Effect of Innovative Bio-Based Plastics on Early Growth of Higher Plants
Abstract
1. Introduction
2. Materials and Methods
2.1. Bio-Based Plastics
2.2. Methods of Evaluation of Phytotoxicity
2.3. Statistical Analysis
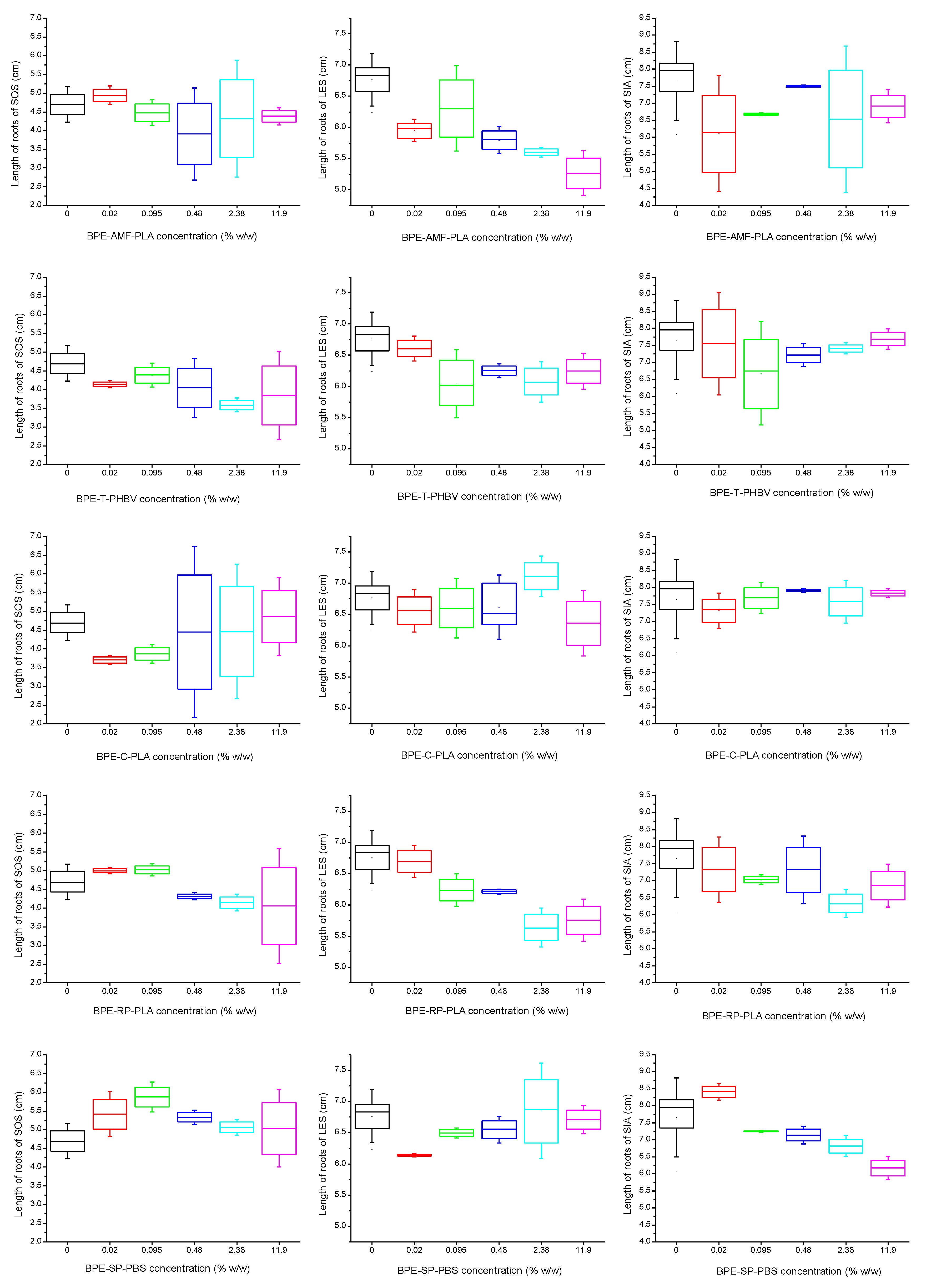
3. Results and Discussion
4. Conclusions
Funding
Institutional Review Board Statement
Informed Consent Statement
Data Availability Statement
Conflicts of Interest
References
- Wong, J.W.Y.; Hitzfeld, B.; Zimmermann, M.; Werner, I.; Ferrari, B.J.D. Current developments in soil ecotoxicology and the need for strengthening soil ecotoxicology in Europe: Results of a stakeholder workshop. Environ. Sci. Eur. 2018, 30, 49. [Google Scholar] [CrossRef] [PubMed]
- Rillig, M.C.; Lehmann, A.; de Souza Machado, A.A.; Yang, G. Microplastic effects on plants. New Phytol. 2019, 223, 1066–1070. [Google Scholar] [CrossRef] [PubMed]
- de Souza Machado, A.A.S.; Lau, C.W.; Till, J.; Kloas, W.; Lehmann, A.; Becker, R.; Rillig, M.C. Impacts of microplastics on the soil biophysical environment. Environ. Sci. Technol. 2018, 52, 9656–9665. [Google Scholar] [CrossRef]
- Wan, Y.; Wu, C.; Xue, Q.; Hui, X. Effects of plastic contamination on water evaporation and desiccation cracking in soil. Sci. Total Environ. 2019, 654, 576–582. [Google Scholar] [CrossRef] [PubMed]
- Lavelle, P.; Decaens, T.; Aubert, M.; Barot, S.; Blouin, M.; Bureau, F.; Margerie, P.; Mora, P.; Rossi, J.P. Soil invertebrates and ecosystem services. Eur. J. Soil Biol. 2006, 42, S3–S15. [Google Scholar] [CrossRef]
- Bogum, G. (Ed.) Ecotoxicology; InTech: Rijeka, Croatia, 2012; ISBN 978-953-51-0027-0. [Google Scholar]
- Faucon, M.-P.; Houben, D.; Lambers, H. Plant Functional Traits: Soil and Ecosystem Services. Trends Plant Sci. 2017, 22, 385–394. [Google Scholar] [CrossRef]
- Arcos-Hernandez, M.V.; Laycock, B.; Pratt, S.; Donose, B.C.; Nikolić, M.A.L.; Luckman, P.; Werker, A.; Lant, P.A. Biodegradation in a soil environment of activated sludge derived polyhydroxyalkanoate (PHBV). Polym. Degrad. Stab. 2012, 97, 2301–2312. [Google Scholar] [CrossRef]
