Coloration on Bluish Alginate Films with Amorphous Heterogeneity Thereof
Abstract
:1. Introduction
2. Materials and Methods
2.1. Materials and Instrumentations
2.2. Preparation of Bluish Materials and Ion Complexations
2.3. Processing of Iridescent Films
3. Results and Discussion
3.1. Coloration by the Ratio of Alg–IdC Aqueous Solution
3.2. Iridescence on Alg–IdC Film Based on Tilt Angle
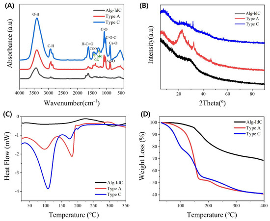
3.3. Characterization of Alg–IdC Films
3.4. Conductivity of Alg–IdC Materials
4. Conclusions
Supplementary Materials
Author Contributions
Funding
Institutional Review Board Statement
Data Availability Statement
Conflicts of Interest
References
- Zhao, Y.; Zhao, Y.; Xie, Z.; Gu, H.; Zhu, C.; Gu, Z. Bio-inspired variable structural color materials. Chem. Soc. Rev. 2012, 41, 3297–3317. [Google Scholar] [CrossRef] [PubMed]
- Zhang, Z.; Chen, Z.; Shang, L.; Zhao, Y. Structural Color Materials from Natural Polymers. Adv. Mater. Technol. 2021, 6, 2100296. [Google Scholar] [CrossRef]
- Wang, Y.; Shang, L.; Chen, G.; Sun, L.; Zhang, X.; Zhao, Y. Bioinspired structural color patch with anisotropic surface adhesion. Sci. Adv. 2020, 6, eaax8258. [Google Scholar] [CrossRef] [PubMed]
- Wang, H.; Liu, Y.; Chen, Z.; Sun, L.; Zhao, Y. Anisotropic structural color particles from colloidal phase separation. Sci. Adv. 2020, 6, eaay1438. [Google Scholar] [CrossRef]
- Zhao, Z.; Wang, H.; Shang, L.; Yu, Y.; Fu, F.; Zhao, Y.; Gu, Z. Bioinspired heterogeneous structural color stripes from capillaries. Adv. Mater. 2017, 29, 1704569. [Google Scholar] [CrossRef] [PubMed]
- Liu, P.; Chen, J.; Zhang, Z.; Xie, Z.; Du, X.; Gu, Z. Bio-inspired robust non-iridescent structural color with self-adhesive amor-phous colloidal particle arrays. Nanoscale 2018, 10, 3673–3679. [Google Scholar] [CrossRef] [PubMed]
- Thomas, K.R.; Thomas, K.R.; Kolle, M.; Whitney, H.M.; Glover, B.J.; Steiner, U. Function of blue iridescence in tropical understo-rey plants. J. R. Soc. Interface 2010, 7, 1699–1707. [Google Scholar] [CrossRef]
- Fernandes, S.N.; Geng, Y.; Vignolini, S.; Glover, B.J.; Trindade, A.C.; Canejo, J.P.; Almeida, P.L.; Brogueira, P.; Godinho, M.H. Structural Color and Iridescence in Transparent sheared Cellulosic films. Macromol. Chem. Phys. 2013, 214, 25–32. [Google Scholar] [CrossRef]
- Fan, W.; Zeng, J.; Gan, Q.; Ji, D.; Song, H.; Liu, W.; Shi, L.; Wu, L. Iridescence-controlled and flexibly tunable retroreflective structural color film for smart displays. Sci. Adv. 2019, 5, eaaw8755. [Google Scholar] [CrossRef]
- Deng, S.; Huang, L.; Wu, J.; Pan, P.; Zhao, Q.; Xie, T. Bioinspired Dual-Mode Temporal Communication via Digitally Program-mable Phase-Change Materials. Adv. Mater. 2021, 33, 2008119. [Google Scholar] [CrossRef]
- Wu, T.F.; Hong, J.D. Dopamine-Melanin Nanofilms for Biomimetic Structural Coloration. Biomacromolecules 2015, 16, 660–666. [Google Scholar] [CrossRef]
- Yang, W.; Yamamoto, S.; Sueyoshi, K.; Inadomi, T.; Kato, R.; Miyamoto, N. Perovskite Nanosheet Hydrogels with Mecha-nochromic Structural Color. Angew. Chem. Int. Ed. 2021, 60, 8466–8471. [Google Scholar] [CrossRef] [PubMed]
- Kohri, M.; Tamai, Y.; Kawamura, A.; Jido, K.; Yamamoto, M.; Taniguchi, T.; Kishikawa, K.; Fujii, S.; Teramoto, N.; Ishii, H.; et al. Ellipsoidal Artificial Melanin Particles as Building Blocks for Biomimetic Structural Coloration. Langmuir 2019, 35, 5574–5580. [Google Scholar] [CrossRef] [PubMed]
- Kawamura, A.; Kohri, M.; Yoshioka, S.; Taniguchi, T.; Kishikawa, K. Structural Color Tuning: Mixing Melanin-Like Particles with Different Diameters to Create Neutral Colors. Langmuir 2017, 33, 3824–3830. [Google Scholar] [CrossRef]
