Influence of Catalyst Content and Epoxy/Carboxylate Ratio on Isothermal Creep of Epoxy Vitrimers
Abstract
:1. Introduction
2. Materials and Methods
2.1. Materials and Epoxy Vitrimer Formulation
2.2. Experimental Characterization
3. Thermomechanical Characterization of Epoxy Vitrimers
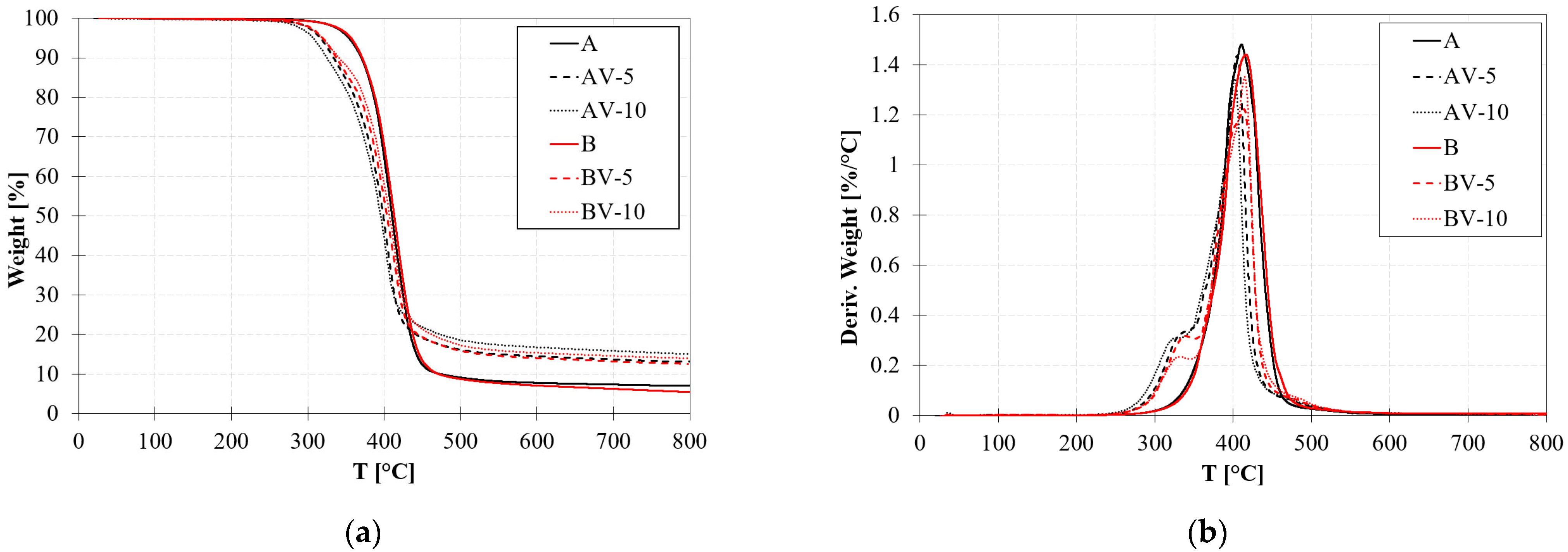
3.1. Thermal Characterization
3.2. Static and Dynamic Mechanical Characterization
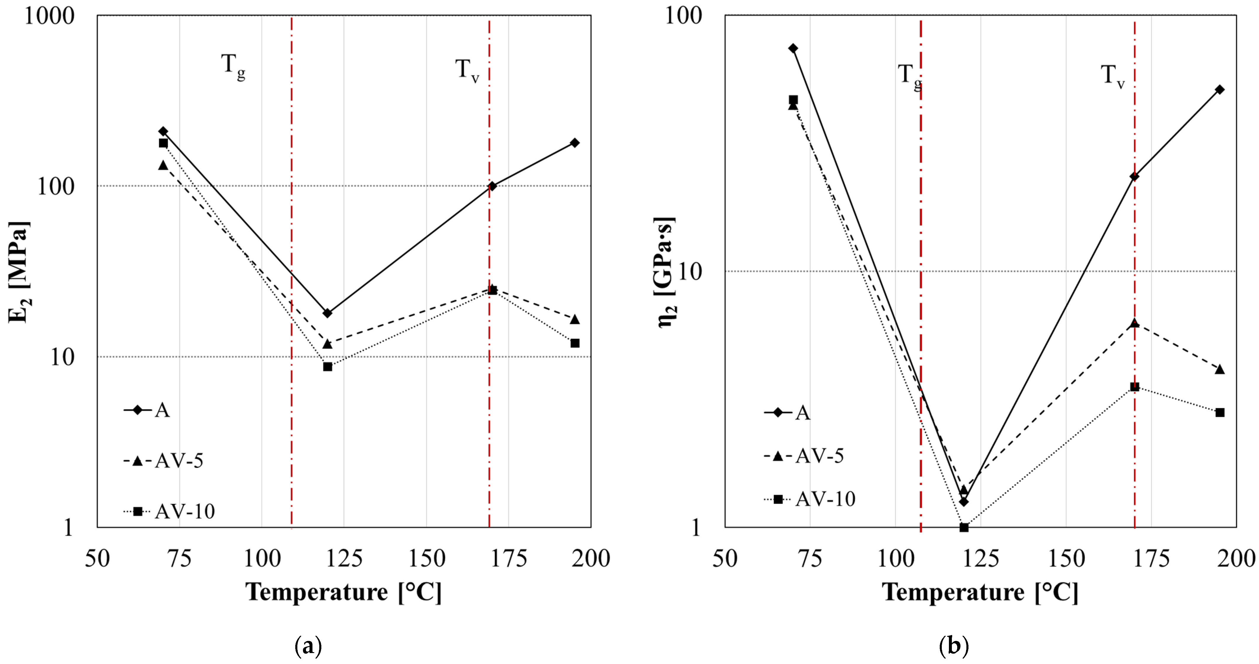
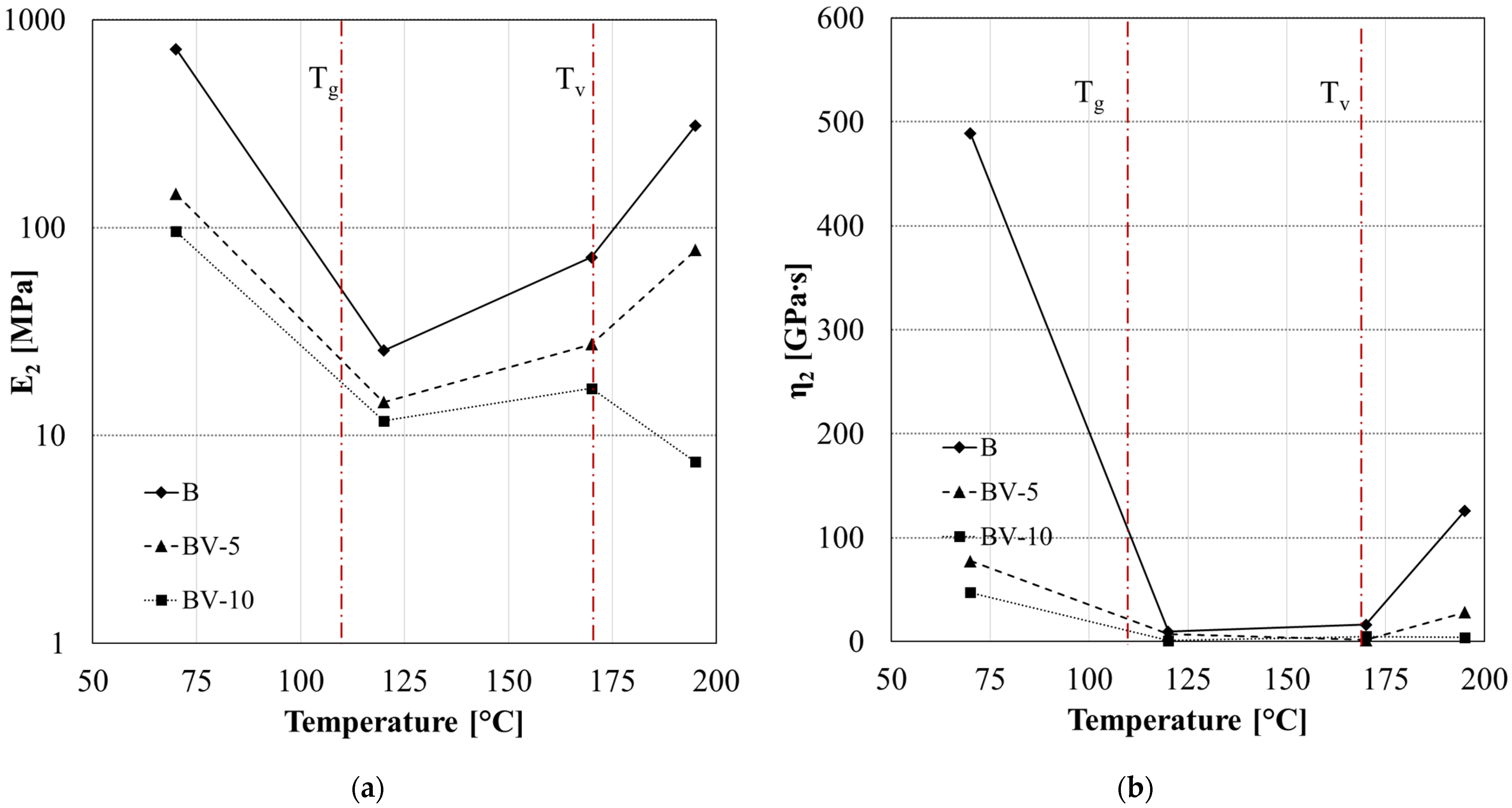
3.3. Isothermal Creep of Zn2+ Epoxy Vitrimers
4. Assessment of the Recyclability and Reshaping (3R Analysis)
4.1. Mechanical Recycling
4.2. Composites Thermoforming
5. Discussion
5.1. Effect of Catalyst Content
- (i)
- T < Tg
- both parameters decrease due to the greater energy absorbed by the active polymer chains, and the viscous slippage of the molecules becomes easier to achieve;
- (ii)
- Tg < T < Tv