- Balestri, E.; Menicagli, V.; Ligorinia, V.; Fulignati, S.; Galletti, A.M.R.; Lardicci, C. Phytotoxicity assessment of conventional and biodegradable plastic bags using seed germination test. Ecol. Indic. 2019, 102, 569–580. [Google Scholar] [CrossRef]
- Bosker, T.; Bouwman, L.J.; Brun, N.R.; Behrens, P.; Vijver, M.G. Microplastics accumulate on pores in seed capsule and delay germination and root growth of the terrestrial vascular plant Lepidium sativum. Chemosphere 2019, 226, 774–781. [Google Scholar] [CrossRef]
- Qi, Y.; Yang, X.; Pelaez, A.M.; Lwanga, E.H.; Beriot, N.; Gertsen, H.; Garbeva, P.; Geissen, V. Macro- and micro- plastics in soil-plant system: Effects of plastic mulch film residues on wheat (Triticum aestivum) growth. Sci. Total Environ. 2018, 645, 1048–1056. [Google Scholar] [CrossRef]
- Judy, J.D.; Williams, M.; Gregg, A.; Oliver, D.; Kumar, A.; Kookana, R.; Kirby, J.K. Microplastics in municipal mixed-waste organic outputs induce minimal short to long-term toxicity in key terrestrial biota. Environ. Pollut. 2019, 252, 522–531. [Google Scholar] [CrossRef] [PubMed]
- Huerta-Lwanga, E.; Mendoza-Vega, J.; Ribeiro, O.; Gertsen, H.; Peters, P.; Geissen, V. Is the Polylactic Acid fiber in green compost a risk for Lumbricus terrestris and Triticum aestivum? Polymers 2021, 13, 703. [Google Scholar] [CrossRef] [PubMed]
- Lozano, Y.M.; Lehnert, T.; Linck, L.T.; Lehmann, A.; Rillig, M.C. Microplastic shape, polymer type, and concentration affect soil properties and plant biomass. Front. Plant. Sci. 2021, 12, 616645. [Google Scholar] [CrossRef] [PubMed]
- de Souza Machado, A.A.; Lau, C.W.; Kloas, W.; Bergmann, J.; Bachelier, J.B.; Faltin, E.; Becker, R.; Görlich, A.S.; Rillig, M.C. Microplastics can change soil properties and affect plant performance. Environ. Sci. Technol. 2019, 53, 6044–6052. [Google Scholar] [CrossRef]
- Liwarska-Bizukojc, E. Phytotoxicity assessment of biodegradable and non-biodegradable plastics using seed germination and early growth tests. Chemosphere 2022, 289, 133132. [Google Scholar] [CrossRef]
- ISO 18763:2016; Soil Quality—Determination of the Toxic Effects of Pollutants on Germination and Early Growth of Higher Plants. Test No. 208: Terrestrial Plant Test: Seedling Emergence and Seedling Growth Test. ISO: Geneva, Switzerland, 2016.
