Atomic Force Microscopy of Hydrolysed Polyacrylamide Adsorption onto Calcium Carbonate
Abstract
:1. Introduction
2. Materials and Methods
2.1. Material
2.2. Experimental Procedures
2.2.1. Polymer Preparation
2.2.2. Calcite Crystal Incubation with HPAM
2.2.3. Atomic Force Microscopy (AFM)
2.2.4. Creep Rheological Measurement
2.2.5. Zeta Potential Measurement
3. Results
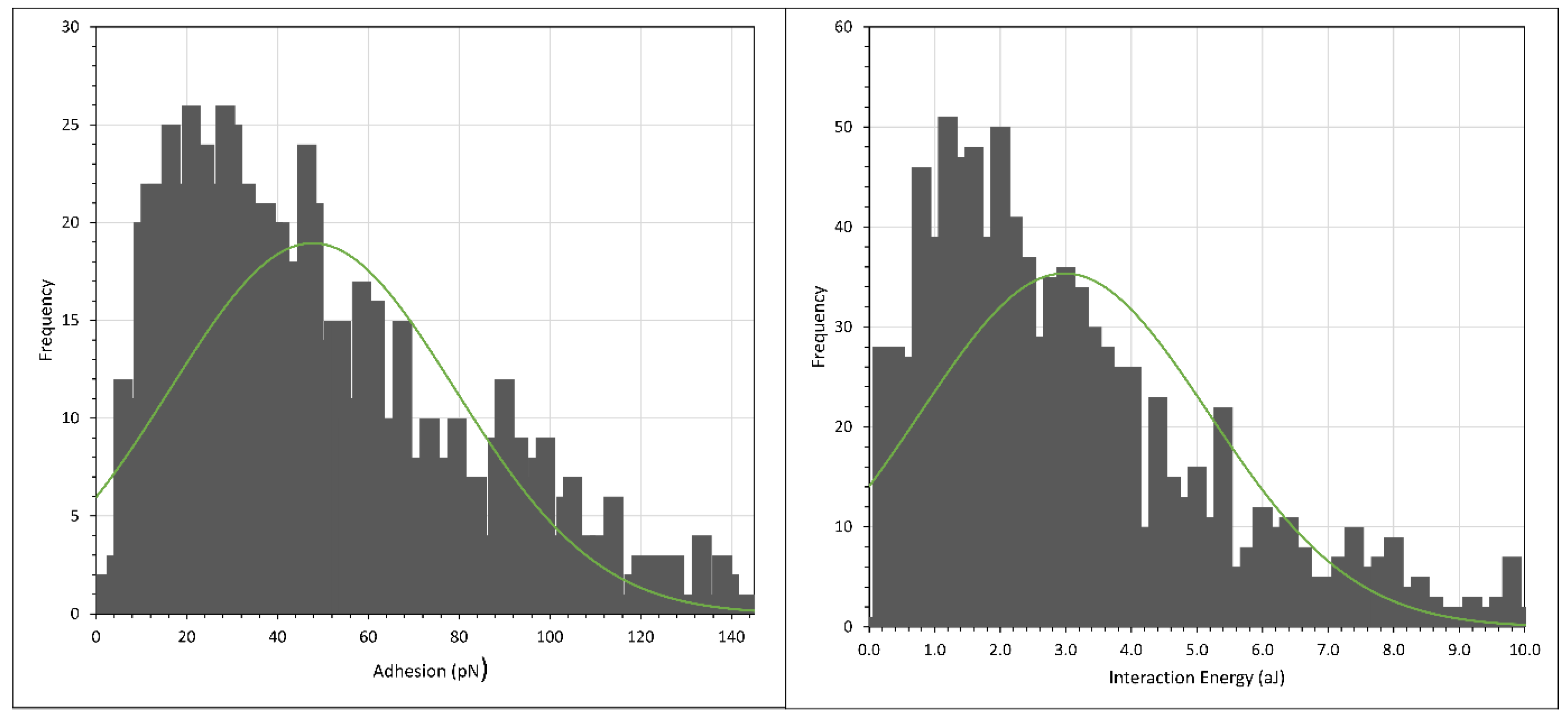
3.1. CaCO3–CaCO3 Interaction
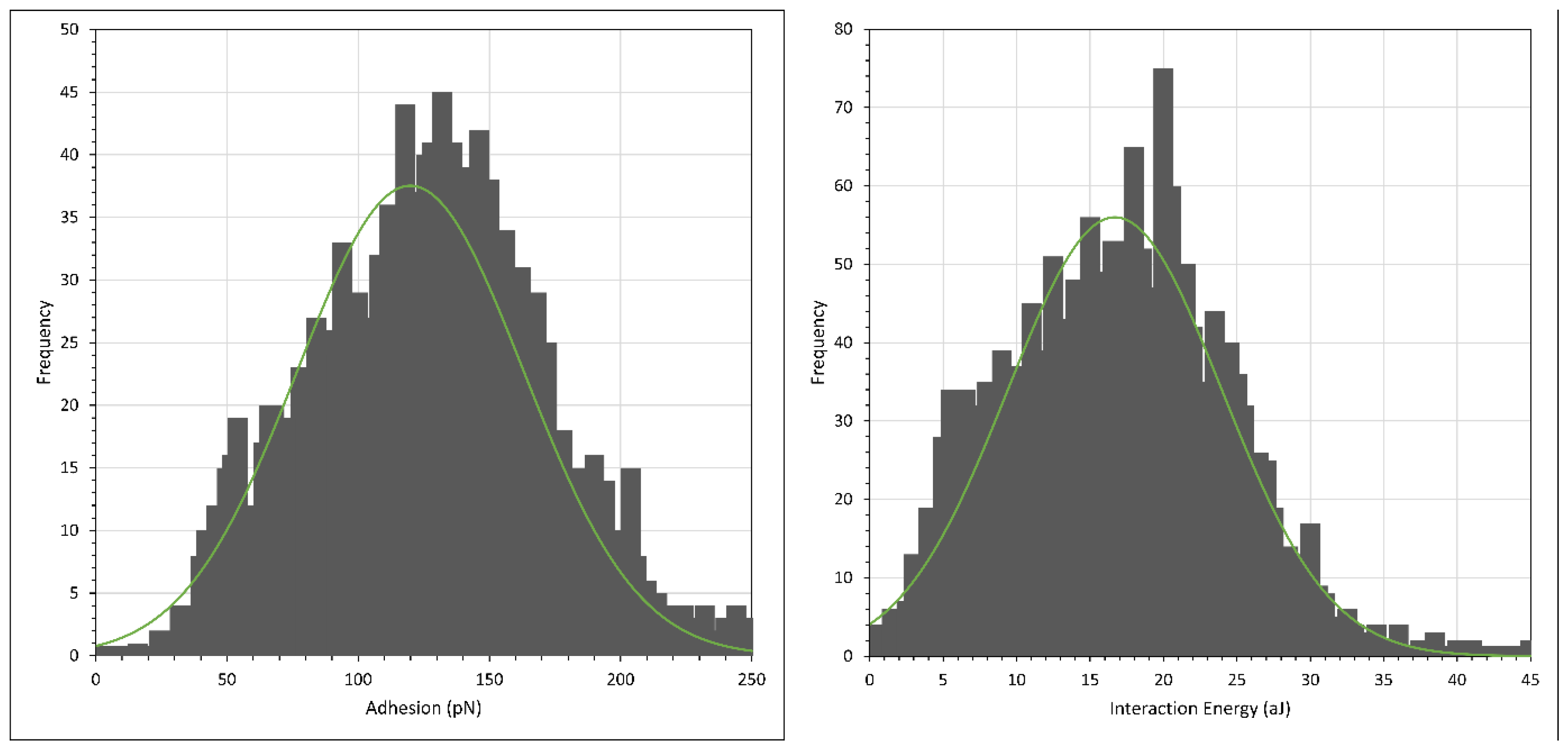
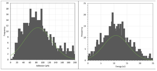
3.2. Effect of Polymer Molecular Weight
3.3. Effect of Salinity
4. Conclusions
Author Contributions
Funding
Institutional Review Board Statement
Informed Consent Statement
Data Availability Statement
Acknowledgments
Conflicts of Interest
References
- Wang, S.; Li, G.; Li, Y.; Guo, J.; Zhou, S.; Yong, S.; Pan, B.; Bai, B. Adsorption of new hydrophobic polyacrylamide on the calcite surface. J. Appl. Polym. Sci. 2017, 134, 45314–45321. [Google Scholar] [CrossRef]
- Mahmood, A.; Vissapragada, B.; Alghamdi, A.H.; Allen, D.; Herron, M.; Carnegie, A.; Dutta, D.; Olesen, J.-R.; Chourasiya, R.D.; Logan, D.; et al. A Snapshot of Carbonate Reservoir Evaluation. Oilfield Rev. 2000, 12, 20–41. [Google Scholar]
- Talaghat, M.R.; Esmaeilzadeh, F.; Mowla, D. Sand production control by chemical consolidation. J. Pet. Sci. Eng. 2009, 67, 34–40. [Google Scholar] [CrossRef]
- Nouri, A.; Vaziri, H.; Belhaj, H.; Islam, R. Effect of Volumetric Failure on Sand Production in Oil-Wellbores. In Proceedings of the SPE—Asia Pacific Oil and Gas Conference and Exhibition, Jakarta, Indonesia, 9–11 September 2003; pp. 86–93. [Google Scholar]
- Mowar, S.; Zaman, M.; Stearns, D.W.; Roegiers, J.C. Micro-mechanisms of pore collapse in limestone. J. Pet. Sci. Eng. 1996, 15, 221–235. [Google Scholar] [CrossRef]
- Soares, A.C.; Altoe, J.E.; Bedrikovetsky, P.; Ferreira, F.H. Formation Damage Due to Pore Collapse During Pressure Depletion. In Proceedings of the SPE European Formation Damage Conference, The Hague, The Netherlands, 13–14 May 2003. [Google Scholar]
- Lee, R.Y. Development of Sand Agglomeration Formulation for Oil & Gas Well Applications to Reduce the Production of Fine Particulates. Ph.D. Thesis, Imperial College London, London, UK, 2019. [Google Scholar]
- Kurawle, I.B.; Mahalle, N.A.; Kaul, M.; Nair, A.V.; Kulkarni, N.J. Silanol Resin consolidation system for deepwater completions and production optimisation. In Proceedings of the 8th European Formation Damage Conference, Scheveningen, The Netherlands, 27–29 May 2009. [Google Scholar]
