The Impact of Liquid Components on Alteration of the Adhesion of Polyacrylate and Silicone Patches
Abstract
:1. Introduction
| PSA Type | Acrylate | Silicone | |||
|---|---|---|---|---|---|
| Symbol | A1 | A2 | A3 | S1 | S2 |
| Brand name | DuroTak® 387-2287 | DuroTak® 87-4098 | DuroTak® 87-2852 | Bio-PSA MD7-4502 | Soft Skin Adhesive MG 7-9850 |
| Structure and chemical name | Acrylate-vinylacetate | Acrylic acid | Polydimethylsiloxanes | ||
| Film formation | Solvent evaporation | Solvent evaporation and crosslinking | Solvent evaporation | Crosslinking | |
| Solvent | Ethyl acetate | Ethyl acetate | Ethyl acetate, n-heptan, isopropanol, toluen, ace-tylacetone | Ethyl acetate | -- |
| Viscosity * (mPa•s) | 18,000 | 6500 | 2500 | 1500 | 2900 ** |
2. Materials and Methods
2.1. Materials
2.2. Methods
2.2.1. Manufacturing of Adhesive Patches
2.2.2. Microscopic Analysis
2.2.3. Hardness
2.2.4. Probe Tack Test
2.2.5. Peel Test
2.2.6. Influence of Swelling and Erosion on Tack Properties of the Patches
2.2.7. Statistical Analysis
3. Results and Discussion
3.1. Visual Assessment
3.2. Optical Microscopy and SEM
3.3. Adhesive Properties
3.3.1. Probe Tack Test
3.3.2. Peel Test
3.4. Hardness
3.5. Swelling and Erosion
4. Conclusions
Author Contributions
Funding
Institutional Review Board Statement
Data Availability Statement
Conflicts of Interest
References
- Patches/Emplastra. In European Pharmacopeia; EDQM: Strasbourg, France, 2022; pp. 990–991.
- Cilurzo, F.; Gennari, C.G.M.; Minghetti, P. Adhesive properties: A critical issue in transdermal patch development. Expert Opin. Drug Deliv. 2012, 9, 33–45. [Google Scholar] [CrossRef] [PubMed]
- Michaelis, M. Characterization of Pressure Sensitive Adhesive Systems for Transdermal Patches. Doctoral Dissertation, University of Hamburg, Hamburg, Germany, 2015. [Google Scholar]
- Misra, A.; Shahiwala, A. Applications of Polymers in Drug Delivery, 2nd ed.; Elsevier: Amsterdam, The Netherlands, 2021. [Google Scholar]
- Aliyar, H.; Schalau, G., II. Recent developments in silicones for topical and transdermal drug delivery. Ther. Deliv. 2015, 6, 827–839. [Google Scholar] [CrossRef] [PubMed]
- Wang, M.; Zhang, Y.; Li, M.; Zhao, N.; Luo, Z. Mechanistic insights into the effect of drug content on adhesive properties of transdermal patch containing lidocaine. Eur. J. Pharm. Sci. 2023, 184, 106419. [Google Scholar] [CrossRef] [PubMed]
- Banerjee, S.; Chattopadhyay, P.; Ghosh, A.; Datta, P.; Veer, V. Aspect of adhesives in transdermal drug delivery systems. Int. J. Adhes. Adhes. 2014, 50, 70–84. [Google Scholar] [CrossRef]
- Lama, A.; Darwish, A.R. Formulation and evaluation of celecoxib transdermal patches. Res. J. Pharm. Technol. 2023, 16, 1574–1580. [Google Scholar]
