Abstract
Ferric stearate (FeSt3) is very efficient in accelerating polyethylene (PE) degradation, but there is a lack of exploration of its role in accelerating the early stages of polyethylene photo-oxidative degradation. This study aimed to investigate the effect of FeSt3 on the photo-oxidative degradation of PE films, especially in the early stages of photo-oxidative degradation. The results show that FeSt3 not only promotes the oxidative degradation of PE but also contributes significantly to the early behavior of photo-oxidative degradation. Moreover, the results of the density functional theory (DFT) calculations proved that the C-H in the FeSt3 ligand was more easily dissociated compared with the PE matrix. The generated H radicals participate in the coupling reaction of the primary alkyl macro radicals leading to the molecular weight reduction, thus significantly increasing the initial rate of molecular weight reduction of PE. Meanwhile, the transfer reaction of the dissociation-generated C-centered radicals induced the PE matrix to produce more secondary alkyl macroradicals, which shortened the time to enter the oxidative degradation stage. This finding reveals the mechanism by which FeSt3 promotes the degradation of PE at the early stage of photo-oxidative degradation. It provides guiding significance for the in-depth study of the early degradation behavior in photo-oxidative degradation on polyolefin/FeSt3 films.
1. Introduction
Polyethylene film, with excellent characteristics such as low cost, high strength and puncture properties, and light weight, has a wide range of applications in disposable products, packaging films, and agricultural land films [,]. The widespread use of polyethylene film has brought a great burden to the environment while facilitating our daily lives. It is well known that polyethylene is extremely difficult to degrade under natural conditions, and most polyethylene products have a very short life span, which causes a large amount of polyethylene waste to accumulate in the environment. Studies have shown that polyethylene waste has become a serious threat to freshwater lakes [,], groundwater, soil environments, and marine ecosystems. Recycling of polyethylene film products is not economically viable [,], and incineration and landfills create new environmental problems [,], which are not sustainable ways to dispose of polyethylene waste. The introduction of a certain amount of carbonyl groups in the polyethylene chain and the addition of suitable co-oxidants are two currently effective strategies to increase the degradation rate of polyethylene. Obviously, the addition of a suitable co-oxidant to polyethylene is more valuable for research, since the former affects the mechanical properties of polyethylene [,].