- Aggour, M.A.; Abu Khamsin, S.A.; Osman, E.S.A. A New method of Sand Control: The Process and Its First Field Implementation. In Proceedings of the SPE/IADC Middle East Drilling and Technology Conference, Cairo, Egypt, 22–24 October 2007. [Google Scholar]
- Alakbari, F.S.; Mohyaldinn, M.E.; Muhsan, A.S.; Hasan, N.; Ganat, T. Chemical sand consolidation: From polymers to nanoparticles. Polymers 2020, 12, 1069. [Google Scholar] [CrossRef]
- Nguyen, P.; Sanders, M. Chapter 6—Sand control completion using in-situ resin consolidation. In Flow Assurance; Wang, Q., Ed.; Gulf Professional Publishing: Cambridge, MA, USA, 2022; Volume 1, pp. 443–501. [Google Scholar]
- Gogarty, W.B. Mobility Control with Polymer Solutions. Soc. Pet. Eng. J. 1967, 7, 161–173. [Google Scholar] [CrossRef]
- Ekanem, E.M.; Rücker, M.; Yesufu-Rufai, S.; Spurin, C.; Ooi, N.; Georgiadis, A.; Berg, S.; Luckham, P.F. Novel adsorption mechanisms identified for polymer retention in carbonate rocks. JCIS Open 2021, 4, 100026. [Google Scholar] [CrossRef]
- Fleer, G.J. Polymers at interfaces and in colloidal dispersions. Adv. Colloid Interface Sci. 2010, 159, 99–116. [Google Scholar] [CrossRef]
- Dixon, D.V.; Soares, J.B.P. Molecular weight distribution effects of polyacrylamide flocculants on clay aggregate formation. Colloids Surf. A Physicochem. Eng. Asp. 2022, 649, 129487. [Google Scholar] [CrossRef]
- Mohsenatabar Firozjaii, A.; Saghafi, H.R. Review on chemical enhanced oil recovery using polymer flooding: Fundamentals, experimental and numerical simulation. Petroleum 2020, 6, 115–122. [Google Scholar] [CrossRef]
- Kang, W.; Kang, X.; Lashari, Z.A.; Li, Z.; Zhou, B.; Yang, H.; Sarsenbekuly, B.; Aidarova, S. Progress of polymer gels for conformance control in oilfield. Adv. Colloid Interface Sci. 2021, 289, 102363. [Google Scholar] [CrossRef] [PubMed]
- Al-Hashmi, A.R.; Luckham, P.F. Characterization of the adsorption of high molecular weight non-ionic and cationic polyacrylamide on glass from aqueous solutions using modified atomic force microscopy. Colloids Surf. A Physicochem. Eng. Asp. 2010, 358, 142–148. [Google Scholar] [CrossRef]
- Butt, H.-J.; Cappella, B.; Kappl, M. Force measurements with the atomic force microscope: Technique, interpretation and applications. Surf. Sci. Rep. 2005, 59, 1–152. [Google Scholar] [CrossRef]