- László, S.; Hajna, Z.; Egyed, A.; Pintér, E.; Wagner, Ö. Development of a silicone-based polymer matrix as a suitable Transdermal Therapeutic System for diallyl disulfide. Pharmaceuticals 2022, 15, 1182. [Google Scholar] [CrossRef] [PubMed]
- Wokovich, A.M.; Prodduturi, S.; Doub, W.H.; Hussain, A.S.; Buhse, L.F. Transdermal drug delivery system (TDDS) adhesion as a critical safety, efficacy and quality attribute. Eur. J. Pharm. Biopharm. 2006, 64, 1–8. [Google Scholar] [CrossRef] [PubMed]
- Lobo, S.; Sachdeva, S.; Goswami, T. Role of pressure-sensitive adhesives in transdermal drug delivery systems. Ther. Deliv. 2016, 7, 33–48. [Google Scholar] [CrossRef] [PubMed]
- Mikolaszek, B.; Jamrogiewicz, M.; Pienkowska, K.; Sznitowska, M. Microscopic and spectroscopic imaging and thermal analysis of acrylates, silicones and active pharmaceutical ingredients in adhesive transdermal patches. Polymers 2022, 14, 2888. [Google Scholar] [CrossRef]
- Mikolaszek, B.; Kazlauske, J.; Larsson, A.; Sznitowska, M. Controlled drug release by the pore structure in polydimethylsiloxane transdermal patches. Polymers 2020, 12, 1520. [Google Scholar] [CrossRef]
- Topical and transdermal drug products—Product quality tests. General chapter 3. In United States Pharmacopoeia National Formulary; USP 43-NF 38; US Pharmacopoeial Convention: Rockville, MD, USA, 2020; pp. 1–9.
- Hoseney, R.C.; Smewing, J. Instrumental measurement of stickiness of doughs and other foods. J. Texture Stud. 1999, 30, 123–136. [Google Scholar] [CrossRef]
- Gutschke, E.; Bracht, S.; Nagel, S.; Weitschies, W. Adhesion testing of transdermal matrix patches with a probe tack test—In vitro and in vivo evaluation. Eur. J. Pharm. Biopharm. 2010, 75, 399–404. [Google Scholar] [CrossRef] [PubMed]
- Peykova, Y.; Lebedeva, O.V.; Diethert, A.; Uller-Buschbaum, P. Adhesive properties of acrylate copolymers: Effect of the nature of the substrate and copolymer functionality. Int. J. Adhes. Adhes. 2012, 34, 107–116. [Google Scholar] [CrossRef]
- Kazemeini, S.M.; Rosenthal, A.J. Artifacts and errors in the measurement of the stickiness of liquid foods with tack tests. J. Texture Stud. 2021, 53, 601–606. [Google Scholar] [CrossRef] [PubMed]
- Anastassiou, A.; Mavrantzas, V.G. Molecular structure and work of adhesion of poly(n-butyl acrylate) and poly(n-butyl acrylate-co-acrylic acid) on α-quartz, α-ferric oxide, and α-ferrite from detailed molecular dynamics simulations. Macromolecules 2015, 48, 8262–8284. [Google Scholar] [CrossRef]












| Parameter | Hardness | Probe Tack | 90° Peel Test | |
|---|---|---|---|---|
| Active distance | 2.0 mm | - | 4.5 cm | |
| Probe speed | Pre-Test | 0.1 mm/s | 1.0 mm/s | 1.0 mm/s |
| During the test | 1.0 mm/s | 10.0 mm/s | 5.0 mm/s | |
| Post-Test | 10.0 mm/s | 10.0 mm/s | ||
| Maximum force/Detection limit | 5.0 g | - | 5.0 g | |
| Contact force | - | 4.0 g | - | |
| Time of contact | - | 2.0 s | - | |
| Temperature | 22 ± 2 °C | |||