The most common co-oxidants are complexes consisting of transition metals with stearic acid or other organic ligands [,,,,]. In particular, stearic acid complexes of iron [,,,], cobalt [], and manganese [] can be added to the polyethylene matrix as co-oxidants to greatly accelerate its degradation rate. Studies have shown that iron stearate is a good photo-oxidation aid to initiate the photo-oxidative degradation of polyethylene, while manganese stearate mainly plays a role in the thermo-oxidative degradation of polyethylene []. Additionally, natural light can initiate the degradation of polyethylene even at ambient temperatures. Thus, the degradation of polyethylene is mainly manifested as photo-oxidative degradation in natural environments. This is in contrast to thermal oxygen degradation, which is usually studied in accelerated tests at 70 °C or above, but is difficult to achieve in natural environments []. Iron stearate is widely used as a cheap, easy to obtain, and effective photo-oxidation additive to study the photo-oxidative degradation of polyethylene. It is not difficult to understand the reasons for its popularity.
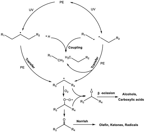
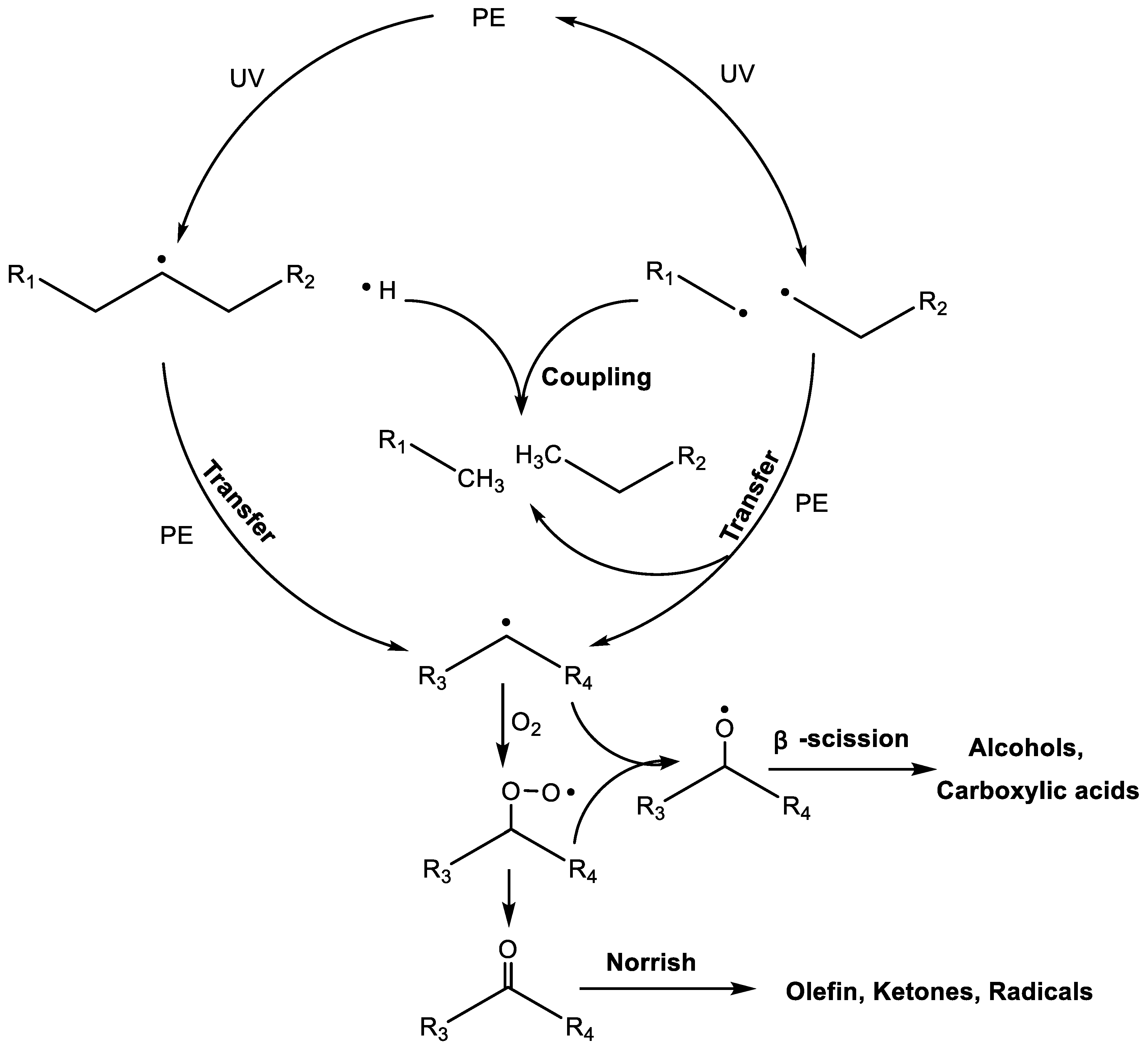
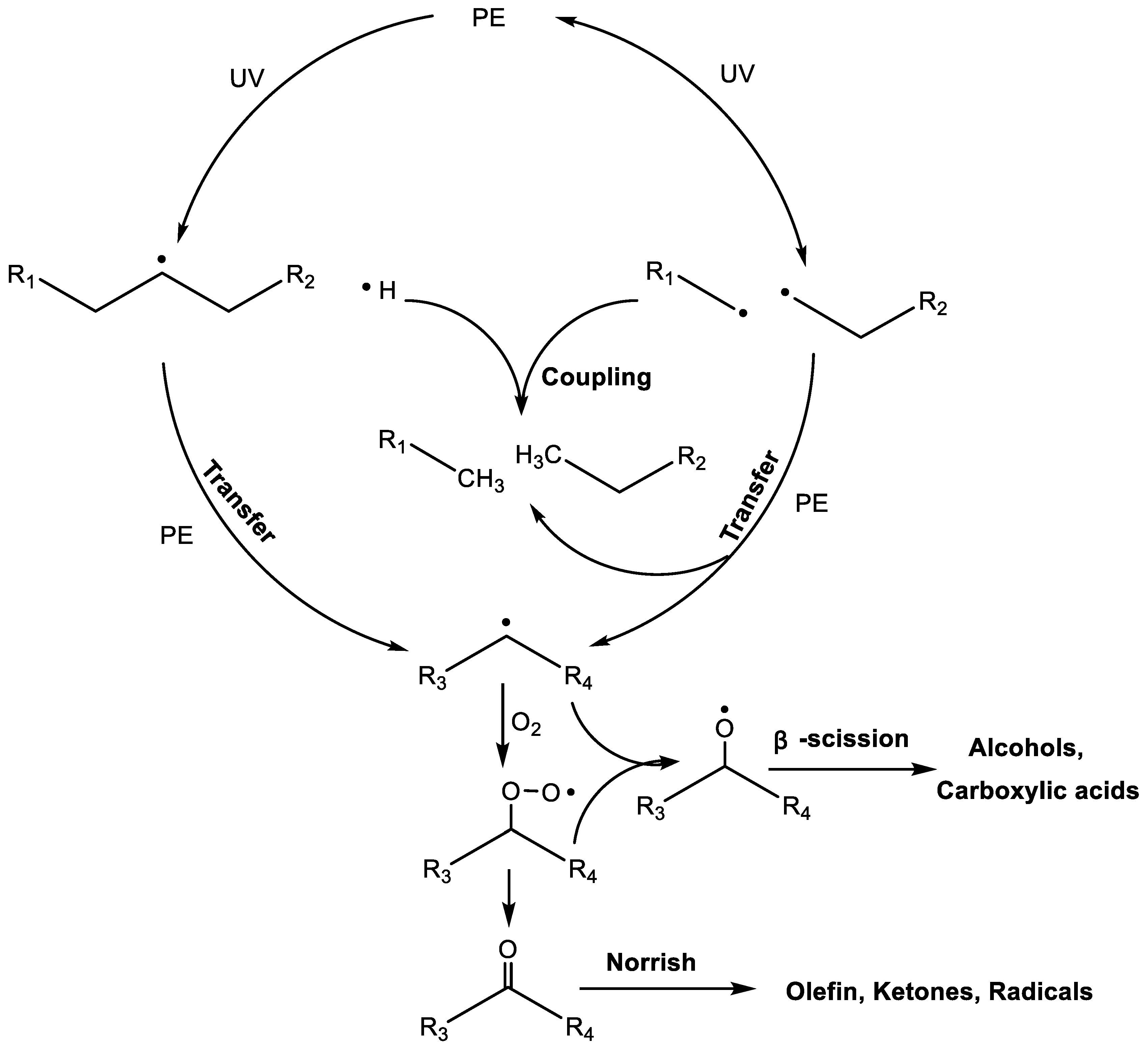
The polyethylene photo-oxidative degradation process commences with the cleavage of the C-C and C-H bonds in the molecule [,], as shown in Scheme 1. As a result of this process, various reactive radicals, including primary alkyl macroradicals, H radicals, and secondary alkyl macroradicals, are generated. After an early period of accumulation, a large number of secondary alkyl macro-radicals react with oxygen, marking the entry of polyethylene into the oxidative degradation stage. The oxidative phase produces numerous oxygen-containing functional groups such as ketones, aldehydes, carboxylic acids, and esters. At the same time, β-scission of the alkyloxy radicals [] and Norrish reaction of the carbonyl products result in breakage of the polyethylene backbone, leading to a decrease in molecular weight. In addition, our previous work [] revealed that the transfer and coupling of primary alkyl radicals originating from photoinitiation also lead to a decrease in the molecular weight of polyethylene.