- the E2 and η2 increase with the temperature due to the more significant orientation of polymer chains along the creep loading direction, which results in an orientational hardening; and
- (iii)
- T > Tv
- a further reduction of retardancy parameters is observed only in the case of vitrimeric systems (AV-5 and AV-10) due to the molecular flow induced by the transesterification reaction. This effect depends on the amount of zinc acetate content [51].
5.2. Effect of Stoichiometry
6. Conclusions
- The glass transition temperature of the vitrimeric system slightly reduces by 5% and 15% for polymers AV5 and AV10, respectively, compared to A, and increases by 4% and 13% for polymers BV5 and BV10, respectively, compared to B.
- The storage modulus and damping ratio trends with temperature of the vitrimeric systems indicate that at low temperatures, the polymer behaves like a thermoset, whereas at high temperatures, above Tg, the polymer flows resemble the behavior of a thermoplastic polymer.
- Evident creep of samples subjected to tensile load was found at different temperatures. The presence of metallic ions strongly catalyzes the ester-interchange reaction, particularly in the balanced systems (AV5 and AV10).
- The creep analysis according to Burger’s model showed that the elastic and viscous parameters are affected by the epoxy/acyl group and the catalyst content. The highest flow at a high temperature was obtained for the balanced stoichiometric ratio and 10% of zinc acetate due to the higher molecular mobility promoted by transesterification reactions.
- The induced flow at temperatures above Tv enables the recyclability of the polymer and its composites. By applying adequate temperature and pressure to the material, it can be reshaped and reformed, maintaining a similar performance to the pristine material.
