Evidence through Thermal Analysis of Retro Diels-Alder Reaction in Model Networks Based on Anthracene Modified Polyester Resins
Abstract
:1. Introduction
2. Materials and Methods
2.1. Materials
2.2. Synthesis of Polyester Resins Derived from DGEBA and 5-Maleimidoisophtalic Acid (DGEBA-MIPA)
2.3. Synthesis of Polyester Resins Derived from DGEBA and 5-(9,10-Dihydro-9,10-ethanoanthracene-11,12-dicarboximido) Maleimidoisophtalic Acid (DGEBA-Anth)
2.4. Synthesis of Polyester Resins Derived from Diglycidylether of o,o′-Diallyl Bisphenol A (DADGBPA) and 5-(9,10-Dihydro-9,10-ethanoanthracene-11,12-dicarboximido) Maleimidoisophtalic Acid (DGEBA-allyl-Anth)
2.5. Characterization
3. Results and Discussion
3.1. Structural Characterization of Polyester Resins
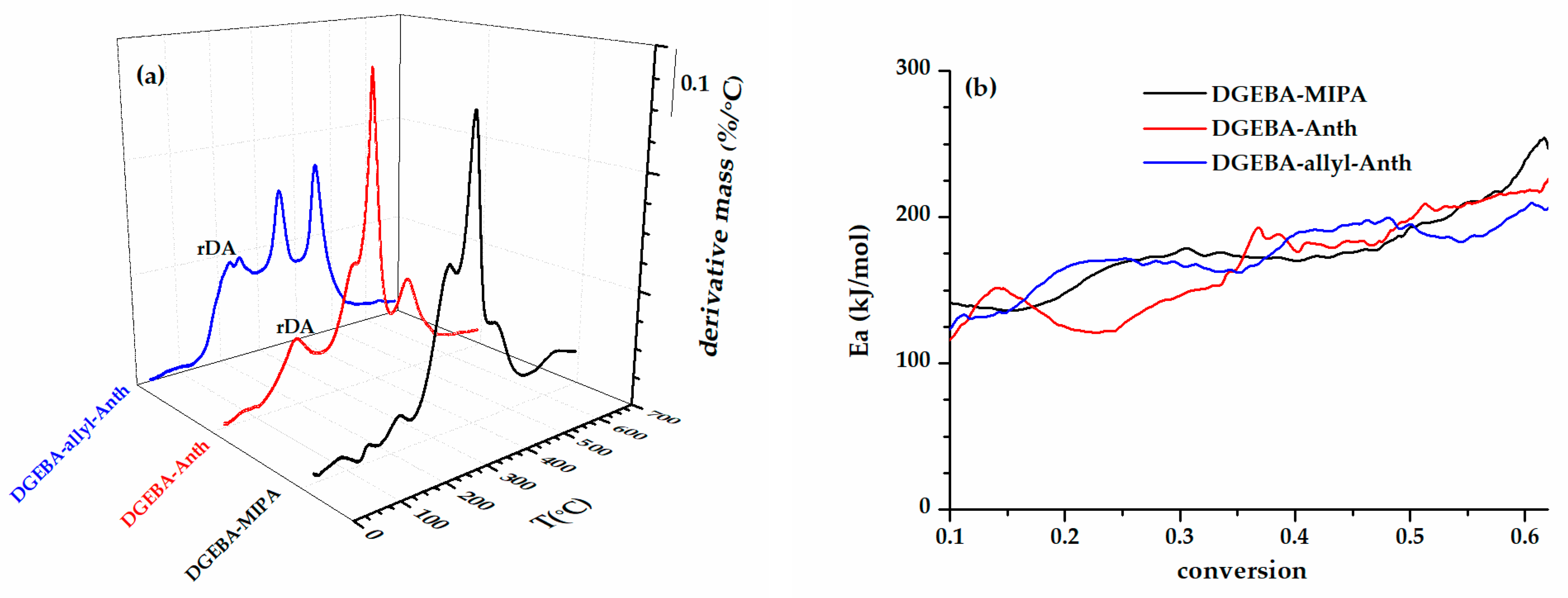
3.2. Thermogravimetric Analysis of Polyester Resins
3.3. Differential Scanning Calorimetry Analysis of Polyester Resins
4. Conclusions
Author Contributions
Funding
Institutional Review Board Statement
Data Availability Statement
Conflicts of Interest
References
- Wang, S.; Urban, M.W. Self-healing polymers. Nat. Rev. Mater. 2020, 5, 562–583. [Google Scholar] [CrossRef]
- Frigione, M.E.; Mascia, L.; Acierni, D. Oligomeric and polymeric modifiers for toughening of epoxy resins. Eur. Polym. J. 1995, 31, 1021–1029. [Google Scholar] [CrossRef]
- Unnikrishnan, K.P.; Thachil, E.T. Toughening of epoxy resins. Des. Monomers Polym. 2014, 9, 129–152. [Google Scholar] [CrossRef]
- Tang, H.; Li, W.; Fan, X.; Chen, X.; Shen, Z.; Zhou, Q. Synthesis, preparation and properties of novel high-performance allyl-maleimide resins. Polymer 2009, 50, 1414–1422. [Google Scholar] [CrossRef]
- Iredale, R.J.; Ward, C.; Hamerton, I. Modern advances in bismaleimide resin technology: A 21st century perspective on the chemistry of addition polyimides. Prog. Polym. Sci. 2017, 69, 1–21. [Google Scholar] [CrossRef]
- Lehn, J.-M. Dynamic combinatorial chemistry and virtual combinatorial libraries. Chem. Eur. J. 1999, 5, 2455–2463. [Google Scholar] [CrossRef]
- Van Zee, N.J.; Nicolaÿ, R. Vitrimers: Permanently crosslinked polymers with dynamic network topology. Prog. Polym. Sci. 2020, 104, 101233. [Google Scholar] [CrossRef]
- Bergman, S.D.; Wudl, F. Mendable polymers. J. Mater. Chem. 2008, 18, 41–62. [Google Scholar] [CrossRef]
- Gandini, A. The furan/maleimide Diels–Alder reaction: A versatile click–unclick tool in macromolecular synthesis. Prog. Polym. Sci. 2013, 38, 1–29. [Google Scholar] [CrossRef]
- Adzima, B.J.; Aguirre, H.A.; Kloxin, C.J.; Scott, T.F.; Bowman, C.N. Rheological and chemical analysis of reverse gelation in a covalently cross-linked Diels-Alder polymer network. Macromolecules 2008, 41, 9112–9117. [Google Scholar] [CrossRef]
- Gou, Z.; Zuo, Y.; Feng, S. Thermally self-healing silicone-based networks with potential application in recycling adhesives. RSC Adv. 2016, 6, 73140–73147. [Google Scholar] [CrossRef]
