A Molecular Dynamics Study of Single-Gas and Mixed-Gas N2 and CH4 Transport in Triptycene-Based Polyimide Membranes
Abstract
:1. Introduction
2. Modelling the Pure Triptycene-Based 6FDA-Polyimides
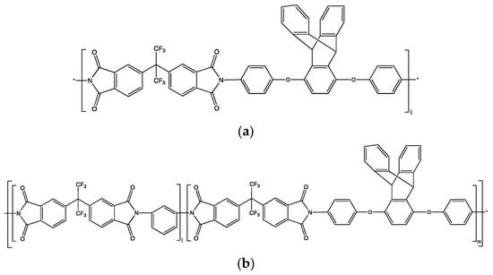
2.1. Preparation of the Amorphous Polyimide and Copolyimide Models
2.2. Densities and Void-Space Analyses of the Pure Polyimide Models
3. Modelling Gas Sorption and Diffusion in the Polyimide Matrices
3.1. MD Simulations of N2 and CH4 in the Pure-Gas Phase
3.2. Single-Gas Uptakes in the Polyimides
3.3. Binary-Gas Uptakes in the Polyimides
3.4. Diffusion Coefficients in the Polyimides
4. Results and Discussion
4.1. Single-Gas Sorption of N2 and CH4 in the Triptycene-Based Polyimides
4.2. Volume Dilations upon Single-Gas Sorption
4.3. Binary-Gas Sorption of a 2:1 CH4/N2 Mixture in the Triptycene-Based Polyimides
4.4. Single-Gas vs. 2:1 Binary-Gas CH4/N2 Gas Diffusivities, Permeabilities, and Permselectivities in the Triptycene-Based Polyimides
5. Conclusions
Supplementary Materials
Author Contributions
Funding
Institutional Review Board Statement
Data Availability Statement
Acknowledgments
Conflicts of Interest
References
- Zhang, Z.; Fuoco, A.; He, G. Membranes for Gas Separation. Membranes 2021, 11, 755. [Google Scholar] [CrossRef] [PubMed]
- Sridhar, S.; Smitha, B.; Aminabhavi, T.M. Separation of Carbon Dioxide from Natural Gas Mixtures through Polymeric Membranes—A Review. Sep. Purif. Rev. 2007, 36, 113–174. [Google Scholar] [CrossRef]
- Baker, R.W. Future Directions of Membrane Gas Separation Technology. Ind. Eng. Chem. Res. 2002, 41, 1393–1411. [Google Scholar] [CrossRef]
- Sholl, D.S.; Lively, R.P. Seven chemical separations to change the world. Nature 2016, 532, 435–437. [Google Scholar] [CrossRef] [PubMed]
- Figoli, A.; Simone, S. Membranes for sustainable food packaging. Membr. Process. Sustain. Growth 2013, 101–119. [Google Scholar]
- Korpyś, M.; Wójcik, J.; Synowiec, P. Methods for sweetening natural and shale gas. Chem. Sci. Tech. Mark. 2014, 68, 213–215. [Google Scholar]
- Sanaeepur, H.; Ebadi Amooghin, A.; Bandehali, S.; Moghadassi, A.; Matsuura, T.; Van der Bruggen, B. Polyimides in membrane gas separation: Monomer’s molecular design and structural engineering. Prog. Polym. Sci. 2019, 91, 80–125. [Google Scholar] [CrossRef]
- Maier, G. Gas Separation by Polymer Membranes: Beyond the Border. Angew. Chem. Int. Ed. 2013, 52, 4982–4984. [Google Scholar] [CrossRef]
- Siagian, U.W.R.; Raksajati, A.; Himma, N.F.; Khoiruddin, K.; Wenten, I.G. Membrane-based carbon capture technologies: Membrane gas separation vs. membrane contactor. J. Nat. Gas Sci. Eng. 2019, 67, 172–195. [Google Scholar] [CrossRef]
- Castel, C.; Bounaceur, R.; Favre, E. Engineering of Membrane Gas Separation Processes: State of The Art and Prospects. J. Membr. Sci. Res. 2020, 6, 295–303. [Google Scholar] [CrossRef]
- Sidhikku Kandath Valappil, R.; Ghasem, N.; Al-Marzouqi, M. Current and future trends in polymer membrane-based gas separation technology: A comprehensive review. J. Ind. Eng. Chem. 2021, 98, 103–129. [Google Scholar] [CrossRef]