Author Contributions
Funding
Institutional Review Board Statement
Data Availability Statement
Acknowledgments
Conflicts of Interest
References
- Guo, Q. Thermosetting Polymer Blends Miscibility, Crystallization, and Related Properties. In Polymer Blends and Alloys; Taylor & Francis Group: New York, NY, USA, 1999; p. 34. ISBN 9780203742921. [Google Scholar]
- Capricho, J.C.; Fox, B.; Hameed, N. Multifunctionality in Epoxy Resins. Polym. Rev. 2020, 60, 1–41. [Google Scholar] [CrossRef]
- Konuray, O.; García, A.; Morancho, J.M.; Fernández-Francos, X.; Serra, À.; Ferrando, F.; García-Alvarez, M.; Ramis, X. Hard Epoxy Thermosets Obtained via Two Sequential Epoxy-Amine Condensations. Eur. Polym. J. 2019, 116, 222–231. [Google Scholar] [CrossRef]
- Utekar, S.; Suriya, V.K.; More, N.; Rao, A. Comprehensive Study of Recycling of Thermosetting Polymer Composites—Driving Force, Challenges and Methods. Compos. Part B Eng. 2021, 207, 108596. [Google Scholar] [CrossRef]
- Dinu, R.; Lafont, U.; Damiano, O.; Mija, A. Development of Sustainable High Performance Epoxy Thermosets for Aerospace and Space Applications. Polymers 2022, 14, 5473. [Google Scholar] [CrossRef]
- Witik, R.A.; Teuscher, R.; Michaud, V.; Ludwig, C.; Månson, J.-A.E. Carbon Fibre Reinforced Composite Waste: An Environmental Assessment of Recycling, Energy Recovery and Landfilling. Compos. Part A Appl. Sci. Manuf. 2013, 49, 89–99. [Google Scholar] [CrossRef]
- Ruiz de Luzuriaga, A.; Martin, R.; Markaide, N.; Rekondo, A.; Cabañero, G.; Rodríguez, J.; Odriozola, I. Epoxy Resin with Exchangeable Disulfide Crosslinks to Obtain Reprocessable, Repairable and Recyclable Fiber-Reinforced Thermoset Composites. Mater. Horizons 2016, 3, 241–247. [Google Scholar] [CrossRef]
- Kumar, S.; Krishnan, S. Recycling of Carbon Fiber with Epoxy Composites by Chemical Recycling for Future Perspective: A Review. Chem. Pap. 2020, 74, 3785–3807. [Google Scholar] [CrossRef]
- Palmieri, B.; Borriello, C.; Rametta, G.; Iovane, P.; Portofino, S.; Tammaro, L.; Galvagno, S.; Giordano, M.; Ambrosio, L.; Martone, A. Investigation on Stress Relaxation of Discontinuous Recycled Carbon Fiber Composites. J. Mater. Eng. Perform. 2023, 32, 3938–3945. [Google Scholar] [CrossRef]
- Prinҫaud, M.; Aymonier, C.; Loppinet-Serani, A.; Perry, N.; Sonnemann, G. Environmental Feasibility of the Recycling of Carbon Fibers from CFRPs by Solvolysis Using Supercritical Water. ACS Sustain. Chem. Eng. 2014, 2, 1498–1502. [Google Scholar]
- Malinauskaite, J.; Spencer, N. Waste Prevention and Technologies in the Context of the EU Waste Framework Directive: Lost in Translation? Eur. Energy Environ. Law Rev. 2017, 26, 66–80. [Google Scholar] [CrossRef]
- Memon, H.; Wei, Y.; Zhu, C. Recyclable and Reformable Epoxy Resins Based on Dynamic Covalent Bonds—Present, Past, and Future. Polym. Test. 2022, 105, 107420. [Google Scholar] [CrossRef]
- Capelot, M.; Unterlass, M.M.; Tournilhac, F.; Leibler, L. Catalytic Control of the Vitrimer Glass Transition. ACS Macro Lett. 2012, 1, 789. [Google Scholar] [CrossRef] [PubMed]
- Imbernon, L.; Norvez, S. From Landfilling to Vitrimer Chemistry in Rubber Life Cycle. Eur. Polym. J. 2016, 82, 347–376. [Google Scholar] [CrossRef]