- Kerdegari, S.; Canepa, P.; Odino, D.; Oropesa-Nuñez, R.; Relini, A.; Cavalleri, O.; Canale, C. Insights in Cell Biomechanics through Atomic Force Microscopy. Materials 2023, 16, 2980. [Google Scholar] [CrossRef]
- Braithwaite, G.J.C.; Howe, A.; Luckham, P.F. Interactions between Poly(ethylene oxide) Layers Adsorbed to Glass Surfaces Probed by Using a Modified Atomic Force Microscope. Langmuir 1996, 12, 4224–4237. [Google Scholar] [CrossRef]
- Al-Hashmi, A.R.; Luckham, P.F.; Al-Maamari, R.S.; Zaitoun, A.; Al-Sharji, H.H. The role of hydration degree of cations and anions on the adsorption of high-molecular-weight nonionic polyacrylamide on glass surfaces. Colloids Surf. A Physicochem. Eng. Asp. 2012, 415, 91–97. [Google Scholar] [CrossRef]
- Grattoni, C.A.; Luckham, P.F.; Jing, X.D.; Norman, L.; Zimmerman, R.W. Polymers as relative permeability modifiers: Adsorption and the dynamic formation of thick polyacrylamide layers. J. Pet. Sci. Eng. 2004, 45, 233–245. [Google Scholar] [CrossRef]
- Li, Q.; Li, Y.; Zhai, X.; Chen, M.; Ding, M.; Wang, Y. Effects of inorganic cations on the steric force between polyacrylamide layer physically adsorbed on SiO2 wafer and poly (ethylene oxide) layer. Colloids Surf. A Physicochem. Eng. Asp. 2022, 654, 130031. [Google Scholar] [CrossRef]
- Ricci, M.; Spijker, P.; Stellacci, F.; Molinari, J.-F.; Voïtchovsky, K. Direct Visualization of Single Ions in the Stern Layer of Calcite. Langmuir 2013, 29, 2207–2216. [Google Scholar] [CrossRef]
- Sparks, D.J.; Romero-González, M.E.; El-Taboni, E.; Freeman, C.L.; Hall, S.A.; Kakonyi, G.; Swanson, L.; Banwart, S.A.; Harding, J.H. Adsorption of poly acrylic acid onto the surface of calcite: An experimental and simulation study. Phys. Chem. Chem. Phys. 2015, 17, 27357–27365. [Google Scholar] [CrossRef]
- Lew, J.H.; Matar, O.K.; Müller, E.A.; Maung, M.T.M.; Luckham, P.F. Adsorption of Hydrolysed Polyacrylamide onto Calcium Carbonate. Polymers 2022, 14, 405. [Google Scholar] [CrossRef] [PubMed]
- Denys, K.F.J. Flow of Polymer Solutions through Porous Media. Ph.D. Thesis, Delft University, Delft, The Netherlands, 2003. [Google Scholar]
- Smith, A.M.; Lee, A.A.; Perkin, S. The Electrostatic Screening Length in Concentrated Electrolytes Increases with Concentration. J. Phys. Chem. Lett. 2016, 7, 2157–2163. [Google Scholar] [CrossRef]
- Al-Hashmi, A.R.; Luckham, P.F.; Heng, J.Y.Y.; Al-Maamari, R.S.; Zaitoun, A.; Al-Sharji, H.H.; Al-Wehaibi, T.K. Adsorption of High-Molecular-Weight EOR Polymers on Glass Surfaces Using AFM and QCM-D. Energy Fuels 2013, 27, 2437–2444. [Google Scholar] [CrossRef]