- Iulianelli, A.; Drioli, E. Membrane engineering: Latest advancements in gas separation and pre-treatment processes, petrochemical industry and refinery, and future perspectives in emerging applications. Fuel Process. Technol. 2020, 206, 106464. [Google Scholar] [CrossRef]
- Chen, X.Y.; Vinh-Thang, H.; Ramirez, A.A.; Rodrigue, D.; Kaliaguine, S. Membrane gas separation technologies for biogas upgrading. RSC Adv. 2015, 5, 24399–24448. [Google Scholar] [CrossRef]
- Lasseuguette, E.; Comesaña-Gándara, B. Polymer Membranes for Gas Separation. Membranes 2022, 12, 207. [Google Scholar] [CrossRef] [PubMed]
- Liang, C.Z.; Chung, T.-S.; Lai, J.-Y. A review of polymeric composite membranes for gas separation and energy production. Prog. Polym. Sci. 2019, 97, 101141. [Google Scholar] [CrossRef]
- Lai, H.; Benedetti, F.M.; Ahn, J.; Robinson, A.; Wang, Y.; Pinnau, I.; Smith, Z.; Xia, Y. Hydrocarbon ladder polymers with ultrahigh permselectivity for membrane gas separations. Science 2022, 375, 1390–1392. [Google Scholar] [CrossRef] [PubMed]
- Yang, J.; Tao, L.; He, J.; McCutcheon, J.R.; Li, Y. Machine learning enables interpretable discovery of innovative polymers for gas separation membranes. Sci. Adv. 2022, 8, eabn9545. [Google Scholar] [CrossRef]
- Chen, G.; Shen, Z.; Iyer, A.; Ghumman, U.F.; Tang, S.; Bi, J.; Chen, W.; Li, Y. Machine-Learning-Assisted De Novo Design of Organic Molecules and Polymers: Opportunities and Challenges. Polymers 2020, 12, 163. [Google Scholar] [CrossRef]
- Audus, D.J.; de Pablo, J.J. Polymer Informatics: Opportunities and Challenges. ACS Macro Lett. 2017, 6, 1078–1082. [Google Scholar] [CrossRef]
- Wang, J.; Tian, K.; Li, D.; Chen, M.; Feng, X.; Zhang, Y.; Wang, Y.; Van der Bruggen, B. Machine learning in gas separation membrane developing: Ready for prime time. Sep. Purif. Technol. 2023, 313, 123493. [Google Scholar] [CrossRef]
- Tayyebi, A.; Alshami, A.S.; Yu, X.; Kolodka, E. Can machine learning methods guide gas separation membranes fabrication? J. Membr. Sci. Lett. 2022, 2, 100033. [Google Scholar] [CrossRef]
- Madaeni, S.S.; Hasankiadeh, N.T.; Kurdian, A.R.; Rahimpour, A. Modeling and optimization of membrane fabrication using artificial neural network and genetic algorithm. Sep. Purif. Technol. 2010, 76, 33–43. [Google Scholar] [CrossRef]
- Rall, D.; Schweidtmann, A.M.; Aumeier, B.M.; Kamp, J.; Karwe, J.; Ostendorf, K.; Mitsos, A.; Wessling, M. Simultaneous rational design of ion separation membranes and processes. J. Membr. Sci. 2020, 600, 117860. [Google Scholar] [CrossRef]
- Rufford, T.E.; Smart, S.; Watson, G.C.Y.; Graham, B.F.; Boxall, J.; Diniz da Costa, J.C.; May, E.F. The removal of CO2 and N2 from natural gas: A review of conventional and emerging process technologies. J. Pet. Sci. Eng. 2012, 94–95, 123–154. [Google Scholar] [CrossRef]
- Baker, R.W.; Lokhandwala, K. Natural Gas Processing with Membranes: An Overview. Ind. Eng. Chem. Res. 2008, 47, 2109–2121. [Google Scholar] [CrossRef]
- Butwell, K.F.; Dolan, W.B.D.; Kuznicki, S.M. Selective Removal of Nitrogen from Natural Gas by Pressure Swing Adsorption. US Patent US6444012B1, 3 September 2002. [Google Scholar]
