoimmobilization of β-glucosidase onto hydroxyapatite. Int. J. Biol. Macromol. 2018, 119, 1042–1051. [Google Scholar] [CrossRef]
- Çelik, A.; Dinçer, A.; Aydemir, T. Characterization of β-glucosidase immobilized on chitosan-multiwalled carbon nanotubes (MWCNTS) and their application on tea extracts for aroma enhancement. Int. J. Biol. Macromol. 2016, 89, 406–414. [Google Scholar] [CrossRef]
- Alnadari, F.; Xue, Y.; Almakas, A.; Mohedein, A.; Samie, A.; Abdel-Shafi, M.; Abdin, M. Large batch production of Galactooligosaccharides using β-glucosidase immobilized on chitosan-functionalized magnetic nanoparticle. J. Food Biochem. 2021, 45, e13589. [Google Scholar] [CrossRef]
- Gupta, A.; Kumar, V.; Dubey, A.; Verma, A.K. Kinetic characterization and effect of immobilized thermostable β-glucosidase in alginate gel beads on sugarcane juice. Int. Sch. Res. Not. 2014, 2014, 8. [Google Scholar]
- Patel, S.K.S.; Gupta, R.K.; Kumar, V.; Mardina, P.; Lestari, R.; Kalia, V.C.; Choi, M.-S.; Lee, J.-K. Influence of metal ions on the immobilization of β-glucosidase through protein-inorganic hybrids. Indian J. Microbiol. 2019, 59, 370–374. [Google Scholar] [CrossRef]
- Verma, M.L.; Chaudhary, R.; Tsuzuki, T.; Barrow, C.J.; Puri, M. Immobilization of β-glucosidase on a magnetic nanoparticle improves thermostability: Application in cellobiose hydrolysis. Bioresour. Technol. 2013, 135, 2–6. [Google Scholar] [CrossRef]
- Tan, I.S.; Lee, K.T. Immobilization of β-glucosidase from Aspergillus niger on κ-carrageenan hybrid matrix and its application on the production of reducing sugar from macroalgae cellulosic residue. Bioresour. Technol. 2015, 184, 386–394. [Google Scholar] [CrossRef]
- Li, Y.; Xue, Y.; Cao, Z.; Zhou, T.; Alnadari, F. Characterization of a uronate dehydrogenase from Thermobispora bispora for production of glucaric acid from hemicellulose substrate. World J. Microbiol. Biotechnol. 2018, 34, 1–13. [Google Scholar] [CrossRef] [PubMed]
- Noro, J.; Castro, T.G.; Cavaco-Paulo, A.; Silva, C. Substrate hydrophobicity and enzyme modifiers play a major role in the activity of lipase from Thermomyces lanuginosus. Catal. Sci. Technol. 2020, 10, 5913–5924. [Google Scholar] [CrossRef]
- Robinson, P.K. Enzymes: Principles and biotechnological applications. Essays Biochem. 2015, 59, 1. [Google Scholar] [CrossRef] [PubMed]
- Xin, Q.; Jia, X.; Nawaz, A.; Xie, W.; Li, L.; Gong, J.R. Mimicking peroxidase active site microenvironment by functionalized graphene quantum dots. Nano Res. 2020, 13, 1427–1433. [Google Scholar] [CrossRef]
- Lin, K.P.; Feng, G.J.; Pu, F.L.; Hou, X.D.; Cao, S.L. Enhancing the thermostability of papain by immobilizing on deep eutectic solvents-treated chitosan with optimal microporous structure and catalytic microenvironment. Front. Bioeng. Biotechnol. 2020, 8, 576266. [Google Scholar] [CrossRef] [PubMed]













| AgNPs@TA-HMDA/β-Glu | ||||||
|---|---|---|---|---|---|---|
| pH | Protein Introduced (mg) | Immobilized Protein mg/g Support | IY (%) | Initial Activity (Units) | Immobilized Enzyme Activity (Units) | AY (%) |
| 6 | 4.6 | 92 | 16.2 | 81 | ||
| 7 | 5 | 3.9 | 78 | 20 | 12.4 | 62 |
| 8 | 2.7 | 54 | 9.8 | 49 | ||
| Ag (I)@TA-HMDA/β-Glu | ||||||
|---|---|---|---|---|---|---|
| pH | Protein Introduced (mg) | Immobilized Protein mg/g Support | IY (%) | Initial Activity (Units) | Immobilized Enzyme Activity (Units) | AY (%) |