- Dagastine, R.R.; Manica, R.; Carnie, S.L.; Chan, D.Y.C.; Stevens, G.W.; Grieser, F. Dynamic Forces Between Two Deformable Oil Droplets in Water. Science 2006, 313, 210–213. [Google Scholar] [CrossRef] [PubMed]
- Sun, W.; Long, J.; Xu, Z.; Masliyah, J.H. Study of Al(OH)3−Polyacrylamide-Induced Pelleting Flocculation by Single Molecule Force Spectroscopy. Langmuir 2008, 24, 14015–14021. [Google Scholar] [CrossRef]
- Haschke, H.; Miles, M.J.; Koutsos, V. Conformation of a Single Polyacrylamide Molecule Adsorbed onto a Mica Surface Studied with Atomic Force Microscopy. Macromolecules 2004, 37, 3799–3803. [Google Scholar] [CrossRef]
- Grassl, B.; Billon, L.; Borisov, O.; François, J. Poly(ethylene oxide)- and poly (acrylamide)-based water-soluble associative polymers: Synthesis, characterisation, properties in solution. Polym. Int. 2006, 55, 1169–1176. [Google Scholar] [CrossRef]
- Abadi, M.; Serag, M.F.; Habuchi, S. Entangled polymer dynamics beyond reptation. Nat. Commun. 2018, 9, 5098. [Google Scholar] [CrossRef]
- Lee, H.; Nakamura, S.; Imoto, H.; Naka, K. Reversible pH Responsive Aggregation Behavior of Size-Controlled Calcium Carbonate Composite Nanoparticles by Phytic Acid in Aqueous Solution. Langmuir 2021, 37, 7712–7719. [Google Scholar] [CrossRef]
- Gregory, D.; Carlson, K. Relationship of pH and Floc Formation Kinetics to Granular Media Filtration Performance. Environ. Sci. Technol. 2003, 37, 1398–1403. [Google Scholar] [CrossRef]
- Moulin, P.; Roques, H. Zeta potential measurement of calcium carbonate. J. Colloid Interface Sci. 2003, 261, 115–126. [Google Scholar] [CrossRef] [PubMed]
- Malvern Instruments, LTD. Zeta Potential: An Introduction in 30 Minutes; Zetasizer Nano Serles Technical Note MRK654-01; Malvern Instruments, LTD.: Worcestershire, UK, 2011; pp. 1–6. Available online: http://scholar.google.com/scholar?hl=en&btnG=Search&q=intitle:Zeta+Potential+An+Introduction+in+30+Minutes#0 (accessed on 12 January 2022).
- Horinek, D. DLVO Theory. In Encyclopedia of Applied Electrochemistry; Springer: New York, NY, USA, 2014; pp. 343–346. [Google Scholar]
- Tadros, T. Electrostatic Repulsion and Colloid Stability. In Encyclopedia of Colloid and Interface Science; Springer: Berlin/Heidelberg, Germany, 2013; pp. 362–363. [Google Scholar]
- Derjaguin, B.V.; Landau, L. Theory of the stability of strongly charged lyophobic sols and of the adhesion of strongly charged particles in solutions of electrolytes. Acta Phys.-Chim. 1941, 14, 633–662. [Google Scholar] [CrossRef]