- Tuan, P.A.; Sun, M.; Nguyen, T.-N.; Park, S.; Ayele, B.T. 1—Molecular Mechanisms of Seed Germination. In Sprouted Grains; Feng, H., Nemzer, B., DeVries, J.W., Eds.; AACC International Press: Washington, DC, USA, 2019; pp. 1–24. [Google Scholar] [CrossRef]
- Makhaye, G.; Mofokeng, M.M.; Tesfay, S.; Aremu, A.O.; Van Staden, J.; Amoo, S.O. Chapter 5—Influence of plant biostimulant application on seed germination. In Biostimulants for Crops from Seed Germination to Plant Development; Gupta, S., Van Staden, J., Eds.; Academic Press: Cambridge, MA, USA, 2021; pp. 109–135. [Google Scholar] [CrossRef]
- Reddy, Y.A.N.; Reddy, Y.N.P.; Ramya, V.; Suma, L.S.; Narayana Reddy, A.B.; Krishna, S.S. Chapter 8—Drought adaptation: Approaches for crop improvement. In Millets and Pseudo Cereals, Woodhead Publishing Series in Food Science, Technology and Nutrition; Singh, M., Sood, S., Eds.; Woodhead Publishing: Sawston, UK, 2021; pp. 143–158. [Google Scholar] [CrossRef]
- Lozano, Y.M.; Rillig, M.C. Effects of microplastic fibers and drought on plant communities. Environ. Sci. Technol. 2020, 54, 6166–6173. [Google Scholar] [CrossRef]
- Matras, E.; Gorczyca, A.; Pociecha, E.; Przemieniecki, S.W.; Oćwieja, M. Phytotoxicity of Silver Nanoparticles with Different Surface Properties on Monocots and Dicots Model Plants. J. Soil Sci. Plant Nutr. 2022, 22, 1647–1664. [Google Scholar] [CrossRef]
- Piršelová, B.; Kuna, R.; Libantová, J.; Moravčíková, J.; Matušíková, I. Biochemical and physiological comparison of heavy metal-triggered defense responses in the monocot maize and dicot soybean roots. Mol. Biol. Rep. 2011, 38, 3437–3446. [Google Scholar] [CrossRef]
- Małkowski, E.; Sitko, K.; Szopiński, M.; Gieroń, Ż.; Pogrzeba, M.; Kalaji, H.M.; Zieleźnik-Rusinowska, P. Hormesis in Plants: The Role of Oxidative Stress, Auxins and Photosynthesis in Corn Treated with Cd or Pb. Int. J. Mol. Sci. 2020, 21, 2099. [Google Scholar] [CrossRef]
- Agathokleous, E.; Kitao, M.; Calabrese, E.J. Hormesis: A compelling platform for sophisticated plant science. Trends Plant Sci. 2019, 24, 318–327. [Google Scholar] [CrossRef]
- Kendig, E.L.; Le, H.H.; Belcher, S.M. Defining hormesis: Evaluation of a complex concentration response phenomenon. Int. J. Toxicol. 2010, 29, 235–246. [Google Scholar] [CrossRef] [PubMed]



| Acronym of Bio-Based Plastic | APPLICATION | Desired Properties | Material Type | Density g cm−3 | Size of Granules | Innovation | Material Details | Manufacturer |
|---|---|---|---|---|---|---|---|---|
| BPE-AMF-PLA | Mulch film | Bio-based and both recyclable and bio-degradable, degrades in controlled fashion | PLA-based | 1.26 | Length 3 mm; diameter 2.5 mm | Blending of PLA and polyhydroxy butyrate-hydroxyvalerate (PHBV) for controlled degradation, fertilizer added for controlled release | PLA blended with 15% polybutylene adipate terephthalate (PBAT) and <5% process additives, intended to be used for extrusion application | NaturePlast SAS (Mondeville, France) |