- Dello Iacono, S.; Martone, A.; Pastore, A.; Filippone, G.; Acierno, D.; Zarrelli, M.; Giordano, M.; Amendola, E. Thermally Activated Multiple Self-Healing Diels-Alder Epoxy System. Polym. Eng. Sci. 2017, 57, 674–679. [Google Scholar] [CrossRef]
- van den Tempel, P.; van der Boon, E.O.; Winkelman, J.G.M.; Krasnikova, A.V.; Parisi, D.; Deuss, P.J.; Picchioni, F.; Bose, R.K. Beyond Diels-Alder: Domino Reactions in Furan-Maleimide Click Networks. Polymer 2023, 274, 125884. [Google Scholar] [CrossRef]
- Zhang, H.; Cui, J.; Hu, G.; Zhang, B. Recycling Strategies for Vitrimers. Int. J. Smart Nano Mater. 2022, 13, 367–390. [Google Scholar] [CrossRef]
- Wang, S.; Fu, D.; Wang, X.; Pu, W.; Martone, A.; Lu, X.; Lavorgna, M.; Wang, Z.; Amendola, E.; Xia, H. High Performance Dynamic Covalent Crosslinked Polyacylsemicarbazide Composites with Self-Healing and Recycling Capabilities. J. Mater. Chem. A 2021, 9, 4055–4065. [Google Scholar] [CrossRef]
- Kuang, X.; Liu, G.; Dong, X.; Wang, D. Triple-Shape Memory Epoxy Based on Diels–Alder Adduct Molecular Switch. Polymer 2016, 84, 1–9. [Google Scholar] [CrossRef]
- Amendola, E.; Palmieri, B.; Dello Iacono, S.; Martone, A. Thermally Mendable Self-Healing Epoxy Coating for Corrosion Protection in Marine Environments. Materials 2023, 16, 1775. [Google Scholar] [CrossRef]
- Turkenburg, D.H.; Fischer, H.R. Diels-Alder Based, Thermo-Reversible Cross-Linked Epoxies for Use in Self-Healing Composites. Polymer 2015, 79, 187–194. [Google Scholar] [CrossRef]
- Fierro, G.-P.M.; Pinto, F.; Dello Iacono, S.; Martone, A.; Amendola, E.; Meo, M. Monitoring of Self-Healing Composites: A Nonlinear Ultrasound Approach. Smart Mater. Struct. 2017, 26, 115015. [Google Scholar] [CrossRef]
- Montarnal, D.; Capelot, M.; Tournilhac, F.; Leibler, L. Silica-like Malleable Materials from Permanent Organic Networks. Science 2011, 334, 965–968. [Google Scholar] [CrossRef] [PubMed]
- Yue, L.; Guo, H.; Kennedy, A.; Patel, A.; Gong, X.; Ju, T.; Gray, T.; Manas-Zloczower, I. Vitrimerization: Converting Thermoset Polymers into Vitrimers. ACS Macro Lett. 2020, 9, 836–842. [Google Scholar] [CrossRef]
- Wang, S.; Ma, S.; Li, Q.; Xu, X.; Wang, B.; Yuan, W.; Zhou, S.; You, S.; Zhu, J. Facile: In Situ Preparation of High-Performance Epoxy Vitrimer from Renewable Resources and Its Application in Nondestructive Recyclable Carbon Fiber Composite. Green Chem. 2019, 21, 1484–1497. [Google Scholar] [CrossRef]
- Denissen, W.; Winne, J.M.; Du Prez, F.E. Vitrimers: Permanent Organic Networks with Glass-like Fluidity. Chem. Sci. 2016, 7, 30–38. [Google Scholar] [CrossRef] [PubMed]
- Capelot, M.; Montarnal, D.; Tournilhac, F.; Leibler, L. Metal-Catalyzed Transesterification for Healing and Assembling of Thermosets. J. Am. Chem. Soc. 2012, 134, 7664–7667. [Google Scholar] [CrossRef]
- Yang, Y.; Xu, Y.; Ji, Y.; Wei, Y. Functional Epoxy Vitrimers and Composites. Prog. Mater. Sci. 2021, 120, 100710. [Google Scholar] [CrossRef]
- Liu, W.; Schmidt, D.F.; Reynaud, E. Catalyst Selection, Creep, and Stress Relaxation in High-Performance Epoxy Vitrimers. Ind. Eng. Chem. Res. 2017, 56, 2667–2672. [Google Scholar] [CrossRef]