- Verwey, E.J.W. Theory of the stability of lyophobic colloids. J. Phys. Chem. 1947, 51, 631–636. [Google Scholar] [CrossRef] [PubMed]
- Ohshima, H. Force and Potential Energy of the Double Layer Interaction between Two Charged Colloidal Particles. In Biophysical Chemistry of Biointerfaces; Wiley: Hoboken, NJ, USA, 2010. [Google Scholar]
- Israelachvili, J.N. Interactions Involving Polar Molecules. In Intermolecular and Surface Forces; Elsevier: Amsterdam, The Netherlands, 2011; pp. 71–90. [Google Scholar]
- Ohshima, H. Electrical Double Layer. In Encyclopedia of Colloid and Interface Science; Springer: Berlin/Heidelberg, Germany, 2013; pp. 342–361. [Google Scholar]
- Sinha, P.; Szilagyi, I.; Montes Ruiz-Cabello, F.J.; Maroni, P.; Borkovec, M. Attractive Forces between Charged Colloidal Particles Induced by Multivalent Ions Revealed by Confronting Aggregation and Direct Force Measurements. J. Phys. Chem. Lett. 2013, 4, 648–652. [Google Scholar] [CrossRef]
- Finessi, M.; Sinha, P.; Szilagyi, I.; Popa, I.; Maroni, P.; Borkovec, M. Charge Reversal of Sulfate Latex Particles by Adsorbed Linear Poly(ethylene imine) Probed by Multiparticle Colloidal Probe Technique. J. Phys. Chem. B 2011, 115, 9098–9105. [Google Scholar] [CrossRef]
- Adair, J.H.; Suvaci, E.; Sindel, J. Surface and Colloid Chemistry. In Encyclopedia of Materials: Science and Technology; Jurgen Buschow, K.H., Flemings, C.M., Kramer, E.J., Veyssier, P., Cahn, R.W., Ilschner, B., Mahajan, S., Eds.; Elsevier: Amsterdam, The Netherlands, 2001; pp. 1–10. [Google Scholar]
- Luckham, P.F. Manipulating forces between surfaces: Applications in colloid science and biophysics. Adv. Colloid Interface Sci. 2004, 111, 29–47. [Google Scholar] [CrossRef]
- Zhang, P.; Huang, W.; Jia, Z.; Zhou, C.; Guo, M.; Wang, Y. Conformation and adsorption behavior of associative polymer for enhanced oil recovery using single molecule force spectroscopy. J. Polym. Res. 2014, 21, 523. [Google Scholar] [CrossRef]
- Rasteiro, M.G.; Pinheiro, I.; Ahmadloo, H.; Hunkeler, D.; Garcia, F.A.P.; Ferreia, P.; Wandrey, C. Correlation between flocculation and adsorption of cationic polyacrylamides on precipitated calcium carbonate. Chem. Eng. Res. Des. 2015, 95, 298–306. [Google Scholar] [CrossRef]
- Liu, Q.; Wang, Q.; Xiang, L. Influence of poly acrylic acid on the dispersion of calcite nano-particles. Appl. Surf. Sci. 2008, 254, 7104–7108. [Google Scholar] [CrossRef]