Scheme 1.
The reaction route involves a decrease in molecular weight in the process of PE pho-to-oxidation degradation. R1, R2, R3, and R4: long-chain alkyl.
Previous studies [,] have shown that ferric stearate (FeSt3) can accelerate the initiation of polyethylene degradation by generating additional alkyl macroradicals. Additionally, it can catalyze the decomposition of alkyl hydroperoxides during the oxidative degradation phase, as illustrated in Scheme 2. However, the current mechanism focuses on the promotion of FeSt3 to the oxidative degradation process of polyethylene. There is a lack of studies on the role of FeSt3 in the early stages of the photo-oxidative degradation of polyethylene, especially the effect of the rate of molecular weight reduction. In this paper, the photo-oxidative degradation behaviors of PE/FeSt3 films were investigated under continuous UV irradiation. The role of FeSt3 in the early stage of polyethylene photo-oxidative degradation is investigated in detail, based on which a new mechanism is proposed and justified by density-functional theory (DFT). The findings of this study are a refinement of the photo-oxidative degradation mechanism of FeSt3-containing polyethylene, which is a guideline for studying the photo-oxidative degradation behavior of polyethylene-containing transition metal stearate.

Scheme 2.
Mechanism of FeSt3 in the photo-oxidative degradation of polyethylene.
2. Experimental Sections
Materials: Linear low-density polyethylene (LLDPE) is Sabic’s model 218 W with a molecular weight of 52,231(±158), purchased from Shanghai Hongwei Plastics Co., Ltd., Shanghai, China. Ferric stearate and ethanol were purchased from Qingdao Jingke Instrument Reagent Co., Ltd., Qingdao, China and paraxylene was purchased from Shanghai Macklin Biochemical Co., Ltd., Shanghai, China.
Preparation of LLDPE/FeSt3 (w/w = 85/15) masterbatch: LLDPE (255.6 g) particles and FeSt3 (46.07 g) powder mixture were first extruded using a twin-screw extruder (screw diameter = 19 mm, L/D = 40, Bau Technology, Seoul, Republic of Korea), and the residence time was about 15 min. The operating temperature of the extruder was maintained at 135 °C, 145 °C, 160 °C, 170 °C, and 180 °C from hopper to die, respectively. Cooling and pelletizing: The extrusion was repeated once to obtain 263.5 g of masterbatch containing 15% FeSt3. The masterbatch preparation process is shown in Scheme 3.

Scheme 3.
Preparation of LLDPE/Fe-MMT masterbatch.
Preparation of LLDPE/FeSt3 films: The LLDPE/FeSt3 films were blown in a pilot-scale film blow molding facility using a single-screw extruder with a 40 mm screw diameter rotating at 75 rpm. The L/D ratio of the screw was 25:1, and the die length was 100 mm with a 2.5 gap. The operating temperatures in the three zones of the extruder were 160 °C, 170 °C, and 180 °C, respectively, and the die temperature was 190 °C. The thickness of all sample membranes was about 12 μm. Scheme 4 illustrates the preparation process, and the LLDPE films with different FeSt3 contents prepared in this study are shown in Table 1.

Scheme 4.
Preparation of LLDPE/Fe-MMT films.

Table 1.
Compositions of the sample films used in this work.
Photo-oxidative degradation test: The UV irradiation test was carried out in a LUV-2 UV accelerated weathering tester (Shanghai Pushen Chemical Machinery Co., Ltd., Shanghai, China), which was equipped with three UV tubes (Pushen 20 W). The sample was 9 cm from the lamp and the light intensity was 1.65 mW/cm2 (measured by CEL-NP2000 optical power meter, Beijing, China). The test temperature was 40 ± 2 °C. The irradiation experiment lasted for 120 h and samples were taken every 24 h for IR and molecular weight tests to monitor the degradation process.
IR test: The IR spectra of the sample films were tested on a Nicolet iS50 FTIR spectrometer equipped with an attenuated total reflection (ATR) accessory. For each sample, an interferogram was obtained using a ZnSe crystal with a reflection angle of 45 to maintain the same probing depth. The measurement range was from 400 to 4000 cm−1, with a 4 cm−1 resolution and a total of 32 scans.
Determination of the carbonyl index (CI): The carbonyl index (CI) is a parameter used to measure the number of carbonyl compounds formed during the photodegradation of polyethylene film, which can be measured using FT-IR spectroscopy. The IR spectrum of the sample films was obtained using a Nicolet iS50 FT-IR spectrometer coupled with an attenuated total reflectance (ATR) accessory. For each sample, an interferogram was obtained using a ZnSe crystal with a reflection angle of 45 to maintain the same probing depth. The measurement range was from 400 to 4000 cm−1, with a 4 cm−1 resolution and a total of 32 scans. The carbonyl index (CI) was defined as the absorbance ratio of the carbonyl (approximately 1716 cm−1) and methylene groups (1468 cm−1) according to the equation [,] CI = A1716 cm−1/A1468 cm−1. The CIs for the LLDPE films were calculated according to the baseline method [].
Morphological characterization: The morphological structures were characterized by scanning electron spectroscopy/energy dispersive spectroscopy (SEM/EDS, Apreo S HiVac, Thermo Fisher, Waltham, MA, USA).
Molecular weight test: The change in molecular weight was measured according to the viscosity method using an Ubbelohde viscometer (capillary internal meridian: 0.5–0.6 mm). Experimental conditions: Paraxylene (solvent), T = 105 °C, the concentration of PE in paraxylene is about 0.002 g/mL. The viscometric average molecular weight (Mv) values of the samples were obtained by using the equation []: [η] = 0.0165.
Computational procedure: Calculation commands for all relevant compounds are submitted to Gaussian 16. Geometric optimization of all involved structures was performed at the accuracy level of PBE0/6-311G**. After all geometric optimizations are performed without imposing any geometric constraints, Gaussian 16 software is used to calculate the bond dissociation energy (C-H) of all molecules compounds by using the higher theoretical computational accuracy of PBE0/def2TZVP.
3. Results and Discussion
3.1. Analysis of Irradiation Test Results
PE sample films containing FeSt3 at concentrations of 0, 0.1, 0.5, and 0.7% were used in a 120 h UV irradiation experiment and analyzed by FTIR-ATR, and the result is shown in Figure 1. For the pure LLDPE film, weak vibration peaks belonging to carbonyl compounds are not detected until the end of the UV irradiation experiment. It indicates that the pure PE samples passed through a rather long photochemical reaction stage before entering the oxidative degradation stage. In the photoreactive stage, H radicals and alkyl macroradicals are formed by the cleavage of the C-H bond or C-C bond that participates in the subsequent oxidation reaction. With the progress of the experiment, a large number of secondary alkyl macroradicals accumulated in the PE matrix and reacted with oxygen to generate alkyl peroxy macroradicals, and PE entered the auto-oxidative degradation stage. Therefore, in the absence of a prooxidant, it takes a considerable period for polyethylene to initiate oxidative degradation to produce a variety of oxygenated products.