| BPE-T-PHBV | Toys | Recyclable, industrially compostable rheology, thermal stability, melt viscosity, resistance to hydrolysis, migration | PHBV-based | 1.24 | Length 3 mm; diameter 2.5 mm | Blending of PLA, and soft unsaturated PHAs, first mechanical, thermal characterization (smallest scale); in vitro (enzymatic) degradation | PHVBV blended with <15% additives (mostly impact modifier), intended to be used for injection application | NaturePlast SAS (Mondeville, France) |
| BPE-SP-PBS | Soft Packa-ging | Recyclable, industrially compostable rheology, thermal stability, melt viscosity, resistance to hydrolysis, barrier properties | PBS-based | 1.26 | Length 3 mm; diameter 2.5 mm | Improve processing and hydrolysis resistance, testing of recyclability, blending with PLA to increase mechanical properties (soft packaging to more rigid packaging) | PBS blended with <15% additives (mostly mineral filler), intended to be used for thermoforming or injection application | NaturePlast SAS (Mondeville, France) |
| BPE-C-PLA | Cutlery | Reusable cutlery with good mechanical properties and heat resistance | PLA-based | 1.40 | Length 3 mm; diameter 2.5 mm | Thermal stability, processing, resistance to hydrolysis, suitable for dishwasher cleaning, environmental degradation, ecotoxicology | PLA-based compound filled with 20% of degradable glass fiber | Arctic Biomaterials OY Ltd. (Tampere, Finland) |
| BPE-RP-PLA | Rigid packa-ging | Water and oxygen barrier, bio-based and bio- degradable | PLA-based | 1.50 | Length 3 mm; diameter 2.5 mm | Cold mold, fast cycle time, good heat resistance, food grade | PLA-based mineral filled compound (food grade) for injection molding and potentially sheets for thermoforming | Arctic Biomaterials OY Ltd. (Tampere, Finland) |
| Tested compound | Exposed plant organ | p-values for SOS | ||||
| Concentrations (% w/w) | ||||||
| 0.02 | 0.095 | 0.48 | 2.38 | 11.9 | ||
| BPE-AMF-PLA | roots | 0.6231 | 0.5702 | 0.0678 | 0.3654 | 0.6693 |
| shoots | 0.9034 | 0.6639 | 0.01781 (I) | 0.3142 | 0.7238 | |
| BPE-T-PHBV | roots | 0.1868 | 0.4567 | 0.6671 | 0.01371(I) | 0.7165 |
| shoots | 0.1638 | 0.4523 | 0.3511 | 0.00735(I) | 0.9482 | |
| BPE-C-PLA | roots | 0.02192(I) | 0.06123 | 0.7624 | 0.2606 | 0.7531 |
| shoots | 0.2482 | 0.5049 | 0.1488 | 0.07073 | 0.2089 | |
| BPE-RP-PLA | roots | 0.5214 | 0.5082 | 0.3626 | 0.1977 | 0.1625 |
| shoots | 0.6457 | 0.1868 | 0.6723 | 0.3267 | 0.4432 | |
| BPE-SP-PBS | roots | 0.03223(S) | 0.008538(S) | 0.2049 | 0.4288 | 0.8969 |
| shoots | 0.001491(S) | 1.78·10−5(S) | 0.2255 | 0.03400(S) | 0.5318 | |
| Tested compound | Exposed plant organ | p-values for LES | ||||
| Concentrations (% w/w) | ||||||
| 0.02 | 0.095 | 0.48 | 2.38 | 11.9 | ||