- Robeson, L.M.; Freeman, B.D.; Paul, D.R.; Rowe, B.W. An empirical correlation of gas permeability and permselectivity in polymers and its theoretical basis. J. Membr. Sci. 2009, 341, 178–185. [Google Scholar] [CrossRef]
- Robeson, L.M. The upper bound revisited. J. Membr. Sci. 2008, 320, 390–400. [Google Scholar] [CrossRef]
- Murali, R.S.; Sankarshana, T.; Sridhar, S. Air Separation by Polymer-based Membrane Technology. Sep. Purif. Rev. 2013, 42, 130–186. [Google Scholar] [CrossRef]
- Edens, S.J.; McGrath, M.J.; Guo, S.; Du, Z.; Zhou, H.; Zhong, L.; Shi, Z.; Wan, J.; Bennett, T.D.; Qiao, A.; et al. An Upper Bound Visualization of Design Trade-Offs in Adsorbent Materials for Gas Separations: CO2, N2, CH4, H2, O2, Xe, Kr, and Ar Adsorbents. Adv. Sci. 2023, 10, 2206437. [Google Scholar] [CrossRef]
- Wijmans, J.G.; Baker, R.W. The solution-diffusion model: A review. J. Membr. Sci. 1995, 107, 1–21. [Google Scholar] [CrossRef]
- Wijmans, J.G.; Baker, R.W. The Solution-Diffusion Model: A Unified Approach to Membrane Permeation. In Materials Science of Membranes for Gas and Vapor Separation; Yampolskii, Y., Pinnau, I., Freeman, B., Eds.; John Wiley & Sons, Ltd.: Hoboken, NJ, USA, 2006; pp. 159–189. [Google Scholar]
- Sanders, D.F.; Smith, Z.P.; Guo, R.; Robeson, L.M.; McGrath, J.E.; Paul, D.R.; Freeman, B.D. Energy-efficient polymeric gas separation membranes for a sustainable future: A review. Polymer 2013, 54, 4729–4761. [Google Scholar] [CrossRef]
- Xu, S.; Ren, X.; Zhao, N.; Wu, L.; Zhang, Z.; Fan, Y.; Li, N. Self-crosslinking of bromomethylated 6FDA-DAM polyimide for gas separations. J. Membr. Sci. 2021, 636, 119534. [Google Scholar] [CrossRef]
- Xu, Z.; Croft, Z.L.; Guo, D.; Cao, K.; Liu, G. Recent development of polyimides: Synthesis, processing, and application in gas separation. J. Polym. Sci. 2021, 59, 943–962. [Google Scholar] [CrossRef]
- Ghosh, M.K.; Mittal, K.L. Polyimides: Fundamentals and Applications; Marcel Dekker, Inc.: New York, NY, USA, 1996. [Google Scholar]
- Kim, T.H.; Koros, W.J.; Husk, G.R.; O’Brien, K.C. Relationship between gas separation properties and chemical structure in a series of aromatic polyimides. J. Membr. Sci. 1988, 37, 45–62. [Google Scholar] [CrossRef]
- White, L.S.; Blinka, T.A.; Kloczewski, H.A.; Wang, I.f. Properties of a polyimide gas separation membrane in natural gas streams. J. Membr. Sci. 1995, 103, 73–82. [Google Scholar] [CrossRef]
- Weidman, J.R. Triptycene as an Architectural Motif in the Macromolecular Design of Polyimides for Gas Separation Membranes. Ph.D. Thesis, University of Notre Dame, Notre Dame, IN, USA, 2018. [Google Scholar]
- Wiegand, J.R.; Smith, Z.P.; Liu, Q.; Patterson, C.T.; Freeman, B.D.; Guo, R. Synthesis and characterization of triptycene-based polyimides with tunable high fractional free volume for gas separation membranes. J. Mater. Chem. A 2014, 2, 13309–13320. [Google Scholar] [CrossRef]
- Sydlik, S.A.; Chen, Z.; Swager, T.M. Triptycene Polyimides: Soluble Polymers with High Thermal Stability and Low Refractive Indices. Macromolecules 2011, 44, 976–980. [Google Scholar] [CrossRef]