Figure 1.
FT-IR spectra under different UV irradiation times. (a): LLDPE film; (b): PE-0.1FS film; (c): PE-0.5FS; (d): PE-0.7FS.
The IR spectra of polyethylene films with 0.1%, 0.5%, and 0.7% additions as a function of UV irradiation time are shown in Figure 1b–d, respectively. It is clear from the figures that new carbonyl product peaks can be detected earlier in the sample containing FeSt3 compared to the pure polyethylene film. An obvious new peak appears at 1715 cm−1 after 24 h UV irradiation that belongs to the C=O stretching vibration of a ketone group [] and grows in intensity with extended UV irradiation, which indicates that the oxidative degradation process is underway. As the irradiation time increases other new carbonyl product peaks appear successively at 1733 cm−1, 1701 cm−1, and 1780 cm−1, which are assigned to C=O stretching vibrations in aldehydes, carboxylic acid groups, and lactones, respectively [,], Table 2 lists the infrared vibrational peaks involved and their attribution. Moreover, the diversity and area of the vibration peaks in the carbonyl region of polyethylene increased significantly with the increase of FeSt3 content. This suggests that the addition of FeSt3 to the polyethylene matrix can not only shorten the time for polyethylene to enter the oxidative degradation stage but also accelerate the oxidative degradation rate. This seems to be more in line with the description of the existing mechanism for the accelerated photo-oxidative degradation of polyethylene by FeSt3.

Table 2.
Correlated infrared vibrational peaks and their attribution.
The carbonyl index is the most commonly used parameter to detect the degree of polyolefin degradation. For the photo-oxidative degradation of polyethylene, the carbonyl index can visualize the oxidative degradation process of polyethylene. The results of carbonyl index variation for different LLDPE samples are shown in Figure 2. The carbonyl index of the samples showed different degrees of increasing trends with the increase in UV irradiation time, and the carbonyl index of all the samples containing FeSt3 was much higher than those of the pure PE samples. In addition, the carbonyl index of pure PE samples started to increase slowly only after 72 h of UV irradiation. In contrast, a significant increase in carbonyl index was observed in all the samples containing iron stearate within 24 h, and the rate of increase was proportional to the concentration of iron stearate. This indicates that even under UV irradiation, pure PE requires a long time to undergo slow oxidative degradation, while the introduction of FeSt3 not only greatly shortens the time to enter oxidative degradation but also accelerates the oxidative degradation process. This may be related to the fact that the Fe3+/Fe2+ redox pair can catalyze the decomposition of alkyl peroxides under UV irradiation []. In contrast, the explanation for the shortening of the time for polyethylene to enter the oxidative degradation phase by FeSt3 is less clear from the extant mechanism.

Figure 2.
The carbonyl index changes of pure PE film and PE-FS sample films under different UV irradiation times.
3.2. Analysis of Molecular Weight Changes
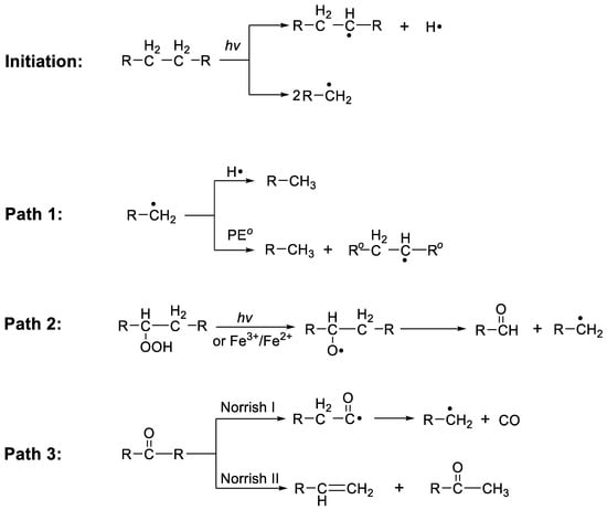
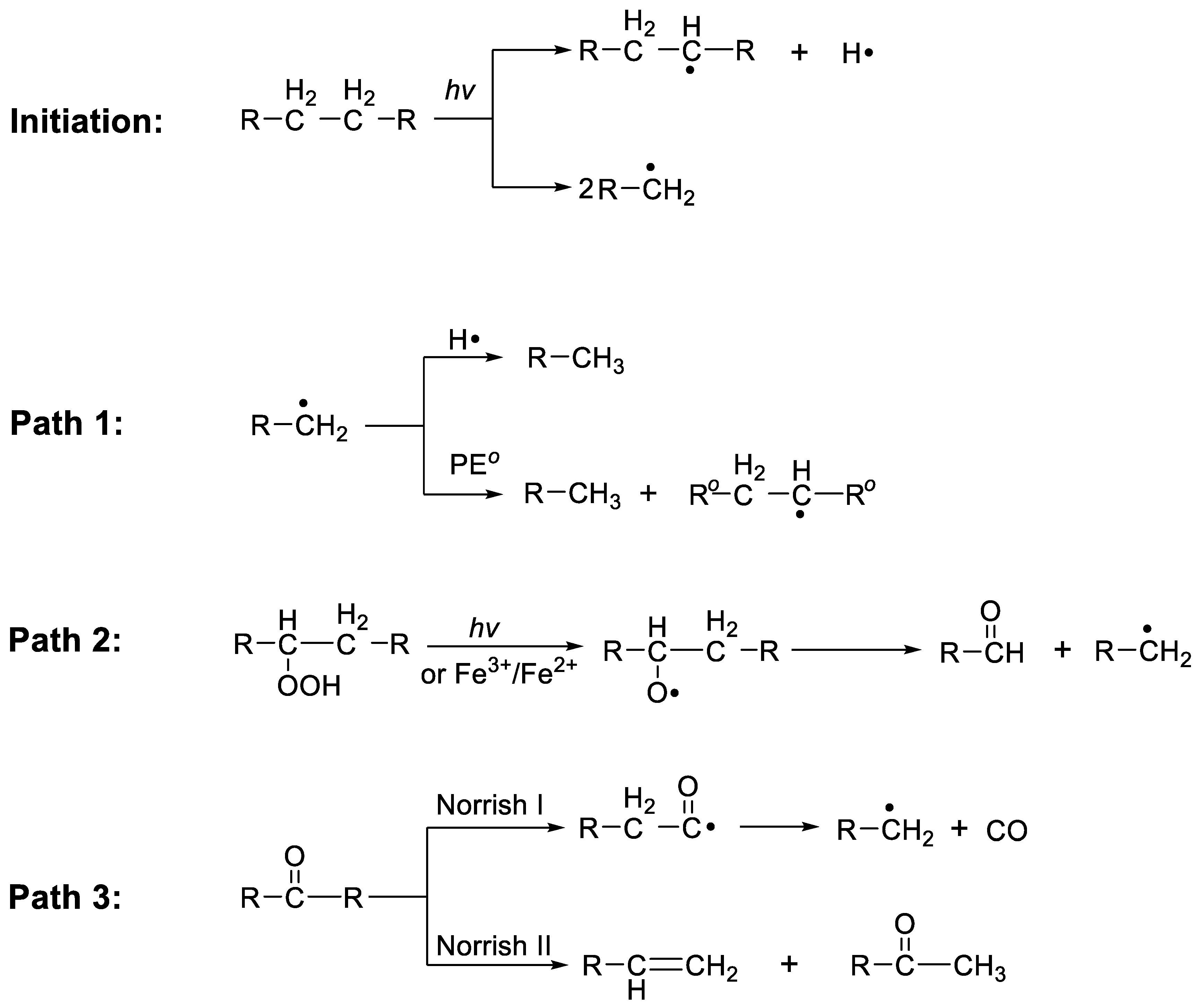
The decrease in molecular weight due to the scission of the molecular backbone is an important signal of polymer degradation. Decreased molecular weight is also one of the necessary conditions for polymers to be recognized by microorganisms and metabolically decomposed into carbon dioxide and water. The reactions involving molecular weight reduction during the photo-oxidative degradation of polyethylene are shown in Scheme 5. There is a temporal sequence in the occurrence of these three reactions, which are coupling and transfer of primary radicals in the photoreaction phase (Path 1), β-scission of alkoxy radicals in the oxidation phase (Path 2), and Norrish reaction of oxidation products (Path 3). These reactions resulted in an overall decreasing trend in the molecular weight of polyethylene throughout the photo-oxidative degradation process.

