Visco-Elastic Honeycomb Structures with Increased Energy Absorption and Shape Recovery Performance Using Buckling Initiators
Abstract
:1. Introduction
2. Materials and Methods
2.1. Manufacturing
2.2. Testing
2.3. Performance Metrics
3. Results
3.1. Buckling Features
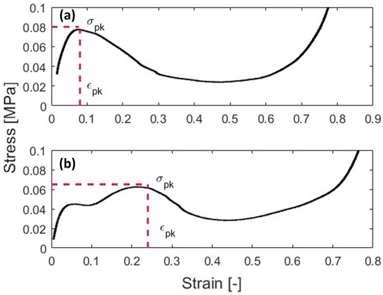
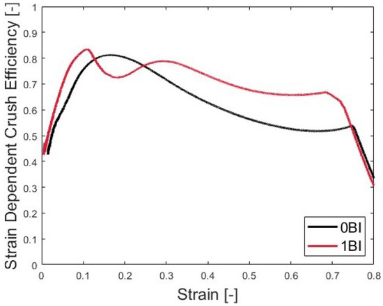
3.2. Quasi-Static Testing
3.3. Low Strain-Rate Testing
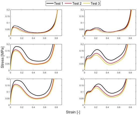
3.4. Repeated Testing
4. Analysis
5. Discussion
6. Conclusions
- Visco-elastic honeycomb with buckling initiators experiences axisymmetric failure as opposed to their counterparts that are without buckling initiators. Folding initiates at the buckling initiator and continues until the sample has been folded in a controlled manner. The samples without buckling initiators experience shear buckling, which results in non-axisymmetric folding patterns.
- Visco-elastic honeycomb is able to rebound to over 95% of its initial height after testing three different periods. The honeycomb experiences some permanent deformation, but following 24 h, it is able to be reused.
- Visco-elastic honeycomb with buckling initiators that are located midway up the sample are more crashworthy in quasi-static applications. The buckling initiators assist in lowering the peak stress, thus increasing the strain-dependent crush efficiency. Similarly, the energy-absorbed efficiency is shown to increase with the presence of buckling initiators.
- Visco-elastic honeycomb with buckling initiators increases the energy-absorbed efficiency and decreases the peak stress when implemented in low-strain rate settings. The crush efficiency is preserved as the strain increases when buckling initiators are implemented.
- After repeated testing at low-strain rates, the visco-elastic honeycomb with buckling initiators experiences less degradation in its crush performance. Thus, these visco-elastic honeycomb structures were observed to provide deformation recovery when using this type of buckling initiator. Protection against multiple impacts can be provided, albeit with reduced effectiveness.
- Numerical analysis validated the experimental results for samples with and without buckling initiators in quasi-static conditions.
Author Contributions
Funding
Data Availability Statement
Conflicts of Interest
References
- Schultz, J.; Griese, D.; Ju, J.; Shankar, P.; Summers, J.; Thompson, L. Design of Honeycomb Mesostructures for Crushing Energy Absorption. J. Mech. Des. 2012, 134, 071004. [Google Scholar] [CrossRef]
- Ivanez, I.; Fernandex-Canadas, L.; Sanchez-Saez, S. Compressive Deformation and Energy-Absorption Capability of Aluminum Honeycomb Core. Compos. Struct. 2017, 174, 123–133. [Google Scholar] [CrossRef]
- Alkbir, M.; Sapuan, S.; Nuraini, A.; Ishak, M. Fibre Properties and Crashworthiness Parameters of Natural Fibre-Reinforced Composite Structure: A literature Review. Compos. Struct. 2016, 148, 59–73. [Google Scholar] [CrossRef]
- Samer, F.; Tarlochan, F.; Samaka, H.; Khalid, K. Improvement of Energy Absoprtion of Thin Walled Hexagonal Tube Made of Magnesium Alloy by using Trigger Mechanisms. Int. J. Res. Eng. Technol. 2013, 2, 173–180. [Google Scholar]
- Jiang, H.; Ren, Y.; Gao, B.; Ziang, J.; Yuan, F. Design of Novel Plug-Type Triggers for Composite Square Tubes: Enhancement of Energy- Absorption Capacity and Inducing Failure Mechanisms. Int. J. Mech. Sci. 2017, 131, 113–136. [Google Scholar] [CrossRef]
- Ren, Y.; Jian, H.; Liu, Z. Evaluation of Double- and Triple- Coupled Triggering Mechanisms to Improve Crashworthiness of Composite Tubes. Int. J. Mech. Sci. 2019, 157, 1–12. [Google Scholar] [CrossRef]
- Lau, S.; Said, M.; Yaakob, M. On the Effect of Geometrical Designs and Failure Modes in Composite Axial Crushing: A Literature Review. Compos. Struct. 2012, 94, 803–812. [Google Scholar] [CrossRef]