- Truong, T.T.; Thai, S.H.; Nguyen, H.T.; Phung, D.T.T.; Nguyen, L.T.; Pham, H.Q.; Nguen, L.-T.T. Tailoring the hard-soft interface with dynamic Diels Alder linkages in polyurethanes: Toward superior mechanical properties and healability and mild temperature. Chem. Mat. 2019, 31, 2347–2357. [Google Scholar] [CrossRef]
- Orozco, F.; Li, J.; Ezekiel, U.; Niyazov, Z.; Floyd, L.; Lima, G.M.R.; Winkelman, J.G.M.; Moreno-Villoslada, I.; Picchioni, F.; Bose, R.K. Diels-Alder-based thermo-reversibly crosslinked polymers: Interplay of crosslinking density, network mobility, kinetics and stereoisomerism. Eur. Polym. J. 2020, 135, 109882. [Google Scholar] [CrossRef]
- Jiang, Y.; Hadjichristidis, N. Diels-Alder polymer networks with temperature-reversible cross-linking-induced emission. Angew. Chem. Int. Ed. 2021, 60, 331–337. [Google Scholar] [CrossRef] [PubMed]
- Gaina, V.; Ursache, O.; Gaina, C.; Buruiana, E. Novel thermally-reversible epoxy-urethane networks. Des. Monomers Polym. 2012, 15, 63–73. [Google Scholar] [CrossRef]
- Gaina, C.; Ursache, O.; Gaina, V.; Varganici, C.D. Poly(urethane-benzoxazine)s. J. Polym. Res. 2014, 21, 586. [Google Scholar] [CrossRef]
- Ratwani, C.R.; Kamali, A.R.; Abdelkader, A.M. Self-healing by Diels Alder cycloaddition in advanced functional polymers: A review. Prog. Mat. Sci. 2023, 131, 101001. [Google Scholar] [CrossRef]
- Gacal, B.; Durmaz, H.; Tasdelen, M.A.; Hizal, G.; Tunca, U.; Yagci, Y.; Demirel, A.L. Anthracene-maleimide-based Diels-Alder “click chemistry” as a novel route to graft copolymers. Macromolecules 2006, 39, 5330–5336. [Google Scholar] [CrossRef]
- Shah, S.; Tian, R.; Shi, Z.; Liao, Y. Side-chain free aromatic polyimides containing anthracene units via Diels-Alder precursors. J. Appl. Polym. Sci. 2009, 112, 2953–2958. [Google Scholar] [CrossRef]
- Yoshie, N.; Saito, S.; Oya, N. A thermally-stable self-mending polymer networked by Diels-Alder cycloaddition. Polymer 2011, 52, 6074–6079. [Google Scholar] [CrossRef]
- Alkayal, N.; Hadjichristidis, N. Well-defined polymethylene-based block co/terpolymers by combining anthracene/maleimide Diels-Alder reaction with polyhomologation. Polym. Chem. 2015, 6, 4921–4926. [Google Scholar] [CrossRef]
- Heo, Y.; Malakooti, M.H.; Sodano, H.A. Self-healing polymers and composite for extreme environments. J. Mater. Chem. A 2016, 4, 17403–17411. [Google Scholar] [CrossRef]
- Caliskan, E.; Shishatskiy, S.; Neumann, S.; Abetz, V.; Filiz, V. Investigation of the side chain effect on gas and water vapor transport properties of anthracene-maleimide based polymers of intrinsic microporosity. Polymers 2022, 14, 119. [Google Scholar] [CrossRef] [PubMed]
- Van Damme, J.; Du Prez, F. Anthracene-containing polymers toward high-end applications. Prog. Polym. Sci. 2018, 82, 92–119. [Google Scholar] [CrossRef]
- Briou, B.; Améduri, B.; Boutevin, B. Trends in the Diels-Alder reaction in polymer chemistry. Chem. Soc. Rev. 2021, 50, 11055–11097. [Google Scholar] [CrossRef]