- Swaidan, R.J.; Ghanem, B.; Swaidan, R.; Litwiller, E.; Pinnau, I. Pure- and mixed-gas propylene/propane permeation properties of spiro- and triptycene-based microporous polyimides. J. Membr. Sci. 2015, 492, 116–122. [Google Scholar] [CrossRef]
- Ghanem, B.S.; Swaidan, R.; Litwiller, E.; Pinnau, I. Ultra-Microporous Triptycene-based Polyimide Membranes for High-Performance Gas Separation. Adv. Mater. 2014, 26, 3688–3692. [Google Scholar] [CrossRef]
- Luo, S.; Wiegand, J.R.; Kazanowska, B.; Doherty, C.M.; Konstas, K.; Hill, A.J.; Guo, R. Finely Tuning the Free Volume Architecture in Iptycene-Containing Polyimides for Highly Selective and Fast Hydrogen Transport. Macromolecules 2016, 49, 3395–3405. [Google Scholar] [CrossRef]
- Hsiao, S.-H.; Wang, H.-M.; Chen, W.-J.; Lee, T.-M.; Leu, C.-M. Synthesis and properties of novel triptycene-based polyimides. J. Polym. Sci. Part A Polym. Chem. 2011, 49, 3109–3120. [Google Scholar] [CrossRef]
- Hsiao, S.-H.; Guo, W.; Tsai, T.-H.; Chiu, Y.-T. Synthesis of soluble and thermally stable triptycene-based poly(amide-imide)s. J. Polym. Res. 2014, 21, 391. [Google Scholar] [CrossRef]
- Cho, Y.J.; Park, H.B. High Performance Polyimide with High Internal Free Volume Elements. Macromol. Rapid Commun. 2011, 32, 579–586. [Google Scholar] [CrossRef] [PubMed]
- Weidman, J.R.; Luo, S.; Doherty, C.M.; Hill, A.J.; Gao, P.; Guo, R. Analysis of governing factors controlling gas transport through fresh and aged triptycene-based polyimide films. J. Membr. Sci. 2017, 522, 12–22. [Google Scholar] [CrossRef]
- Luo, S.; Liu, J.; Lin, H.; Kazanowska, B.A.; Hunckler, M.D.; Roeder, R.K.; Guo, R. Preparation and gas transport properties of triptycene-containing polybenzoxazole (PBO)-based polymers derived from thermal rearrangement (TR) and thermal cyclodehydration (TC) processes. J. Mater. Chem. A 2016, 4, 17050–17062. [Google Scholar] [CrossRef]
- Loianno, V.; Zhang, Q.; Luo, S.; Guo, R.; Galizia, M. Modeling Gas and Vapor Sorption and Swelling in Triptycene-Based Polybenzoxazole: Evidence for Entropy-Driven Sorption Behavior. Macromolecules 2019, 52, 4385–4395. [Google Scholar] [CrossRef]
- Chen, Y.-R.; Chen, L.-H.; Chang, K.-S.; Chen, T.-H.; Lin, Y.-F.; Tung, K.-L. Structural characteristics and transport behavior of triptycene-based PIMs membranes: A combination study using ab initio calculation and molecular simulations. J. Membr. Sci. 2016, 514, 114–124. [Google Scholar] [CrossRef]
- Ghasemnejad-Afshar, E.; Amjad-Iranagh, S.; Zarif, M.; Modarress, H. Effect of side branch on gas separation performance of triptycene based PIM membrane: A molecular simulation study. Polym. Test. 2020, 83, 106339. [Google Scholar] [CrossRef]
- Balcik, M.; Wang, Y.; Pinnau, I. Exploring the effect of intra-chain rigidity on mixed-gas separation performance of a Triptycene-Tröger’s base ladder polymer (PIM-Trip-TB) by atomistic simulations. J. Membr. Sci. 2023, 677, 121614. [Google Scholar] [CrossRef]