- Cricri, G.; Perrella, M.; Cali, C. Honeycomb Failure Processes Under In-Plane Loading. Comp. B. 2013, 45, 1079–1090. [Google Scholar] [CrossRef]
- Zhang, X.; Tian, Q.; Yu, T. Axial Crushing of Circular Tubes with Buckling Initiators. Thin-Wall Struct. 2009, 47, 788–797. [Google Scholar] [CrossRef]
- Zhang, X.; Su, H.; Yu, T. Energy Absorption of an Axially Crushed Square Tube with a Buckling Initiator. Int. J. Impact Eng. 2009, 36, 402–427. [Google Scholar] [CrossRef]
- Eshkoor, R.; Ude, A.; Oshkovr, S.; Sulong, A.; Zulkifli, R.; Ariffin, A. Failure Mechanism of Woven Natural Silk/Epoxy Rectangular Composite Tubes under Axial Quasi-Static Crushing Test Using Trigger Mechanisms. Int. J. Impact Eng. 2014, 64, 53–64. [Google Scholar] [CrossRef]
- Pitarresi, G.; Carruthers, J.; Robinson, A.; Torre, G.; Kenny, J.; Ingleton, S.; Velecela, O.; Found, M. A Comparative Evaluation of Crashworthy Composite Sandwich Structures. Compos. Struct. 2005, 78, 34–44. [Google Scholar] [CrossRef]
- Eshkoor, R.; Oshkovs, S.; Sulong, A.; Zulkifli, R.; Ariffin, A.; Azhari, C. Effect of Trigger Configuration on the Crashworthiness Characteristics of Natural Silk Epoxy Composite Tubes. Compos. B Eng. 2013, 55, 5–10. [Google Scholar] [CrossRef]
- Abramowics, W.; Jones, N. Dynamic Progressive Buckling of Circular and Square Tubes. Int. J. Impact Eng. 1986, 4, 243–270. [Google Scholar] [CrossRef]
- Reid, S. Metal Tubes as Impact Energy Absorbers. In Metal Forming and Impact Mechanics; Pergamon: Amsterdam, The Netherlands, 1985; pp. 249–269. [Google Scholar]
- Rezvani, M.; Jahan, A. Effect of Initiator, Design and Material on Crashworthiness Performance of Thin-Walled Cylindrical Tubes: A Primary Multi-Criteria Analysis in Lightweight Design. Thin-Walled Struct. 2015, 96, 169–182. [Google Scholar] [CrossRef]
- Nia, A.; Nejad, K.; Badnava, H.; Farhoudi, H. Effects of Buckling Initiators on Mechanical Behavior of Thin-Walled Square Tubes Subjected to Oblique Loading. Thin-Walled Struct. 2012, 59, 87–96. [Google Scholar]
- Yamashita, M.; Kenmotsu, H.; Hattori, T. Dynamic Axial Compression of Aluminum Hollow Tubes with Hat Cross-Section and Buckling Initiator using Inertia Force During Impact. Thin-Walled Struct. 2012, 50, 37–44. [Google Scholar]
- Li, Z.; Rakheja, S.; Shangguan, W. Study on Crushing Behaviors of Foam-Filled Thin-Walled Square Tubes with Different Types and Number of Initiators Under Multiple Angle Loads. Thin-Walled Struct. 2019, 145, 106376. [Google Scholar]
- Alexander, J. An Approximate Analysis of the Collapse of Thin Cylindrical Shells under Axial Loading. Q. J. Mech. Appl. Math. 1960, 13, 10–15. [Google Scholar] [CrossRef]
- Pugsley, A. The Large- Scale Crumpling of Thin Cylindrical Columns. Q. J. Mech. Appl. Math. 1960, 13, 1–9. [Google Scholar] [CrossRef]
- DeWaal, L.; Lu, G.; Zang, J.; You, Z. Dynamic Behavior of Graded Origami Honeycomb. Int. J. Imp. Eng. 2021, 157, 103976. [Google Scholar] [CrossRef]
- Hong, H.; Hu, M.; Dai, L. Dynamic Mechanical Behavior of Hierarchical Resin Honeycomb by 3D Printing. Polymers 2020, 13, 19. [Google Scholar] [PubMed]
- Wang, Z.; Wang, X.; Liu, K.; Zhang, J.; Lu, Z. Crashworthiness Index of Honeycomb Sandwich Structures under Low-Speed Oblique Impact. Int. J. Mech. Sci. 2021, 208, 106683. [Google Scholar] [CrossRef]
- Liu, H.; Chang, Z.; Wang, G.; Ng, B. Crashworthiness Improvements of Multi-Cell Thin Walled Tubes Through Lattice Structure Enhancements. Int. J. Mech. Sci. 2021, 190, 106731. [Google Scholar] [CrossRef]
- Asperone, D.; Auricchio, R.; Menna, C.; Morganti, S.; Prota, A.; Reali, A. Statistical Finite Element Analysis of the Buckling Behavior of Honeycomb Structure. Compos. Struct. 2013, 105, 240–255. [Google Scholar] [CrossRef]
- Gibson, L.; Ashby, M. Cellular Solids: Structure and Properties; Cambridge University Press: Boston, MA, USA, 1997. [Google Scholar]