- Bulo, R.E.; Donadio, D.; Laio, A.; Molnar, F.; Rieger, J.; Parrinello, M. “Site Binding” of Ca2+ Ions to Polyacrylates in Water: A Molecular Dynamics Study of Coiling and Aggregation. Macromolecules 2007, 40, 3437–3442. [Google Scholar] [CrossRef]
- Conti, M.; Bustanji, Y.; Falini, G.; Ferruti, P.; Stefoni, S.; Samorì, B. The desorption process of macromolecules adsorbed on interfaces: The force spectroscopy approach. Chemphyschem Eur. J. Chem. Phys. Phys. Chem. 2001, 2, 610–613. [Google Scholar] [CrossRef]
- Zhang, W.; Cui, S.; Fu, Y.; Zhang, X. Desorption Force of Poly(4-vinylpyridine) Layer Assemblies from Amino Groups Modified Substrates. J. Phys. Chem. B 2002, 106, 12705–12708. [Google Scholar] [CrossRef]
- Cui, S.; Liu, C.; Zhang, X. Simple Method to Isolate Single Polymer Chains for the Direct Measurement of the Desorption Force. Nano Lett. 2003, 3, 245–248. [Google Scholar] [CrossRef]
- Long, J.; Xu, Z.; Masliyah, J.H. Adhesion of Single Polyelectrolyte Molecules on Silica, Mica, and Bitumen Surfaces. Langmuir 2006, 22, 1652–1659. [Google Scholar] [CrossRef] [PubMed]
- Colby, R.H. Structure and linear viscoelasticity of flexible polymer solutions: Comparison of polyelectrolyte and neutral polymer solutions. Rheol. Acta 2010, 49, 425–442. [Google Scholar] [CrossRef]
- Schroeder, C.M. Single polymer dynamics for molecular rheology. J. Rheol. 2018, 62, 371–403. [Google Scholar] [CrossRef]
- Akbari, S.; Mahmood, S.; Tan, I.; Bharadwaj, A.; Hematpur, H. Experimental investigation of the effect of different process variables on the viscosity of sulfonated polyacrylamide copolymers. J. Pet. Explor. Prod. Technol. 2016, 7, 87–101. [Google Scholar] [CrossRef]
- Luckham, P.F.; Klein, J. Forces between mica surfaces bearing adsorbed polyelectrolyte, poly-L-lysine, in aqueous media. J. Chem. Soc. Faraday Trans. 1 Phys. Chem. Condens. Phases 1984, 80, 865–878. [Google Scholar] [CrossRef]
- Afshar-rad, T.; Bailey, A.I.; Luckham, P.F.; Macnaughtan, W.; Chapman, D. Forces between poly-l-lysine of molecular weight range 4,000–75,000 adsorbed on mica surfaces. Colloids Surf. 1987, 25, 263–277. [Google Scholar] [CrossRef]















| Polymers | Steric Repulsion Distance (nm) | Batch | Adhesion (pN) | Interaction Energy (aJ) | ||
|---|---|---|---|---|---|---|
| Average | Peak | Average | Peak | |||
| F3330 | 30–70 | 1 | 625 ± 360 | 556 ± 50 | 43 ± 19 | 29 ± 8 |
| 2 | 450 ± 320 | 266 ± 50 | 145 ± 88 | 66 ± 20 | ||