- Heck, R.; Qahtani, M.S.; Yahaya, G.O.; Tanis, I.; Brown, D.; Bahamdan, A.A.; Ameen, A.W.; Vaidya, M.M.; Ballaguet, J.P.R.; Alhajry, R.H.; et al. Block copolyimide membranes for pure- and mixed-gas separation. Sep. Purif. Technol. 2017, 173, 183–192. [Google Scholar] [CrossRef]
- Wang, L.; Cao, Y.; Zhou, M.; Ding, X.; Liu, Q.; Yuan, Q. The gas permeation properties of 6FDA-2, 4, 6-trimethyl-1, 3-phenylenediamine (TMPDA)/1, 3-phenylenediamine (mPDA) copolyimides. Polym. Bull. 2008, 60, 137–147. [Google Scholar] [CrossRef]
- Tanis, I.; Brown, D.; Neyertz, S.; Heck, R.; Mercier, R.; Vaidya, M.; Ballaguet, J.-P. A comparison of pure and mixed-gas permeation of nitrogen and methane in 6FDA-based polyimides as studied by molecular dynamics simulations. Comput. Mater. Sci. 2018, 141, 243–253. [Google Scholar] [CrossRef]
- O’Brien, K.C.; Koros, W.J.; Barbari, T.A.; Sanders, E.S. A new technique for the measurement of multicomponent gas transport through polymeric films. J. Membr. Sci. 1986, 29, 229–238. [Google Scholar] [CrossRef]
- Yampolskii, Y.P.; Pinnau, I.; Freeman, B.D. Materials Science of Membranes for Gas and Vapour Separation; John Wiley & Sons Ltd.: Hoboken, NJ, USA, 2006. [Google Scholar]
- Tanis, I.; Brown, D.; Neyertz, S.; Vaidya, M.; Ballaguet, J.-P.; Duval, S.; Bahamdan, A. Single-gas and mixed-gas permeation of N2/CH4 in thermally-rearranged TR-PBO membranes and their 6FDA-bisAPAF polyimide precursor studied by molecular dynamics simulations. Phys. Chem. Chem. Phys. 2022, 24, 18667–18683. [Google Scholar] [CrossRef] [PubMed]
- Brown, D. The gmq User Manual Version 6. 2021. Available online: http://www.lmops.univ-savoie.fr/brown/gmq.html (accessed on 10 April 2023).
- Neyertz, S.; Douanne, A.; Brown, D. Effect of Interfacial Structure on Permeation Properties of Glassy Polymers. Macromolecules 2005, 38, 10286–10298. [Google Scholar] [CrossRef]
- Tanis, I.; Brown, D.; Neyertz, S.J.; Heck, R.; Mercier, R. A comparison of homopolymer and block copolymer structure in 6FDA-based polyimides. Phys. Chem. Chem. Phys. 2014, 16, 23044–23055. [Google Scholar] [CrossRef] [PubMed]
- Neyertz, S.; Brown, D. Preparation of bulk melt chain configurations of polycyclic polymers. J. Chem. Phys. 2001, 115, 708–717. [Google Scholar] [CrossRef]
- Neyertz, S.; Brown, D.; Clarke, J.H.R. The local energy approximation and the predictability of chain configurations in polymer melts. J. Chem. Phys. 1996, 105, 2076–2088. [Google Scholar] [CrossRef]
- Neyertz, S. Tutorial: Molecular Dynamics Simulations of Microstructure and Transport Phenomena in Glassy Polymers. Soft Mater. 2007, 4, 15–83. [Google Scholar] [CrossRef]
- Ciccotti, G.; Ferrario, M.; Ryckaert, J.P. Molecular dynamics of rigid systems in cartesian coordinates A general formulation. Mol. Phys. 1982, 47, 1253–1264. [Google Scholar] [CrossRef]
- Clark, M.; Cramer, R.D.; Van Opdenbosch, N. Validation of the general purpose tripos 5.2 force field. J. Comput. Chem. 1989, 10, 982–1012. [Google Scholar] [CrossRef]
- Frisch, M.J.T.; Trucks, G.W.; Schlegel, H.B.; Scuseria, G.E.; Robb, M.A.; Cheeseman, J.R.; Montgomery, J.A., Jr.; Vreven, T.; Kudin, K.N.; Burant, J.C.; et al. Gaussian, Inc. Available online: www.gaussian.com (accessed on 5 April 2023).