- Díaz-Marín, C.D.; Li, D.; Vázquez-Cosme, F.J.; Pajovic, S.; Cha, H.; Song, Y.; Kilpatrick, C.; Vaartstra, G.; Wilson, C.T.; Boriskina, S.; et al. Capillary Transfer of self-assembled colloidal crystals. Nano Lett. 2023, 23, 1888–1896. [Google Scholar] [CrossRef] [PubMed]
- Miao, S.; Wang, Y.; Sun, L.; Zhao, Y. Freeze-derived heterogeneous structural color films. Nat. Commun. 2022, 13, 4044. [Google Scholar] [CrossRef]
- Zhou, L.; Yang, L.; Liu, Y.; Xu, Z.; Yin, J.; Ge, D.; Jiang, X. Dynamic Structural Color from Wrinkled Thin Films. Adv. Optical Mater. 2020, 8, 2000234. [Google Scholar] [CrossRef]
- Loureiro dos Santos, L.A. Natural Polymeric Biomaterials: Processing and Properties. In Reference Module in Materials Science and Materials Engineering; Federal University: Rio de Janeiro, Brazil, 2017; pp. 1–6. [Google Scholar] [CrossRef]
- Maiti, S.; Kumari, L. Chapter 3 Smart Nanopolysaccharides for the Delivery of Bioactives. In Nanoarchitectonics for Smart Delivery and Drug Targeting; Holban, A.M., Grumezescu, A., Eds.; William Andrew: Norwich, NY, USA, 2016; pp. 67–94. [Google Scholar] [CrossRef]
- Venkatesan, J.; Bhatnagar, I.; Manivasagan, P.; Kang, K.H.; Kim, S.K. Alginate composites for bone tissue engineering: A review. Int. J. Biol. Macromol. 2015, 72, 269–281. [Google Scholar] [CrossRef]
- Lee, G.-S.; Park, J.-H.; Shin, U.S.; Kim, H.-W. Direct deposited porous scaffolds of calcium phosphate cement with alginate for drug delivery and bone tissue engineering. Acta Biomater. 2011, 7, 3178–3186. [Google Scholar] [CrossRef]
- Paques, J.P.; Linden, E.; Rijn, C.J.M.; Sagis, L.M.C. Preparation methods of alginate nanoparticles. Adv. Colloid Interface Sci. 2014, 209, 163–171. [Google Scholar] [CrossRef]
- Samandari, M.; Quint, J.; Rodríguez-delaRosa, A.; Sinha, I.; Pourquié, O.; Tamayol, A. Bioinks and Bioprinting Strategies for Skeletal Muscle Tissue Engineering. Adv. Mater. 2022, 34, 2105883. [Google Scholar] [CrossRef]
- Amdursky, N.; Glowacki, E.D.; Meredith, P. Macroscale Biomolecular Electronics and Ionics. Adv. Mater. 2018, 31, 1802221. [Google Scholar] [CrossRef] [PubMed]
- Jian, N.; Guo, R.; Zuo, L.; Sun, Y.; Xue, Y.; Liu, J.; Zhang, K. Bioinspired Self Growing Hydrogels by Harnessing Interfacial Polymer-ization. Adv. Mater. 2023, 35, 2210609. [Google Scholar] [CrossRef] [PubMed]
- Holtz, J.H.; Asher, S.A. Polymerized colloidal crystal hydrogel films as intelligent chemical sensing materials. Nature 1997, 389, 829–832. [Google Scholar] [CrossRef] [PubMed]
- Choi, S.; Zhao, Z.; Zuo, J.; Faruque, H.M.R.; Yao, Y.; Wang, C. Structural color printing via polymer-assisted photochemical depo-sition. Light Sci. Appl. 2022, 11, 84. [Google Scholar] [CrossRef]
- Zhao, Y.; Zhao, K.; Yu, Z.; Ye, C. Chameleon-Inspired Mechanochromic Photonic Elastomer with Brilliant Structural Color and Stable Optical Response for Human Motion Visualization. Polymers 2023, 15, 2635. [Google Scholar] [CrossRef]
- Han, Y.; Dong, J. Electrohydrodynamic (EHD) Printing of Molten Metal Ink for Flexible and Stretchable Conductor with Self-Healing Capability. Adv. Mater. Technol. 2018, 3, 1700268. [Google Scholar] [CrossRef]
- Eshkalak, S.K.; Khatibzadeh, M.; Kowsari, E.; Chinnappan, A.; Jayathilaka, W.A.D.M.; Ramakrishna, S. Overview of electronic ink and methods of production for use in electronic displays. Opt. Laser. Technol. 2019, 117, 38–51. [Google Scholar] [CrossRef]
- Zheng, D.; Bai, B.; Xu, X.; He, Y.; Li, S.; Hu, N.; Wang, H. Fabrication of detonation nanodiamond@sodium alginate hydrogel beads and their performance in sunlight triggered water release. RSC Adv. 2019, 9, 27961. [Google Scholar] [CrossRef]