- Altuna, F.I.; Hoppe, C.E.; Williams, R.J.J. Epoxy Vitrimers with a Covalently Bonded Tertiary Amine as Catalyst of the Transesterification Reaction. Eur. Polym. J. 2019, 113, 297–304. [Google Scholar] [CrossRef]
- Yue, L.; Amirkhosravi, M.; Gong, X.; Gray, T.G.; Manas-Zloczower, I. Recycling Epoxy by Vitrimerization: Influence of an Initial Thermoset Chemical Structure. ACS Sustain. Chem. Eng. 2020, 8, 12706–12712. [Google Scholar] [CrossRef]
- Yang, Y.; Peng, G.; Wu, S.; Hao, W. A Repairable Anhydride-Epoxy System with High Mechanical Properties Inspired by Vitrimers. Polymer 2018, 159, 162–168. [Google Scholar] [CrossRef]
- Shi, Q.; Yu, K.; Dunn, M.L.; Wang, T.; Qi, H.J. Solvent Assisted Pressure-Free Surface Welding and Reprocessing of Malleable Epoxy Polymers. Macromolecules 2016, 49, 5527–5537. [Google Scholar] [CrossRef]
- Demongeot, A.; Mougnier, S.J.; Okada, S.; Soulié-Ziakovic, C.; Tournilhac, F. Coordination and Catalysis of Zn2+ in Epoxy-Based Vitrimers. Polym. Chem. 2016, 7, 4486–4493. [Google Scholar] [CrossRef]
- Palmieri, B.; Cilento, F.; Martone, A.; Giordano, M.; Amendola, E. Viscoelastic Characterization of Reformable Epoxy Vitrimers Composites. Mater. Res. Proc. 2023, 28, 1871–1878. [Google Scholar] [CrossRef]
- Fang, H.; Ye, W.; Ding, Y.; Winter, H.H. Rheology of the Critical Transition State of an Epoxy Vitrimer. Macromolecules 2020, 53, 4855–4862. [Google Scholar] [CrossRef]
- Khurana, P.; Aggarwal, S.; Narula, A.; Choudhary, V. Studies on the Curing and Thermal Behaviour of DGEBA in the Presence of Bis(4-carboxyphenyl) Dimethyl Silane. Polym. Int. 2003, 52, 908–917. [Google Scholar] [CrossRef]
- Saeedi, I.A.; Andritsch, T.; Vaughan, A.S. On the Dielectric Behavior of Amine and Anhydride Cured Epoxy Resins Modified Using Multi-Terminal Epoxy Functional Network Modifier. Polymers 2019, 11, 1271. [Google Scholar] [CrossRef]
- Jing, F.; Zhao, R.; Li, C.; Xi, Z.; Wang, Q.; Xie, H. Influence of the Epoxy/Acid Stoichiometry on the Cure Behavior and Mechanical Properties of Epoxy Vitrimers. Molecules 2022, 27, 6335. [Google Scholar] [CrossRef]
- Poutrel, Q.-A.; Blaker, J.J.; Soutis, C.; Tournilhac, F.; Gresil, M. Dicarboxylic Acid-Epoxy Vitrimers: Influence of the off-Stoichiometric Acid Content on Cure Reactions and Thermo-Mechanical Properties. Polym. Chem. 2020, 11, 5327–5338. [Google Scholar] [CrossRef]
- Matějka, L.; Lövy, J.; Pokorný, S.; Bouchal, K.; Dušek, K. Curing Epoxy Resins with Anhydrides. Model Reactions and Reaction Mechanism. J. Polym. Sci. Polym. Chem. Ed. 1983, 21, 2873–2885. [Google Scholar] [CrossRef]
- ASTM E1131-08; Standard Test Method for Compositional Analysis by Thermogravimetry. ASTM International: West Conshohocken, PA, USA, 2014. [CrossRef]
- ASTM D3418-21; Standard Test Method for Transition Temperatures and Enthalpies of Fusion and Crystallization of Polymers by Differential Scanning Calorimetry. ASTM International: West Conshohocken, PA, USA, 2021.
- ASTM D790-17; Standard Test Methods for Flexural Properties of Unreinforced and Reinforced Plastics and Electrical Insulating Materials. ASTM International: West Conshohocken, PA, USA, 2017.