Scheme 5.
Mechanism of molecular weight reduction of polyethylene during the photo-oxidative degradation process.
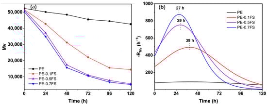
Figure 3 shows the change curves of molecular weights and the corresponding change rate curves during the photo-oxidative degradation of different samples. The molecular weight values of all samples at different times are listed in Table 3. From Table 3, it can be seen that the initial molecular weights of the FeSt3-containing samples did not change much compared to the pure PE. It also reflects that FeSt3 is not sensitive to the thermo-oxidative degradation of polyethylene, and some earlier studies [,] reported similar results. Therefore, polyethylene containing FeSt3 possesses excellent processing stability compared to other transition metal stearates.

Figure 3.
(a) Molecular weight changes of LLDPE film and PE-FS sample films under different UV irradiation times and (b) the corresponding rate curves.

Table 3.
Mv changes of PE and PE/Fe-MMT films under different UV irradiation times.
As can be seen from Figure 3, the molecular weight of pure LLDPE samples changed very little throughout the photo-oxidative degradation experiments, and the corresponding rate curves show that the molecular weight reduction rate of pure polyethylene remained almost constant. The incorporation of FeSt3 is significantly effective in increasing the rate of reduction of molecular weight of polyethylene. As shown in Figure 3b, the initial rate of molecular weight reduction of all FeSt3-containing samples is significantly higher than that of pure PE samples, which indicates that FeSt3 has an accelerating effect on Path1 in Scheme 5. After different irradiation times, the rate increased to the maximum value and the higher the FeSt3 content the shorter the time required, for contents of 0.1%, 0.5%, and 0.7% corresponding to 39 h, 29 h, and 27 h, respectively. It is because the samples enter into the oxidative degradation stage, and the occurrence of Path2, Path3 enhances the molecular weight lowering rate of the polyethylene. This indicates that FeSt3 plays an important role in increasing the rate of molecular weight reduction in the photo-oxidative degradation of polyethylene, and it is also prominent in the early stage of the photo-oxidative degradation of polyethylene.
3.3. Study on the Enhancement of FeSt3 in the Initial Photo-Oxidative Degradation of Polyethylene
The above experimental phenomena indicate that FeSt3 plays an important role in the various stages of polyethylene photo-oxidative degradation. However, the mechanism of enhancement of polyethylene degradation by FeSt3 at the early stage of photo-oxidative degradation is not clear. The photo-oxidative degradation of polyethylene begins with the cleavage of the C-C and C-H bonds in the matrix, and the resulting primary alkyl macro-radicals, secondary alkyl macroradicals, and H radicals directly affect the degradation properties of polyethylene. Primary alkyl macroradicals are generated by UV-induced cleavage of the C-C bond, which is independent of the presence or absence of FeSt3. Therefore, we calculated the C-H bond dissociation energies in FeSt3 ligands using density-functional theory.
As shown in Scheme 6, the C-H dissociation of the carboxylate proximity in the FeSt3 ligand generates an H radical and a C-centered radical (FS-C1 radical). The structure optimization of the molecules before and after C-H dissociation was first done with a computational accuracy of PBE0/6-311G**, and all the structures successfully converged, and no imaginary frequencies appeared. This indicates the reasonableness of the structure optimization. Subsequently, single-point energy calculations were done for all the optimized structures at the PBE0/def2-TZVP calculation level.