- Ewald, P.P. Die Berechnung optischer und elektrostatischer Gitterpotentiale. Ann. Phys. 1921, 369, 253–287. [Google Scholar] [CrossRef]
- Berendsen, H.J.C.; Postma, J.P.M.; van Gunsteren, W.F.; DiNola, A.; Haak, J.R. Molecular dynamics with coupling to an external bath. J. Chem. Phys. 1984, 81, 3684–3690. [Google Scholar] [CrossRef]
- Brown, D.; Neyertz, S. A general pressure tensor calculation for molecular dynamics simulations. Mol. Phys. 1995, 84, 577–595. [Google Scholar] [CrossRef]
- Cheng, S.-X.; Chung, T.-S.; Wang, R.; Vora, R.H. Gas-sorption properties of 6FDA–durene/1,4-phenylenediamine (pPDA) and 6FDA–durene/1,3-phenylenediamine (mPDA) copolyimides. J. Appl. Polym. Sci. 2003, 90, 2187–2193. [Google Scholar] [CrossRef]
- Han, S.H.; Misdan, N.; Kim, S.; Doherty, C.M.; Hill, A.J.; Lee, Y.M. Thermally Rearranged (TR) Polybenzoxazole: Effects of Diverse Imidization Routes on Physical Properties and Gas Transport Behaviors. Macromolecules 2010, 43, 7657–7667. [Google Scholar] [CrossRef]
- Boyd, R.H.; Pant, P.V.K. Simulation of glassy polymethylene starting from the equilibrated liquid. Macromolecules 1991, 24, 4078–4083. [Google Scholar] [CrossRef]
- Pant, P.V.K.; Boyd, R.H. Molecular-dynamics simulation of diffusion of small penetrants in polymers. Macromolecules 1993, 26, 679–686. [Google Scholar] [CrossRef]
- Van Krevelen, D.W. Properties of Polymers; Elsevier Science: Amsterdam, The Netherlands, 1997. [Google Scholar]
- Bondi, A. van der Waals Volumes and Radii. J. Phys. Chem. 1964, 68, 441–451. [Google Scholar] [CrossRef]
- Vrabec, J.; Stoll, J.; Hasse, H. A Set of Molecular Models for Symmetric Quadrupolar Fluids. J. Phys. Chem. B 2001, 105, 12126–12133. [Google Scholar] [CrossRef]
- Yin, D.; MacKerell, A.D. Combined ab initio/empirical approach for optimization of Lennard–Jones parameters. J. Comput. Chem. 1998, 19, 334–348. [Google Scholar] [CrossRef]
- Lemmon, E.W.; McLinden, M.O.; Friend, D.G. Thermophysical Properties of Fluid Systems. In NIST Chemistry WebBook, NIST Standard Reference Database Number 69; Linstrom, P.J., Mallard, W.G., Eds.; U.S Department of Commerce: Washington, DC, USA, 2021. [Google Scholar]
- Frenkel, D.; Smit, B. Understanding Molecular Simulation, Second Edition: From Algorithms to Applications (Computational Science); Academic Press: Cambridge, MA, USA, 2001. [Google Scholar]
- Van der Vegt, N.F.A.; Briels, W.J.; Wessling, M.; Strathmann, H. The sorption induced glass transition in amorphous glassy polymers. J. Chem. Phys. 1999, 110, 11061–11069. [Google Scholar] [CrossRef]
- Ben-Naim, A.; Marcus, Y. Solvation thermodynamics of nonionic solutes. J. Chem. Phys. 1984, 81, 2016–2027. [Google Scholar] [CrossRef]
- Cuthbert, T.R.; Wagner, N.J.; Paulaitis, M.E. Molecular Simulation of Glassy Polystyrene: Size Effects on Gas Solubilities. Macromolecules 1997, 30, 3058–3065. [Google Scholar] [CrossRef]