| 6 | 3.99 | 79.8 | 14.6 | 73 | ||
| 7 | 5 | 3.05 | 61 | 20 | 11 | 55 |
| 8 | 2.15 | 43 | 8.2 | 41 | ||
| DSC | TGA-DTG | ||||||||
|---|---|---|---|---|---|---|---|---|---|
| Degradation Process | |||||||||
| Sample | TOnset °C | TPeak °C | TEnd °C | ∆H J/g | TOnset °C | T50 °C | TEnd °C | Inflection Point, °C | Mass Change % |
| Pristine acrylic | 283 | 316 | 340 | −170 | 314 | 343 | 424 | 315 | 50.43 |
| 410 | 568 | 688 | −1157 | - | - | - | - | - | |
| TA-HMDA | 261 | 294 | 324 | −74 | 289 | 395 | 433 | 309 | 48.45 |
| 462 | 624 | 735 | −914 | - | - | - | - | - | |
| AgNPs@TA-HMDA | 249 | 291 | 330 | −86 | 284 | 359 | 440 | 379 | 26.35 |
| AgNPs@TA-HMDA/β-Glu | 251 | 284 | 359 | −84.8 | 303 | 386 | 473 | 405 | 28.29 |
| Ag(I)@TA-HMDA | 117 | 246 | 273 | −8 | 283 | 353 | 392 | 340 | 19.13 |
| 273 | 303 | 339 | −23.9 | - | - | - | - | - | |
| Ag(I)@TA-HMDA/β-Glu | 143 | 290 | 332 | −170 | 277 | 36 5 | 400 | 316 | 21.75 |
| Free Glu | AgNPs@TA-HMDA/β-Glu | Ag(I)@TA-HMDA/β-Glu | |
|---|---|---|---|
| Km (mM) | 2.6 | 3.1 | 3.7 |
| Vmax (U/min) | 17.5 | 12.7 | 9.8 |
| Kcat (s−1) | 0.831 | 0.818 | 0.804 |
| Kcat/Km (M−1.s−1) | 316 | 264 | 217 |
| Parameters | Free β-Glu | AgNPs@TA-HMDA/β-Glu | Ag(I)@TA-HMDA/β-Glu |
|---|---|---|---|
| Cost | Low | Moderate | Moderate |
| Viability | Enzyme is free | Enzyme immobilized on support | Enzyme immobilized on support |
| Stability | Moderate | High | High |
| Activity | Exhibit loss over time | Enhanced activity | Enhanced activity |
| Reusability | Limited reusability | Higher reusability | Higher reusability |
Disclaimer/Publisher’s Note: The statements, opinions and data contained in all publications are solely those of the individual author(s) and contributor(s) and not of MDPI and/or the editor(s). MDPI and/or the editor(s) disclaim responsibility for any injury to people or property resulting from any ideas, methods, instructions or products referred to in the content. |
© 2023 by the authors. Licensee MDPI, Basel, Switzerland. This article is an open access article distributed under the terms and conditions of the Creative Commons Attribution (CC BY) license (https://creativecommons.org/licenses/by/4.0/).
Share and Cite
Almulaiky, Y.Q.; Alkabli, J.; El-Shishtawy, R.M. Sustainable Immobilization of β-Glucosidase onto Silver Ions and AgNPs-Loaded Acrylic Fabric with Enhanced Stability and Reusability. Polymers 2023, 15, 4361. https://doi.org/10.3390/polym15224361
Almulaiky YQ, Alkabli J, El-Shishtawy RM. Sustainable Immobilization of β-Glucosidase onto Silver Ions and AgNPs-Loaded Acrylic Fabric with Enhanced Stability and Reusability. Polymers. 2023; 15(22):4361. https://doi.org/10.3390/polym15224361
Chicago/Turabian StyleAlmulaiky, Yaaser Q., J. Alkabli, and Reda M. El-Shishtawy. 2023. "Sustainable Immobilization of β-Glucosidase onto Silver Ions and AgNPs-Loaded Acrylic Fabric with Enhanced Stability and Reusability" Polymers 15, no. 22: 4361. https://doi.org/10.3390/polym15224361
APA StyleAlmulaiky, Y. Q., Alkabli, J., & El-Shishtawy, R. M. (2023). Sustainable Immobilization of β-Glucosidase onto Silver Ions and AgNPs-Loaded Acrylic Fabric with Enhanced Stability and Reusability. Polymers, 15(22), 4361. https://doi.org/10.3390/polym15224361