Scheme 6.
C-H bond cleavage reactions in FeSt3 ligands.
The results based on DFT calculations show that the dissociation energy of the carboxylate-critical C-H bond in the FeSt3 ligand is 373 kJ/mol, whereas the dissociation energies of the C-C bond and C-H in the pure polyethylene are 375 kJ/mol and 420 kJ/mol, respectively []. It suggests that FeSt3 is more prone to give H radicals as compared to polyethylene. In addition, the primary alkyl macroradical pairs dissociated from C-C bonds are more inclined to recombine into C-C bonds in situ due to the limitation of radical mobility in the solid-phase matrix. Therefore, the coupling reaction between primary giant radicals and H radicals in a pure polyethylene matrix mainly depends on their collision probabilities. This is the reason for the low rate of molecular weight reduction of pure polyethylene at the initial stage of photo-oxidative degradation. It is noteworthy that the dissociation energy of C-H in FeSt3 ligands is comparable to that of C-C bonds in polyethylene. In this way, the probability of collision of primary alkyl macroradicals generated by polyethylene molecules that are in the vicinity of FeSt3 with H radicals is significantly increased. The molecular weight reduction rate curves of different samples in Figure 3b also demonstrated that the initial rate of molecular weight reduction of all samples containing FeSt3 is significantly higher than that of pure polyethylene samples.
The rapid reduction of molecular weight in polyethylene leads to numerous breaks in the polyethylene backbone and subsequently results in many cracks on the polyethylene film surface. This crack generation was confirmed by scanning analysis of the PE-0.5FS-120 h sample film surface, as shown in Figure 4a. Energy dispersive spectroscopy (EDS) analysis of C, O, and Fe elements was conducted in four random regions, both cracked and non-cracked, yielding the relative atomic content of Fe elements in each region, as depicted in Figure 4b. The results demonstrate that the cracked area exhibits significantly higher Fe content than the uncracked area, implying a faster molecular weight reduction of polyethylene surrounding FeSt3. Overall, these findings indicate that FeSt3 plays a crucial role in accelerating the molecular weight reduction rate of polyethylene during its early photo-oxidative degradation stages, owing to its ability to generate H radicals more easily.

Figure 4.
(a) Picture of crack on PE-0.5FS after 120 h UV irradiation; (b) the relative atomic content of Fe element.
The production of H radicals from C-H dissociation in FeSt3 ligands contributes to the rate of molecular weight reduction of polyethylene. Therefore, the fate of the FS-C1 radicals is also worth investigating. The FS-C1 radical can be sequentially transferred along the ligand alkyl chain to generate a new radical (FS-Ci radical) as shown in Scheme 7. As can be seen from Figure 5, the Gibbs free energy of the transition from FS-C1 radical to FS-C2 radical is only 21.8 kJ/mol, and the subsequent transitions are almost all spontaneous processes. It indicates that the FS-C1 radical generated by cleavage can rapidly undergo intramolecular radical transfer along the ligand alkyl chain.

Scheme 7.
FS-C1 radical transfer along the ligand alkyl chain.

Figure 5.
Gibbs free energy diagrams of different FS-C radicals.
In addition, the long-chain alkanes in the FeSt3 ligands are sufficiently interwoven and entangled with the polyethylene matrix molecules during processing. This means that the FS-C radicals can undergo intermolecular radical transfer reactions with neighboring polyethylene molecules. The intermolecular radical transfer process between FS-C8 radicals and neighboring polyethylene chain segments (34 C atoms) as shown in Scheme 8 has been theoretically calculated using DFT. The Gibbs free energy of this process is extremely low at −1690 kJ/mol, which means that it can occur spontaneously as long as the H atoms in the polyethylene molecular chain are close enough to the C radicals. Therefore, the radical transfer reaction between FS-C and PE contributes to the generation of more secondary alkyl macro radicals, which are the key radicals for the oxidative degradation of the initiator polyethylene. UV irradiation experiments have also demonstrated that FeSt3-containing samples enter into the oxidative degradation stage faster than pure polyethylene samples.