- ASTM D638-14; Standard Test Method for Tensile Properties of Plastics. ASTM International: West Conshohocken, PA, USA, 2014. [CrossRef]
- Vithal Ghule, A.; Lo, B.; Tzing, S.-H.; Ghule, K.; Chang, H.; Chien Ling, Y. Simultaneous Thermogravimetric Analysis and in Situ Thermo-Raman Spectroscopic Investigation of Thermal Decomposition of Zinc Acetate Dihydrate Forming Zinc Oxide Nanoparticles. Chem. Phys. Lett. 2003, 381, 262–270. [Google Scholar] [CrossRef]
- Di Mauro, C.; Malburet, S.; Graillot, A.; Mija, A. Recyclable, Repairable, and Reshapable (3R) Thermoset Materials with Shape Memory Properties from Bio-Based Epoxidized Vegetable Oils. ACS Appl. Bio Mater. 2020, 3, 8094–8104. [Google Scholar] [CrossRef] [PubMed]
- Chekanov, Y.; Arrington, D.; Brust, G.; Pojman, J.A. Frontal Curing of Epoxy Resins: Comparison of Mechanical and Thermal Properties to Batch-Cured Materials. J. Appl. Polym. Sci. 1997, 66, 1209–1216. [Google Scholar] [CrossRef]
- Suslick, B.A.; Hemmer, J.; Groce, B.R.; Stawiasz, K.J.; Geubelle, P.H.; Malucelli, G.; Mariani, A.; Moore, J.S.; Pojman, J.A.; Sottos, N.R. Frontal Polymerizations: From Chemical Perspectives to Macroscopic Properties and Applications. Chem. Rev. 2023, 123, 3237–3298. [Google Scholar] [CrossRef]
- Ward, I.M.; Sweeney, J. Mechanical Properties of Solid Polymers; Wiley: Hoboken, NJ, USA, 2012; ISBN 9781444319507. [Google Scholar]
- Lorandi, N.P.; Cioffi, M.O.H.; Shigue, C.; Ornaghi, H.L., Jr. On the Creep Behavior of Carbon/Epoxy Non-Crimp Fabric Composites. Mater. Res. 2018, 21, e20170768. [Google Scholar] [CrossRef]
- Yu, K.; Taynton, P.; Zhang, W.; Dunn, M.L.; Qi, H.J. Influence of Stoichiometry on the Glass Transition and Bond Exchange Reactions in Epoxy Thermoset Polymers. RSC Adv. 2014, 4, 48682–48690. [Google Scholar] [CrossRef]
- Martone, A.; Grassia, L.; Zarrelli, M.; Giordano, M.; D’Amore, A. Enthalpy Relaxation of an Epoxy Matrix/Carbon Nanotubes. AIP Conf. Proc. 2012, 1459, 347–349. [Google Scholar] [CrossRef]
- Fadlurrahman, Z.; Alandro, D.; Santos, G.N.C.; Muflikhun, M.A. Mechanical and Chemical Properties of Matrix Composite: Curing Agent Ratio, Degassing Process, and Filler Effect Perspectives. J. Eng. Res. 2023, 100120. [Google Scholar] [CrossRef]

















| Sample Codex | LY 3508 [phr] | Aradur 917-1 [phr] | 960-1 acc. [phr] | Epoxy/Acyl Ratio, r [-] | ZnAc2 * [%] |
|---|---|---|---|---|---|
| A | 100 | 40 | 3 | 1.0 | 0 |
| AV-5 | 100 | 40 | 3 | 1.0 | 5 |
| AV-10 | 100 | 40 | 3 | 1.0 | 10 |
| B | 100 | 70 | 3 | 0.6 | 0 |
| BV-5 | 100 | 70 | 3 | 0.6 | 5 |
| BV-10 | 100 | 70 | 3 | 0.6 | 10 |
| Description | T @ 10% Decomposition [°C] | T @ Maximum Decomposition [°C] | Char Yield @800 °C [wt%] | Tg, DSC [°C] | Reaction Enthalpy [J/g] | Tpeak [°C] |
|---|---|---|---|---|---|---|
| A | 369 | 410 | 7.04 | 111.2 | 216.6 ± 1.2 | 130 ± 5 |
| AV-5 | 333 | 405 | 13.13 | 105.1 | 242.5 ± 1.6 | 140 ± 1 |
| AV-10 | 325 | 402 | 15.15 | 94.3 | 270.3 ± 2.0 | 139 ± 2 |