| BPE-AMF-PLA | roots | 2.78·10−5(I) | 0.0371(I) | 3.72·10−6(I) | 7.13·10−8(I) | 7.21·10−12(I) |
| shoots | 0.639 | 0.716 | 0.378 | 0.389 | 0.136 | |
| BPE-T-PHBV | roots | 0.4633 | 0.000132(I) | 0.00855(I) | 0.00195(I) | 0.0471(I) |
| shoots | 0.000159(S) | 0.477 | 0.277 | 0.570 | 0.000662 (I) | |
| BPE-C-PLA | roots | 0.386 | 0.499 | 0.253 | 0.0335 (S) | 0.0507 (I) |
| shoots | 0.000834(S) | 2.09·10−5(S) | 0.00311(S) | 7.19·10−8(S) | 0.194 | |
| BPE-RP-PLA | roots | 0.826 | 0.00488(I) | 0.00329(I) | 9.25·10−8(I) | 1.46·10−8(I) |
| shoots | 3.90·10−6(S) | 0.0166(S) | 2.14·10−6(S) | 0.825 | 0.458 | |
| BPE-SP-PBS | roots | 0.0103 (I) | 0.234 | 0.352 | 0.513 | 0.822 |
| shoots | 9.28·10−5(S) | 2.19·10−6(S) | 0.000194(S) | 0.0214(S) | 4.01·10−6 (I) | |
| Tested compound | Exposed plant organ | p-values for SIA | ||||
| Concentrations (% w/w) | ||||||
| 0.02 | 0.095 | 0.48 | 2.38 | 11.9 | ||
| BPE-AMF-PLA | roots | 0.000545(I) | 0.00654(I) | 0.612 | 0.00626(I) | 0.0812 |
| shoots | 0.959 | 0.596 | 0.843 | 0.528 | 0.0142(I) | |
| BPE-T-PHBV | roots | 0.737 | 0.0196(I) | 0.223 | 0.465 | 0.993 |
| shoots | 0.0584 | 0.454 | 0.509 | 0.517 | 0.000444(I) | |
| BPE-C-PLA | roots | 0.375 | 0.969 | 0.599 | 0.791 | 0.677 |
| shoots | 0.987 | 0.00235(S) | 0.0133(S) | 0.0632 | 0.979 | |
| BPE-RP-PLA | roots | 0.394 | 0.116 | 0.349 | 0.000938(I) | 0.0332(I) |
| shoots | 0.577 | 0.659 | 0.634 | 0.224 | 0.0955 | |
| BPE-SP-PBS | roots | 0.0506 | 0.311 | 0.214 | 0.0416(I) | 0.000111(I) |
| shoots | 0.00984(S) | 0.0345(S) | 0.329 | 0.214 | 0.110 | |
Disclaimer/Publisher’s Note: The statements, opinions and data contained in all publications are solely those of the individual author(s) and contributor(s) and not of MDPI and/or the editor(s). MDPI and/or the editor(s) disclaim responsibility for any injury to people or property resulting from any ideas, methods, instructions or products referred to in the content. |
© 2023 by the author. Licensee MDPI, Basel, Switzerland. This article is an open access article distributed under the terms and conditions of the Creative Commons Attribution (CC BY) license (https://creativecommons.org/licenses/by/4.0/).
Share and Cite
Liwarska-Bizukojc, E. Effect of Innovative Bio-Based Plastics on Early Growth of Higher Plants. Polymers 2023, 15, 438. https://doi.org/10.3390/polym15020438
Liwarska-Bizukojc E. Effect of Innovative Bio-Based Plastics on Early Growth of Higher Plants. Polymers. 2023; 15(2):438. https://doi.org/10.3390/polym15020438
Chicago/Turabian StyleLiwarska-Bizukojc, Ewa. 2023. "Effect of Innovative Bio-Based Plastics on Early Growth of Higher Plants" Polymers 15, no. 2: 438. https://doi.org/10.3390/polym15020438
APA StyleLiwarska-Bizukojc, E. (2023). Effect of Innovative Bio-Based Plastics on Early Growth of Higher Plants. Polymers, 15(2), 438. https://doi.org/10.3390/polym15020438