Scheme 8.
Free radical transfer process between FS-C radical and neighboring polyethylene molecules. PEa: Adjacent PE molecular chain segments.
Therefore, the H radicals and FS-C radicals generated by the dissociation of C-H bonds in the ligand are the keys to the role of FeSt3 in the initial stage of polyethylene photo-oxidative degradation. The former can significantly increase the rate of molecular weight reduction of polyethylene, and the latter can generate more secondary alkyl macro radicals by intermolecular radical transfer with neighboring polyethylene molecules to shorten the time of entering the oxidation stage and accelerate the whole degradation process.
4. Conclusions
In our study, the photo-oxidative degradation behaviors of PE/FeSt3 films were investigated under continuous UV irradiation. The rate of photo-oxidative degradation of each PE/FeSt3 film is much faster than that of the pure LLDPE film. FeSt3 not only enhances the oxidative degradation process, but also contributes significantly to the early stage of polyethylene photo-oxidative degradation as well. Due to the lower C-H bond dissociation energy in the ligand, FeSt3 is more likely to give H radicals compared to polyethylene, which can significantly increase the rate of molecular weight reduction of polyethylene. The transfer reaction of FS-C radicals can induce the polyethylene matrix to produce more secondary alkyl macro radicals, which greatly shortens the time for a polyethylene to enter the oxidative degradation stage, thus accelerating the photo-oxidative degradation process of the whole polyethylene. The rationality of the involved C-H dissociation and the transfer process of FS-C radicals was verified by DFT. This finding reveals the mechanism of FeSt3-promoted polyethylene degradation in the early stage of photo-oxidative degradation. It is a complement and improvement to the existing mechanism of FeSt3-promoted photo-oxidative degradation of polyethylene.
Author Contributions
Conceptualization, Z.W. (Zhiming Wang), Z.W. (Zhongwei Wang) and Q.W.; Methodology, Q.W.; Software, Z.W. (Zhiming Wang), Z.W. (Zhongwei Wang) and D.L.; Validation, Z.W. (Zhiming Wang); Formal analysis, Z.W. (Zhongwei Wang) and D.L.; Investigation, Z.W. (Zhiming Wang); Resources, Z.W. (Zhongwei Wang) and Q.W.; Data curation, Z.W. (Zhiming Wang); Writing—original draft, Z.W. (Zhiming Wang); Writing—review & editing, Z.W. (Zhiming Wang) and Q.W.; Visualization, D.L. and Q.W.; Supervision, Z.W. (Zhongwei Wang) and Q.W.; Project administration, Q.W. All authors have read and agreed to the published version of the manuscript.
Funding
This work was supported by the Natural Science Foundation of Shandong Province [Grant No. ZR2020ME083].
Institutional Review Board Statement
Not applicable.
Data Availability Statement
Not applicable.
Acknowledgments
The author thanks his supervisor, Qingzhao Wang, for his guidance on this work, and thanks to Zhongwei Wang, and Dayong Liu for their contributions to this work.
Conflicts of Interest
The authors declare no conflict of interest.
References
- Singh, B.; Sharma, N. Mechanistic Implications of Plastic Degradation. Polym. Degrad. Stab. 2008, 93, 561–584. [Google Scholar] [CrossRef]
- Peacock, A.J. Handbook of Polyethylene: Structures, Properties and Applications; Marcel Dekker: New York, NY, USA, 2000. [Google Scholar]
- Eriksen, M.; Mason, S.; Wilson, S.; Box, C.; Zellers, A.; Edwards, W.; Farley, H.; Amato, S. Microplastic pollution in the surface waters of the Laurentian Great Lakes. Mar. Pollut. Bull. 2013, 77, 177–182. [Google Scholar] [CrossRef]
- Medrano, D.E.; Thompson, R.C.; Aldridge, D.C. Microplastics in freshwater systems: A review of the emerging threats, iden-tification of knowledge gaps and prioritisation of research needs. Water Res. 2015, 75, 63–82. [Google Scholar] [CrossRef]
- Roy, P.K.; Hakkarainen, M.; Varma, I.K.; Albertsson, A.C. Degradable Polyethylene: Fantasy or Reality. Environ. Sci. Technol. 2011, 45, 4217–4227. [Google Scholar] [CrossRef]
- Hamad, K.; Kaseem, M.; Deri, F. Recycling of Waste From Polymer Materials: An Overview of the Recent Works. Polym. Degrad. Stab. 2013, 98, 2801–2812. [Google Scholar] [CrossRef]
- Serrano, D.P.; Aguado, J.; Escola, J.M. Developing Advanced Catalysts for the Conversion of PolyolefinicWaste Plastics into Fuels and Chemicals. ACS Catal. 2012, 2, 1924–1941. [Google Scholar] [CrossRef]
- He, P.; Chen, L.; Shao, L.; Zhang, H.; Lü, F. Municipal solid waste (MSW) landfill: A source of microplastics? -Evidence of microplastics in landfill leachate. Water. Res. 2019, 159, 38–45. [Google Scholar] [CrossRef]
- Ramisa, X.; Cadenatoa, A.; Salla, J.M.; Morancho, J.M.; Vallés, A.; Contat, L.; Ribes, A. Thermal degradation of polypropylene/starch-based materials with enhanced biodegradability. Polym. Degrad. Stab. 2004, 86, 483–491. [Google Scholar] [CrossRef]
- Abd El-Rehim, H.A.; Hegazy, E.A.; Ali, A.M.; Rabie, A.M. Synergistic effect of combining UV-sunlight–soil burial treatment on the biodegradation rate of LDPE/starch blends. J. Photoch. Photobio. A 2004, 163, 547–556. [Google Scholar] [CrossRef]
- Lin, Y.C. Study of ultraviolet photooxidative degradation of LDPE film containing cerium carboxylate photosensitizer. J. Appl. Polym. Sci. 1997, 63, 811–818. [Google Scholar] [CrossRef]
- Roy, P.K.; Surekha, P.; Rajagopal, C.; Choudhary, V.J. Accelerated aging of LDPE films containing cobalt complexes as prooxidants. Polym. Degrad. Stab. 2006, 91, 1791–1799. [Google Scholar] [CrossRef]
- Roy, P.K.; Surekha, P.; Rajagopal, C.; Choudhary, V. Effect of cobalt carboxylates on the photo-oxidative degradation of low-density polyethylene. Part-I. Polym. Degrad. Stab. 2006, 91, 1980. [Google Scholar] [CrossRef]
- Roy, P.K.; Titus, S.; Surekha, P.; Tulsi, E.; Deshmukh, C.; Rajagopal, C. Degradation of abiotically aged LDPE films containing pro-oxidant by bacterial consortium. Polym. Degrad. Stab. 2008, 93, 1917. [Google Scholar] [CrossRef]
- Roy, P.K.; Surekha, P.; Raman, R.; Rajagopal, C. Investigating the role of metal oxidation state on the degradation behaviour of LDPE. Polym. Degrad. Stab. 2009, 94, 1033–1039. [Google Scholar] [CrossRef]