| Relative humidity | 45 ± 5% | |||
| Formulation | Force of Adhesion (N) | Work of Adhesion (N•mm) | ||
|---|---|---|---|---|
| P5S | C6 | P5S | C6 | |
| A2 | 4.95 | 15.33 | 3.55 | 9.30 |
| A3 | 4.95 | 15.83 | 2.86 | 5.95 |
| S1 | 6.61 | 13.40 | 11.39 | 10.96 |
| S2 | 0.53 | 4.46 | 0.26 | 3.21 |
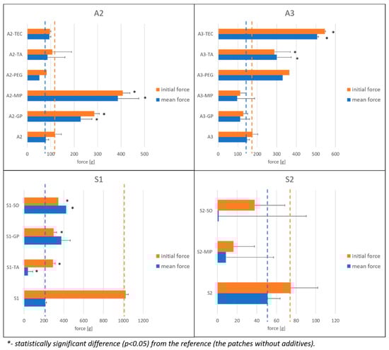
| Formulation | Tackiness (Detachment Force, Probe C6) | ||||
|---|---|---|---|---|---|
| Initial Value (N) | Swollen (N) | (%) of Initial | Swollen + Dried (N) | (%) of Initial | |
| A3 | 15.82 | Not tested | 5.83 | 36.8 | |
| A3-PEG | 12.15 | 1.63 * | 13.4 | 2.99 * | 24.5 |
| A3-GP | 10.70 | Not tested | 4.47 * | 41.8 | |
| A3-TEC | 10.27 | 0.86 * | 8.4 | 6.44 | 62.7 |
| A3-TA | 10.44 | 4.82 * | 46.2 | 5.31 | 50.8 |
| A3-MIP | 12.82 | 0.26 * | 2.0 | 3.28 * | 25.6 |
| A2 | 15.32 | Not tested | 7.61 * | 49.6 | |
| A2-PEG | 2.37 | Not tested | 1.17 | 49.2 | |
| A2-GP | 13.72 | 0.63 * | 4.6 | 8.01 * | 58.4 |
| A2-TEC | 15.42 | 0.33 * | 2.1 | 8.49 * | 55.1 |
| A2-TA | 11.99 | 5.86 * | 48.8 | 2.74 * | 22.9 |
| A2-MIP | 16.25 | 3.43 * | 21.1 | 1.17 * | 7.2 |
| S1 | 13.40 | Not tested | 5.90 | 44.0 | |
| S1-GP | 9.57 | Not tested | 4.07 * | 42.5 | |
| S1-SO | 17.02 | Not tested | 6.21 * | 13.5 | |
Disclaimer/Publisher’s Note: The statements, opinions and data contained in all publications are solely those of the individual author(s) and contributor(s) and not of MDPI and/or the editor(s). MDPI and/or the editor(s) disclaim responsibility for any injury to people or property resulting from any ideas, methods, instructions or products referred to in the content. |
© 2023 by the authors. Licensee MDPI, Basel, Switzerland. This article is an open access article distributed under the terms and conditions of the Creative Commons Attribution (CC BY) license (https://creativecommons.org/licenses/by/4.0/).
Share and Cite
Maciejewski, B.; Dłabiszewska, J.; Mikolaszek, B.; Sznitowska, M. The Impact of Liquid Components on Alteration of the Adhesion of Polyacrylate and Silicone Patches. Polymers 2023, 15, 4355. https://doi.org/10.3390/polym15224355
Maciejewski B, Dłabiszewska J, Mikolaszek B, Sznitowska M. The Impact of Liquid Components on Alteration of the Adhesion of Polyacrylate and Silicone Patches. Polymers. 2023; 15(22):4355. https://doi.org/10.3390/polym15224355
Chicago/Turabian StyleMaciejewski, Bartosz, Joanna Dłabiszewska, Barbara Mikolaszek, and Małgorzata Sznitowska. 2023. "The Impact of Liquid Components on Alteration of the Adhesion of Polyacrylate and Silicone Patches" Polymers 15, no. 22: 4355. https://doi.org/10.3390/polym15224355
APA StyleMaciejewski, B., Dłabiszewska, J., Mikolaszek, B., & Sznitowska, M. (2023). The Impact of Liquid Components on Alteration of the Adhesion of Polyacrylate and Silicone Patches. Polymers, 15(22), 4355. https://doi.org/10.3390/polym15224355