- Dömötör, G.; Hentschke, R. Atomistically Modeling the Chemical Potential of Small Molecules in Dense Systems. J. Phys. Chem. B 2004, 108, 2413–2417. [Google Scholar] [CrossRef]
- Tamai, Y.; Tanaka, H.; Nakanishi, K. Molecular Simulation of Permeation of Small Penetrants through Membranes. 2. Solubilities. Macromolecules 1995, 28, 2544–2554. [Google Scholar] [CrossRef]
- Humphrey, W.; Dalke, A.; Schulten, K. VMD—Visual Molecular Dynamics. J. Molec. Graph. 1996, 14, 33–38. [Google Scholar] [CrossRef]
- Böhning, M.; Springer, J. Sorptive dilation and relaxational processes in glassy polymer/gas systems—I. Poly(sulfone) and poly(ether sulfone). Polymer 1998, 39, 5183–5195. [Google Scholar] [CrossRef]
- Ismail, A.F.; Lorna, W. Penetrant-induced plasticization phenomenon in glassy polymers for gas separation membrane. Sep. Purif. Technol. 2002, 27, 173–194. [Google Scholar] [CrossRef]
- Pandiyan, S.; Brown, D.; Neyertz, S.; van der Vegt, N.F.A. Carbon Dioxide Solubility in Three Fluorinated Polyimides Studied by Molecular Dynamics Simulations. Macromolecules 2010, 43, 2605–2621. [Google Scholar] [CrossRef]
- Kirchheim, R. Sorption and partial molar volume of small molecules in glassy polymers. Macromolecules 1992, 25, 6952–6960. [Google Scholar] [CrossRef]
- Neyertz, S.; Brown, D. The effect of structural isomerism on carbon dioxide sorption and plasticization at the interface of a glassy polymer membrane. J. Membr. Sci. 2014, 460, 213–228. [Google Scholar] [CrossRef]
- Neyertz, S.; Brown, D.; Pandiyan, S.; van der Vegt, N.F.A. Carbon Dioxide Diffusion and Plasticization in Fluorinated Polyimides. Macromolecules 2010, 43, 7813–7827. [Google Scholar] [CrossRef]
- Pope, D.S.; Fleming, G.K.; Koros, W.J. Effect of various exposure histories on sorption and dilation in a family of polycarbonates. Macromolecules 1990, 23, 2988–2994. [Google Scholar] [CrossRef]
- De Angelis, M.G.; Merkel, T.C.; Bondar, V.I.; Freeman, B.D.; Doghieri, F.; Sarti, G.C. Gas Sorption and Dilation in Poly(2,2-bistrifluoromethyl-4,5-difluoro-1,3-dioxole-co-tetrafluoroethylene): Comparison of Experimental Data with Predictions of the Nonequilibrium Lattice Fluid Model. Macromolecules 2002, 35, 1276–1288. [Google Scholar] [CrossRef]
- Neyertz, S.; Brown, D. Single- and mixed-gas sorption in large-scale molecular models of glassy bulk polymers. Competitive sorption of a binary CH4/N2 and a ternary CH4/N2/CO2 mixture in a polyimide membrane. J. Membr. Sci. 2020, 614, 118478. [Google Scholar] [CrossRef]
- Koros, W.J.; Chern, R.T.; Stannett, V.; Hopfenberg, H.B. A model for permeation of mixed gases and vapors in glassy polymers. J. Polym. Sci. Polym. Phys. Ed. 1981, 19, 1513–1530. [Google Scholar] [CrossRef]
- Koros, W.J. Model for sorption of mixed gases in glassy polymers. J. Polym. Sci. Polym. Phys. Ed. 1980, 18, 981–992. [Google Scholar] [CrossRef]