- Grigoras, M.; Colontin, G. Copolymerization of a bisanthracene compound with bismaleimides by Diels-Alder cycloaddition. Polym. Int. 2001, 50, 1375–1378. [Google Scholar] [CrossRef]
- Raut, S.K.; Sarkar, S.; Mondal, P.; Meldrum, A.; Singha, N.K. Covalent adaptable network in an anthracenyl functionalized non-olefinic elastomer; a new class of self-healing elastomer coupled with fluorescence switching. Chem. Eng. J. 2023, 453, 139641. [Google Scholar] [CrossRef]
- Peng, Y.-J.; Cai, C.-T.; Wang, C.-J.; Zuo, Z.-F.; Liu, X.-Z. Probing the glass transition in reversible crosslinked polymer complexes. RSC Adv. 2019, 9, 15318. [Google Scholar] [CrossRef]
- Roquerol, J.; Toft Sørensen, O.; Barnes, P.; Charsley, E.L.; Fesenko, E.; Reading, M. Basic SCTA techniques. In Sample Controlled Thermal Analysis. Origin, Goals, Multiple Forms, Applications and Future; Toft Sørensen, O., Rouquerol, J., Eds.; Springer: Boston, MA, USA, 2003; pp. 16–61. [Google Scholar] [CrossRef]
- Gill, P.S.; Sauerbrunn, S.R.; Crowe, B.S. High resolution thermogravimetry. J. Therm. Anal. 1992, 38, 255–266. [Google Scholar] [CrossRef]
- Blaine, R.L.; Hahn, B.K. Obtaining kinetic parameters by modulated thermogravimetry. J. Therm. Anal. 1998, 54, 695–704. [Google Scholar] [CrossRef]
- Gonzales, A.; Irusta, L.; Fernández-Berridi, M.J.; Iriarte, M.; Iruin, J.J. Application of pyrolysis/gas chromatography/Fourier transform infrared spectroscopy and TGA techniques in the study of thermal degradation of poly(3-hydroxybutyrate). Polym. Degrad. Stab. 2005, 87, 347–354. [Google Scholar] [CrossRef]
- Kramer, R.K.; Carvalho, A.J.F. Non-freezing water sorbed on microcrystalline cellulose studied by high-resolution thermogravimetric analysis. Cellulose 2021, 28, 10117–10125. [Google Scholar] [CrossRef]
- Matesanz-Niño, L.; Aguilar-Lugo, C.; Prádanos, P.; Hernandez, A.; Bartolomé, C.; de la Campa, J.G.; Palacio, L.; González-Ortega, A.; Galizia, M.; Álvarez, C.; et al. Gas separation membranes obtained by partial pyrolysis of polyimides exhibiting polyethylene oxide moieties. Polymer 2022, 247, 124789. [Google Scholar] [CrossRef]
- Shih, Y.-F.; Jeng, R.-J. Thermal degradation behaviour and kinetic analysis of unsaturated polyester-based composites and IPNs by conventional and modulated thermogravimetric analysis. Polym. Degrad. Stab. 2006, 91, 823–831. [Google Scholar] [CrossRef]
- Aburto, J.; Moran, M.; Galano, A.; Torres-García, E. Non-isothermal pyrolysis of pectin: A thermochemical and kinetic approach. J. Anal. Appl. Pyrolysis 2015, 112, 94–104. [Google Scholar] [CrossRef]
- Ionita, D.; Cristea, M.; Cosmulescu, S.F.; Predeanu, G.; Harabagiu, V.; Samoila, P. Thermal and viscoelastic responses of selected lignocellulosic wastes: Similarities and differences. Polymers 2023, 15, 2100. [Google Scholar] [CrossRef]