| B | 371 | 416 | 5.44 | 111.5 | 282.7 ± 1.1 | 137 ± 4 |
| BV-5 | 337 | 413 | 12.55 | 115.6 | 287.5 ± 1.9 | 150 ± 5 |
| BV-10 | 341 | 414 | 13.98 | 126.3 | 280.2 ± 2.6 | 145 ± 3 |
| Elastic Modulus [MPa] | Ultimate Strain [mm/mm] | Ultimate Stress [MPa] | |
|---|---|---|---|
| A | 2704 ± 5 | 0.028 ± 0.002 | 68.3 ± 0.7 |
| AV-5 | 2596 ± 8 | 0.027 ± 0.003 | 61.5 ± 0.6 |
| AV-10 | 2087 ± 7 | 0.024 ± 0.005 | 57.2 ± 0.5 |
| B | 3059 ± 11 | 0.036 ± 0.004 | 83.2 ± 1.0 |
| BV-5 | 2998 ± 6 | 0.027 ± 0.004 | 74.2 ± 0.7 |
| BV-10 | 3018 ± 5 | 0.020 ± 0.003 | 58.5 ± 0.6 |
| @35 °C | @170 °C | ||||||
|---|---|---|---|---|---|---|---|
| Tg, DMA [°C] | E″ [Mpa] | E″ [Mpa] | Tanδ [-] | E′ [Mpa] | E″ [Mpa] | Tanδ [-] | |
| A | 105.6 ± 1.1 | 1899 ± 33 | 22.1 ± 0.3 | 0.0116 ± 0.0002 | 5.14 | 0.02 | 0.004 |
| AV-5 | 108.8 ± 0.9 | 2221 ± 56 | 28.5 ± 0.5 | 0.0128 ± 0.0001 | 12.08 | 1.43 | 0.118 |
| AV-10 | 101.0 ± 0.7 | 2484 ± 47 | 33.4 ± 0.3 | 0.0135 ± 0.0003 | 11.89 | 3.08 | 0.259 |
| B | 117.3 ± 0.8 | 1867 ± 29 | 26.7 ± 0.2 | 0.0143 ± 0.0003 | 9.20 | 0.02 | 0.002 |
| BV-5 | 119.1 ± 1.5 | 2369 ± 21 | 31.5 ± 0.4 | 0.0133 ± 0.0004 | 10.88 | 1.61 | 0.148 |
| BV-10 | 113.6 ± 0.6 | 2698 ± 37 | 30.7 ± 0.1 | 0.0114 ± 0.0002 | 6.70 | 3.48 | 0.518 |
Disclaimer/Publisher’s Note: The statements, opinions and data contained in all publications are solely those of the individual author(s) and contributor(s) and not of MDPI and/or the editor(s). MDPI and/or the editor(s) disclaim responsibility for any injury to people or property resulting from any ideas, methods, instructions or products referred to in the content. |
© 2023 by the authors. Licensee MDPI, Basel, Switzerland. This article is an open access article distributed under the terms and conditions of the Creative Commons Attribution (CC BY) license (https://creativecommons.org/licenses/by/4.0/).
Share and Cite
Palmieri, B.; Cilento, F.; Amendola, E.; Valente, T.; Dello Iacono, S.; Giordano, M.; Martone, A. Influence of Catalyst Content and Epoxy/Carboxylate Ratio on Isothermal Creep of Epoxy Vitrimers. Polymers 2023, 15, 3845. https://doi.org/10.3390/polym15183845
Palmieri B, Cilento F, Amendola E, Valente T, Dello Iacono S, Giordano M, Martone A. Influence of Catalyst Content and Epoxy/Carboxylate Ratio on Isothermal Creep of Epoxy Vitrimers. Polymers. 2023; 15(18):3845. https://doi.org/10.3390/polym15183845
Chicago/Turabian StylePalmieri, Barbara, Fabrizia Cilento, Eugenio Amendola, Teodoro Valente, Stefania Dello Iacono, Michele Giordano, and Alfonso Martone. 2023. "Influence of Catalyst Content and Epoxy/Carboxylate Ratio on Isothermal Creep of Epoxy Vitrimers" Polymers 15, no. 18: 3845. https://doi.org/10.3390/polym15183845
APA StylePalmieri, B., Cilento, F., Amendola, E., Valente, T., Dello Iacono, S., Giordano, M., & Martone, A. (2023). Influence of Catalyst Content and Epoxy/Carboxylate Ratio on Isothermal Creep of Epoxy Vitrimers. Polymers, 15(18), 3845. https://doi.org/10.3390/polym15183845