- Antonson, C.R.; Gardner, R.J.; King, C.F.; Ko, D.Y. Analysis of Gas Separation by Permeation in Hollow Fibers. Ind. Eng. Chem. Process. 1977, 16, 463–469. [Google Scholar] [CrossRef]








| Polyimide | Gas | No. of Gas Molecules | C0 (Simulation) | C0 (Equation (16)) | %Volume Swelling |
|---|---|---|---|---|---|
| 6FDA-BAPT | CH4 | 331 | 39.756 ± 0.010 | 37.69 | 1.99 ± 0.04 |
| N2 | 71 | 8.527 ± 0.002 | 8.54 | ||
| 6FDA-mPDA/BAPT | CH4 | 400 | 45.926 ± 0.002 | 42.29 | 2.10 ± 0.07 |
| N2 | 86 | 9.680 ± 0.001 | 11.81 |
| Polyimide | 6FDA-BAPT | 6FDA-mPDA/BAPT | ||
|---|---|---|---|---|
| p/bar | 66.0 | 63.3 | ||
| N2 | Single gas | P | 59 ± 7 | 122 ± 10 |
| 0.0062 | 0.0081 | |||
| D | 9 × 10−7 | 15 × 10−7 | ||
| Mixed gas | P | 50 ± 6 | 107 ± 7 | |
| 0.0050 | 0.0057 | |||
| D | 10 × 10−7 | 19 × 10−7 | ||
| p/bar | 65.0 | 65.0 | ||
| CH4 | Single gas | P | 44 ± 11 | 140 ± 14 |
| 0.0108 | 0.0120 | |||
| D | 4 × 10−7 | 12 × 10−7 | ||
| Mixed gas | P | 74 ± 13 | 146 ± 15 | |
| 0.0126 | 0.0134 | |||
| D | 6 × 10−7 | 11 × 10−7 | ||
| α(N2/CH4) | Single gas | 1.3 ± 0.5 | 0.9 ± 0.2 | |
| Mixed gas | 0.7 ± 0.2 | 0.7 ± 0.1 | ||
Disclaimer/Publisher’s Note: The statements, opinions and data contained in all publications are solely those of the individual author(s) and contributor(s) and not of MDPI and/or the editor(s). MDPI and/or the editor(s) disclaim responsibility for any injury to people or property resulting from any ideas, methods, instructions or products referred to in the content. |
© 2023 by the authors. Licensee MDPI, Basel, Switzerland. This article is an open access article distributed under the terms and conditions of the Creative Commons Attribution (CC BY) license (https://creativecommons.org/licenses/by/4.0/).
Share and Cite
Tanis, I.; Brown, D.; Neyertz, S.; Vaidya, M.; Ballaguet, J.-P.; Duval, S.; Bahamdan, A. A Molecular Dynamics Study of Single-Gas and Mixed-Gas N2 and CH4 Transport in Triptycene-Based Polyimide Membranes. Polymers 2023, 15, 3811. https://doi.org/10.3390/polym15183811
Tanis I, Brown D, Neyertz S, Vaidya M, Ballaguet J-P, Duval S, Bahamdan A. A Molecular Dynamics Study of Single-Gas and Mixed-Gas N2 and CH4 Transport in Triptycene-Based Polyimide Membranes. Polymers. 2023; 15(18):3811. https://doi.org/10.3390/polym15183811
Chicago/Turabian StyleTanis, Ioannis, David Brown, Sylvie Neyertz, Milind Vaidya, Jean-Pierre Ballaguet, Sebastien Duval, and Ahmad Bahamdan. 2023. "A Molecular Dynamics Study of Single-Gas and Mixed-Gas N2 and CH4 Transport in Triptycene-Based Polyimide Membranes" Polymers 15, no. 18: 3811. https://doi.org/10.3390/polym15183811
APA StyleTanis, I., Brown, D., Neyertz, S., Vaidya, M., Ballaguet, J.-P., Duval, S., & Bahamdan, A. (2023). A Molecular Dynamics Study of Single-Gas and Mixed-Gas N2 and CH4 Transport in Triptycene-Based Polyimide Membranes. Polymers, 15(18), 3811. https://doi.org/10.3390/polym15183811