- Fajardo, A.R.; Silva, M.B.; Lopes, L.C.; Piai, J.F.; Rubira, A.F.; Muniz, E.C. Hydrogel based on an alginate-Ca2+/chondroitin sul-fate matrix as a potential colon-specific drug delivery system. RSC Adv. 2012, 2, 11095–11103. [Google Scholar] [CrossRef]
- Iskandar, L.; Rojo, L.; Silvio, L.D.; Deb, S. The effect of chelation of sodium alginate with osteogenic ions, calcium, zinc, and strontium. J. Biomater. Appl. 2019, 34, 1–12. [Google Scholar] [CrossRef] [PubMed]
- Al-Ghamdi, H.S.; Mahmoud, W.E. Synthesis of self-assembly plasmonic silver nanoparticles with tunable luminescence color. J. Lumin. 2014, 145, 880–883. [Google Scholar] [CrossRef]
- Milivojevic, M.; Pajic-Lijakovic, I.; Bugarski, B. Chapter 22 Biological macromolecules in cell encapsulation. In Biological Macromolecules; Nayak, A., Dhara, A.K., Pal, D., Eds.; Academic Press: Cambridge, MA, USA, 2022; pp. 491–528. [Google Scholar] [CrossRef]
- Aparicio-Collado, J.L.; Garcia-San-Martin, N.; Molina-Mateo, J.; Cabanilles, C.T.; Quiles, V.D.; Serrano-Aroca, A.; Serra, R.S. 577 Electroactive calcium-alginate/polycaprolactone/reduced graphene oxide nanohybrid hydrogels for skeletal muscle tissue en-gineering. Colloids Surf. B 2022, 214, 112455. [Google Scholar] [CrossRef]
- Vajda, J.; Vihar, B.; Curic, L.C.; Maver, U.; Vesenjak, M.; Dubrovski, P.D.; Milojevic, M. Sr2+ vs. Ca2+ as post-processing ionic crosslinkers: Implications for 3D bioprinting of polysaccharide hydrogels in tissue engineering. J. Mater. Res. Technol. 2023, 23, 1805–1820. [Google Scholar] [CrossRef]
- Wang, J.; Song, T.; Chen, H.; Ming, W.; Cheng, Z.; Liu, J.; Liang, B.; Wang, Y.; Wang, G. Bioinspired High-Strength Montmoril-lonite-Alginate Hybrid Film: The Effect of Different Divalent Metal Cation Crosslinking. Polymers 2022, 14, 2433. [Google Scholar] [CrossRef]
- Melektaj, H.; Drozdov, A.D.; Christiansen, J.C. Mechanical Properties of Alginate Hydrogels Cross-Linked with Multivalent Cations. Polymers 2023, 15, 3012. [Google Scholar] [CrossRef] [PubMed]










| Composites | Enthalpy (ΔH) (J/g) | Temperature (°C) | Enthalpy (ΔH) (J/g) | Temperature (°C) |
|---|---|---|---|---|
| Alg | 90.82 | 120.9 | −81.8 | 161.1 |
| Alg–IdC | 71.71 | 121.5 | −79.1 | 163.9 |
| Type A | −175.1 | 96.0 | −238.6 | 181.8 |
| Type C | −723.4 | 106.8 | −49.97 | 174.9 |
Disclaimer/Publisher’s Note: The statements, opinions and data contained in all publications are solely those of the individual author(s) and contributor(s) and not of MDPI and/or the editor(s). MDPI and/or the editor(s) disclaim responsibility for any injury to people or property resulting from any ideas, methods, instructions or products referred to in the content. |
© 2023 by the authors. Licensee MDPI, Basel, Switzerland. This article is an open access article distributed under the terms and conditions of the Creative Commons Attribution (CC BY) license (https://creativecommons.org/licenses/by/4.0/).
Share and Cite
Yang, S.-Y.; Kang, D.-S.; Lee, C.-Y. Coloration on Bluish Alginate Films with Amorphous Heterogeneity Thereof. Polymers 2023, 15, 3627. https://doi.org/10.3390/polym15173627
Yang S-Y, Kang D-S, Lee C-Y. Coloration on Bluish Alginate Films with Amorphous Heterogeneity Thereof. Polymers. 2023; 15(17):3627. https://doi.org/10.3390/polym15173627
Chicago/Turabian StyleYang, Soo-Yeon, Dong-Soo Kang, and Chang-Yull Lee. 2023. "Coloration on Bluish Alginate Films with Amorphous Heterogeneity Thereof" Polymers 15, no. 17: 3627. https://doi.org/10.3390/polym15173627
APA StyleYang, S.-Y., Kang, D.-S., & Lee, C.-Y. (2023). Coloration on Bluish Alginate Films with Amorphous Heterogeneity Thereof. Polymers, 15(17), 3627. https://doi.org/10.3390/polym15173627