- Subramaniam, M.; Sharma, S.; Gupta, A.; Abdullah, N. Enhanced degradation properties of polypropylene integrated with iron and cobalt stearates and its synthetic application. J. Appl. Polym. Sci. 2018, 135, 46028. [Google Scholar] [CrossRef]
- Pablos, J.L.; Abrusci, C.; Marín, I.; López-Marín, J.; Catalina, F.; Espí, E.; Corrales, T. Photodegradation of polyethylenes: Comparative effect of Fe and Ca-stearates as pro-oxidant additives. Polym. Degrad. Stab. 2010, 95, 2057–2064. [Google Scholar] [CrossRef]
- Rajakumar, K.; Sarasvathy, V.; Thamaraichelvan, A.; Chitra, R.; Vijayakumar, C.T. Effect of Iron Carboxylates on the Photodegradability of Polypropylene. II. Artificial Weathering Studies. J. Appl. Poly. Sci. 2010, 118, 2601–2612. [Google Scholar] [CrossRef]
- Rajakumar, K.; Sarasvathy, V.; Thamaraichelvan, A.; Chitra, R.; Vijayakumar, C.T. Effect of Iron Carboxylates on the Photodegradability of Polypropylene. I. Natural Weathering Studies. J. Appl. Poly. Sci. 2012, 123, 2968–2976. [Google Scholar] [CrossRef]
- Roy, P.K.; Surekha, P.; Rajagopal, C.; Chatterjee, S.N.; Choudhary, V. Effect of benzil and cobalt stearate on the aging of low-density polyethylene films. Polym. Degrad. Stab. 2005, 90, 577–585. [Google Scholar] [CrossRef]
- Roy, P.K.; Singh, P.; Kumar, D.; Rajagopal, C. Manganese Stearate Initiated Photo-Oxidative and Thermo-Oxidative Degradation of LDPE, LLDPE and Their Blends. J. Appl. Polym. Sci. 2010, 117, 524–533. [Google Scholar] [CrossRef]
- Koutny, M.; Lemaire, J.; Delort, A. Biodegradation of polyethylene films with prooxidant additives. Chemosphere 2006, 64, 1243–1252. [Google Scholar] [CrossRef] [PubMed]
- Ammala, A.; Bateman, S.; Dean, K.; Petinakis, E.; Sangwan, P.; Wong, S.; Yuan, Q.; Yu, L.; Patrick, C.; Leong, K.H. An overview of degradable and biodegradable polyolefins. Prog. Polym. Sci. 2011, 36, 1015–1049. [Google Scholar] [CrossRef]
- Costa, L.; Bracco, P. Mechanisms of Cross-Linking, Oxidative Degradation, and Stabilization of UHMWPE. In UHMWPE Biomateials Handbook Ultra High Molecular Weight Polyethylene in Total Joint Replacement and Medical Devices, 3rd ed.; Elsever Inc.: Amsterdam, The Netherlands, 2015; pp. 467–487. [Google Scholar]
- Bracco, P.; Costa, L.; Luda, M.P.; Billingham, N.A. Review of Experimental Studies of the Role of Free-Radicals in Polyethylene Oxidation. Polym. Degrad. Stab. 2018, 155, 67–83. [Google Scholar] [CrossRef]
- Hinsken, H.; Moss, S.; Pauquet, J.; Zweifel, H. Degradation of Polyolefins during Melt Processing. Polym. Degrad. Stab. 1991, 34, 279–293. [Google Scholar] [CrossRef]
- Wang, Z.M.; Chen, H.M.; Zhang, Y.P.; Wang, Q.Z. Study on the Mechanism of Molecular Weight Reduction of Polyethylene Based on Fe-Montmorillonite and Its Potential Application. Polymers 2023, 15, 1429. [Google Scholar] [CrossRef] [PubMed]
- Abrusci, C.; Pablos, J.L.; Marín, I.; Espí, E.; Corrales, T.; Catalina, F. Comparative effect of metal stearates as pro-oxidant additives on bacterial biodegradation of thermal- and photo-degraded low density polyethylene mulching films. Int. Biodeter. Biodegr. 2013, 83, 25–32. [Google Scholar] [CrossRef]
- Yeh, C.L.; Nikolić, M.A.L.; Gomes, B.; Gauthier, E.; Laycock, B.; Halley, P.; Bottle, S.E.; Colwell, J.M. The effect of common agrichemicals on the environmental stability of polyethylene films. Polym. Degrad. Stab. 2015, 120, 53–60. [Google Scholar] [CrossRef]
- Maalihan, R.D.; Pajarito, B.B. Effect of colorant, thickness, and pro-oxidant loading on degradation of low-density polyethylene films during thermal aging. J. Plast. Film Sheeting 2016, 32, 124–139. [Google Scholar] [CrossRef]
- Gulmine, J.V.; Janissek, P.R.; Heise, H.M.; Akcelrud, L. Degradation Profile of Polyethylene After Artificial Accelerated Weathering. Polym. Degrad. Stab. 2003, 79, 385–397. [Google Scholar] [CrossRef]
- Brandrup, J.; Immergut, E.H. Polymer Handbook; Wiley: Toronto, ON, Canada, 1986; Volume II. [Google Scholar]
- Khabbaz, F.; Albertsson, A.C.; Karlsson, S. Chemical and Morphological Changes of Environmentally Degradable Polyethylene Films Exposed to Thermo-Oxidation. Polym. Degrad. Stab. 1999, 63, 127–138. [Google Scholar] [CrossRef]
- Setnescu, R.; Jipa, S.; Osawa, Z. Chemiluminescence Study on the Oxidation of Several Polyolefins-I. Thermal-Induced Degradation of Additive-Free Polyolefins. Polym. Degrad. Stab. 1998, 60, 377–383. [Google Scholar] [CrossRef]
- Valadez-Gonzalez, A.; Cervantes-Uc, J.M.; Veleva, L. Mineral Filler Influence on the Photo-Oxidation of High Density Polyethylene: I. Accelerated UV Chamber Exposure Test. Polym. Degrad. Stab. 1999, 63, 253–260. [Google Scholar] [CrossRef]
- Liu, X.; Gao, C.; Sangwan, P.; Yu, L.; Tong, Z. Accelerating the Degradation of Polyolefins Through Additives and Blending. J. Appl. Polym. Sci. 2014, 131, 40750. [Google Scholar] [CrossRef]
- Abrusci, C.; Pablos, J.L.; Corrales, T.; López-Marín, J.; Marín, I.; Catalina, F. Biodegradation of photo-degraded mulching films based on polyethylenes and stearates of calcium and iron as pro-oxidant additives. Int. Biodeter. Biodegr. 2011, 65, 451–459. [Google Scholar] [CrossRef]
- Muthukumar, T.; Aravinthan, A.; Mukesh, D. Effect of environment on the degradation of starch and pro-oxidant blended polyolefins. Polym. Degrad. Stab. 2010, 95, 1988–1993. [Google Scholar] [CrossRef]
- Andrady, A.L. Wavelength Sensitivity in Polymer Photodegradation. Adv. Polym. Sci. 1997, 128, 47–94. [Google Scholar]
Disclaimer/Publisher’s Note: The statements, opinions and data contained in all publications are solely those of the individual author(s) and contributor(s) and not of MDPI and/or the editor(s). MDPI and/or the editor(s) disclaim responsibility for any injury to people or property resulting from any ideas, methods, instructions or products referred to in the content. |
© 2023 by the authors. Licensee MDPI, Basel, Switzerland. This article is an open access article distributed under the terms and conditions of the Creative Commons Attribution (CC BY) license (https://creativecommons.org/licenses/by/4.0/).