- Mikroyannidis, J.A. Crosslinkable aromatic polyketones with maleimide pendent groups. J. Polym. Sci. A Polym. Chem. 1990, 28, 669–677. [Google Scholar] [CrossRef]
- Gaina, C.; Gaina, V.; Ciobanu, C. Thermal and mechanical characterization of maleimide-functionalized copoly(urethane-urea)s. J. Appl. Polym. Sci. 2009, 113, 3245–3254. [Google Scholar] [CrossRef]
- Gaina, V.; Gaina, C. New bismaleimide-epoxy resin system. Polym. Plast. Technol. Eng. 2009, 48, 525–529. [Google Scholar] [CrossRef]
- Gaina, V.; Gaina, C. Bismaleimides and biscitraconimides with bisallyl groups. High Perform. Polym. 2007, 19, 160–174. [Google Scholar] [CrossRef]
- Mustata, F.R.; Tudorachi, N. Epoxy resins cross-linked with rosin adduct derivatives. Cross-linking and thermal behaviors. Ind. Eng. Chem. Res. 2010, 49, 12414–12422. [Google Scholar] [CrossRef]
- Jagtap, A.R.; More, A. Developments in reactive diluents: A review. Polym. Bull. 2022, 79, 5667–5708. [Google Scholar] [CrossRef]
- Mustata, F. Polyhydroxyesterimides from renewable resources: Synthesis, characterization, properties. Int. J. Polym. Mat. 2011, 60, 1106–1122. [Google Scholar] [CrossRef]
- Liu, Y.-L.; Hsieh, C.-Y. Crosslinked epoxy materials exhibiting thermal remendability and removability from functional maleimide and furan compounds. J. Polym. Sci. A Polym. Chem. 2005, 44, 905–913. [Google Scholar] [CrossRef]
- Fang, Y.; Li, J.; Du, X.; Du, Z.; Cheng, X.; Wang, H. Thermal- and mechanical-responsive polyurethane elastomers with self-healing, mechanical-reinforced, and thermal-stable capabilities. Polymer 2018, 158, 166–175. [Google Scholar] [CrossRef]
- Varganici, C.-D.; Ursache, O.; Gaina, C.; Gaina, V.; Rosu, D.; Simionescu, B.C. Synthesis and characterization of a new thermoreversible polyurethane network. Ind. Eng. Chem. Res. 2013, 52, 5287–5295. [Google Scholar] [CrossRef]
- Gaina, C.; Gaina, V.; Ionita, D. Functional modification of poly(vinyl alcohol) with maleimide compounds. Polym. Bull. 2016, 73, 2019–2038. [Google Scholar] [CrossRef]
- Ursache, O.; Gaina, C.; Gaina, V.; Musteata, V.E. High performance bismaleimide resins modified by novel allyl compounds based on polytriazoles. J. Polym. Res. 2012, 19, 9969. [Google Scholar] [CrossRef]
- Gill, P.S.; Sauerbrunn, S.R.; Reading, M. Modulated differential scanning calorimetry. J. Therm. Anal. 1993, 40, 931–939. [Google Scholar] [CrossRef]
- Goldfarb, J.L.; Külatos, I. Melting points and enthalpies of fusion of anthracene and its heteroatomic counterparts. J. Therm. Anal. Calorim. 2010, 102, 1063–1070. [Google Scholar] [CrossRef]
- Racles, C.; Silion, M.; Stanica, N.; Cazacu, M.; Turta, C. New siloxane-containing iron (III) carboxylate clusters. J. Organomet. Chem. 2012, 711, 43–51. [Google Scholar] [CrossRef]
- Blaj, D.-A.; Kowalczuk, M.; Peptu, C. Mass spectrometry of esterified cyclodextrins. Molecules 2023, 28, 2001. [Google Scholar] [CrossRef] [PubMed]