| F3530 | 70–100 | 1 | 85 ± 42 | 61 ± 6 | 11 ± 4.7 | 9.5 ± 2 |
| 2 | 88 ± 50 | 53 ± 4 | 8.4 ± 6.4 | 2.6 ± 2 | ||
| Ionic Strength (M) | Radius of Gyration (nm) |
|---|---|
| 0 | 200 ± 2.2 |
| 0.5 | 64 ± 2.3 |
| Presence of Salt | Semi-Dilute Unentangled | Semi-Dilute Entangled |
|---|---|---|
| No | ||
| Yes |
| Ionic Strength (M) | Zeta Potential (mV) |
|---|---|
| 0 | −41.1 ± 1.62 |
| 0.017 | −25.3 ± 0.34 |
| 0.5 | −14.7 ± 1.84 |
| Polymers | Steric Repulsion Distance (nm) | Batch | Adhesion (pN) | Interaction Energy (aJ) | ||
|---|---|---|---|---|---|---|
| Average | Peak | Average | Peak | |||
| F3330 | 60–120 | 1 | 120 ± 43 | 131 ± 20 | 17 ± 7.3 | 23 ± 2 |
| 2 | 72 ± 46 | 32 ± 5 | 5.6 ± 3.6 | 2.9 ± 0.25 | ||
| F3530 | 90–150 | 1 | 11.4 ± 8.9 | 2.5 ± 2 | 0.3 ± 0.27 | 0.02 ± 0.01 |
| 2 | 48 ± 31 | 18 ± 8 | 2.98 ± 2.19 | 1.6 ± 0.4 | ||
Disclaimer/Publisher’s Note: The statements, opinions and data contained in all publications are solely those of the individual author(s) and contributor(s) and not of MDPI and/or the editor(s). MDPI and/or the editor(s) disclaim responsibility for any injury to people or property resulting from any ideas, methods, instructions or products referred to in the content. |
© 2023 by the authors. Licensee MDPI, Basel, Switzerland. This article is an open access article distributed under the terms and conditions of the Creative Commons Attribution (CC BY) license (https://creativecommons.org/licenses/by/4.0/).
Share and Cite
Lew, J.H.; Matar, O.K.; Müller, E.A.; Luckham, P.F.; Sousa Santos, A.; Myo Thant, M.M. Atomic Force Microscopy of Hydrolysed Polyacrylamide Adsorption onto Calcium Carbonate. Polymers 2023, 15, 4037. https://doi.org/10.3390/polym15204037
Lew JH, Matar OK, Müller EA, Luckham PF, Sousa Santos A, Myo Thant MM. Atomic Force Microscopy of Hydrolysed Polyacrylamide Adsorption onto Calcium Carbonate. Polymers. 2023; 15(20):4037. https://doi.org/10.3390/polym15204037
Chicago/Turabian StyleLew, Jin Hau, Omar K. Matar, Erich A. Müller, Paul F. Luckham, Adrielle Sousa Santos, and Maung Maung Myo Thant. 2023. "Atomic Force Microscopy of Hydrolysed Polyacrylamide Adsorption onto Calcium Carbonate" Polymers 15, no. 20: 4037. https://doi.org/10.3390/polym15204037
APA StyleLew, J. H., Matar, O. K., Müller, E. A., Luckham, P. F., Sousa Santos, A., & Myo Thant, M. M. (2023). Atomic Force Microscopy of Hydrolysed Polyacrylamide Adsorption onto Calcium Carbonate. Polymers, 15(20), 4037. https://doi.org/10.3390/polym15204037