- Konrad, W.; Bloesser, F.R.; Wetzel, K.S.; Boukis, A.C.; Meier, M.A.R.; Barner-Kowollik, C. A combined photochemical and multicomponent reaction approach to precision oligomers. Chem. Eur. J. 2018, 24, 3413–3419. [Google Scholar] [CrossRef] [PubMed]
- Huang, K.; Zhang, P.; Zhang, J.; Li, S.; Li, M.; Xia, J.; Zhou, Y. Preparation of biobased epoxies using tung oil fatty acid-derived C21 diacid and C22 triacid and study of epoxy properties. Green. Chem. 2013, 15, 2466–2475. [Google Scholar] [CrossRef]
- Nebhani, L.; Barner-Kowollik, C. Functionalization of fullerenes with cyclopentadienyl and anthracenyl capped polymeric building blocks via Diels-Alder chemistry. Macromol. Rapid Commun. 2010, 31, 1298–1305. [Google Scholar] [CrossRef]














| Sample | Tdeg onset (1) (°C) | T10 (2) (°C) | Residue (3) (%) |
|---|---|---|---|
| DGEBA-MIPA | 352.0 | 336.4 | 29.5 |
| DGEBA-Anth | 193.7 | 232.6 | 28.6 |
| DGEBA-allyl-Anth | 198.5 | 260.0 | 28.9 |
| z | m/z Found | m/z Calculated | Species Assigned (1) | M |
|---|---|---|---|---|
| 2 | 894.42 | 894.37 | [F2–2H]2− | 1790.84 |
| 1 | 896.45 | 896.42 | [F1–2OH–H]− | 870.42 |
| 1 | 930.39 | 930.42 | [F1–H]− | 930.42 |
| 2 | 1753.78 | 1753.71 | [F4–2H]2− | 3509.56 |
| 1 | 1755.76 | 1775.74 | [F2–2OH–H]− | 1756.76 |
Disclaimer/Publisher’s Note: The statements, opinions and data contained in all publications are solely those of the individual author(s) and contributor(s) and not of MDPI and/or the editor(s). MDPI and/or the editor(s) disclaim responsibility for any injury to people or property resulting from any ideas, methods, instructions or products referred to in the content. |
© 2023 by the authors. Licensee MDPI, Basel, Switzerland. This article is an open access article distributed under the terms and conditions of the Creative Commons Attribution (CC BY) license (https://creativecommons.org/licenses/by/4.0/).
Share and Cite
Ionita, D.; Cristea, M.; Gaina, C.; Silion, M.; Simionescu, B.C. Evidence through Thermal Analysis of Retro Diels-Alder Reaction in Model Networks Based on Anthracene Modified Polyester Resins. Polymers 2023, 15, 4028. https://doi.org/10.3390/polym15194028
Ionita D, Cristea M, Gaina C, Silion M, Simionescu BC. Evidence through Thermal Analysis of Retro Diels-Alder Reaction in Model Networks Based on Anthracene Modified Polyester Resins. Polymers. 2023; 15(19):4028. https://doi.org/10.3390/polym15194028
Chicago/Turabian StyleIonita, Daniela, Mariana Cristea, Constantin Gaina, Mihaela Silion, and Bogdan C. Simionescu. 2023. "Evidence through Thermal Analysis of Retro Diels-Alder Reaction in Model Networks Based on Anthracene Modified Polyester Resins" Polymers 15, no. 19: 4028. https://doi.org/10.3390/polym15194028
APA StyleIonita, D., Cristea, M., Gaina, C., Silion, M., & Simionescu, B. C. (2023). Evidence through Thermal Analysis of Retro Diels-Alder Reaction in Model Networks Based on Anthracene Modified Polyester Resins. Polymers, 15(19), 4028. https://doi.org/10.3390/polym15194028