- Gozluklu, B. Interaction Mechanism of Crushing of Tubes and Honeycomb under Axial Loading. Int. J. Crashworthiness 2016, 21, 566–586. [Google Scholar] [CrossRef]
- Hu, L.; He, X.; Wu, G.; Yu, T. Dynamic Crushing of the Circular- Celled Honeycombs Under Out-of-Plane Impact. Int. J. Impact Eng. 2015, 75, 150–161. [Google Scholar]
- Zhu, H.; Mills, N. The In-Plane Non-Linear Compression of Regular Honeycombs. Int. J. Solids Struct. 2000, 37, 1931–1949. [Google Scholar]
- Peng, Y.; Deng, W.; Xu, P.; Yao, S. Study on the Collision Performance of a Composite Energy- Absorbing Structure for Subway Vehicles. Thin-Walled Struct. 2015, 94, 663–672. [Google Scholar] [CrossRef]
- Qiu, C.; Guan, S.; Guo, Z.; Li, Z. Buckling of Honeycomb Structures under Out-of-Plane Loads. J. Sandw. Struct. Mech. 2020, 22, 797–821. [Google Scholar]
- Miller, W.; Smith, C.; Evans, K. Honeycomb Cores with Enhanced Buckling Strength. Compos. Struct. 2011, 93, 1072–1077. [Google Scholar]
- Xie, S.; Zhou, H. Analysis and Optimisation of Parameters Influencing the Out of Plane Energy Absorption of an Aluminium Honeycomb. Thin-Walled Struct. 2015, 89, 169–177. [Google Scholar]
- Li, Z.; Ma, W.; Yao, S.; Xu, P. Crashworthiness Performance of Corrugation-Reinforced Multi-Cell Tubular Structures. Int. J. Mech. Sci. 2021, 190, 106038. [Google Scholar]
- Fang, J.; Sun, G.; Qiu, N.; Pang, T.; Li, S.; Li, Q. On Hierarchical Honeycombs Under Out-of-Plane Crushing. Int. J. Solids Struct. 2018, 135, 1–13. [Google Scholar]
- Liang, H.; Wang, Q.; Pu, Y.; Zao, Y.; Ma, F. In-Plane Compressive Behavior of a Novel Self-Similar Hierarchical Honeycomb with Design-Oriented Crashworthiness. Int. J. Mech. Sci. 2021, 209, 106723. [Google Scholar]
- Hu, D.; Wang, Y.; Song, B.; Dang, L.; Zhang, Z. Energy-Absorption Characteristics of a Bionic Honeycomb Tubular Nested Structure Inspired by Bamboo under Axial Crushing. Compos. Part B Eng. 2019, 162, 21–32. [Google Scholar]
- Khan, M.; Baig, T.; Mirza, S. Experimental Investigation of In-Plane and Out-of-Plane Crushing of Aluminium Honeycomb. Thin-Walled Struct. 2012, 539, 135–142. [Google Scholar]
- Papka, S.; Kyriakides, S. In Plane Compressive Response and Crushing of Honeycomb. J. Mech. Phys. Solids 1994, 42, 1499–1532. [Google Scholar]
- Sun, G.; Li, S.; Liu, Q.; Li, G.; Li, Q. Experimental Study on Crashworthiness of Empty/Aluminum Foam/Honeycomb Filled CFRP Tubes. Compos. Struct. 2016, 152, 969–993. [Google Scholar]
- Zhang, Y.; Zong, Z.; Liu, Q.; Ma, J.; Wu, Y.; Li, Q. Static and Dynamic Crushing Response of CFRP Sandwich Panels Filled with Different Reinforced Materials. Mater. Des. 2017, 117, 296–408. [Google Scholar]
- Joosten, M.; Dutton, S.; Kelly, D.; Thomson, R. Experimental Evaluation of the Crush Energy Absorption of Triggered Composite Sandwich Panels under Quasi-Static Edgewise Compressive Loading. Compos. A 2010, 41, 1099–1106. [Google Scholar]
- Duan, S.; Tao, Y.; Lei, H.; Wen, W.; Lian, J. Enhanced Out-of-Pane Compressive Strength and Energy Absorption of 3D Printed Square and Hexagonal Honeycombs with Variable-Thickness Cell Edges. Extrem. Mech. Lett. 2018, 18, 9–18. [Google Scholar]
- Gordelier, T.; Thies, P.; Turner, L.; Johanning, L. Optimising the FDM Additive Manufacturing Process to Achieve Maximum Tensile Strength: A State-of-the-Art Review. Rapid Prototyp. J. 2019, 25, 953–971. [Google Scholar]
- Raut, S.; Jatti, V.; Khedkar, N.; Singh, T. Investigation of the Effect of Built Orientation on Mechanical Properties and Total Cost of FDM Parts. Procedia Mater. Sci. 2014, 6, 1625–1630. [Google Scholar]
- Joseph, A.; Mahesh, V.; Mahesh, V. Effect of Loading Rates on the In-Plane Compressive Properties of Additively Manufactured ABS and PLA-Based Hexagonal Honeycomb Structures. J. Thermoplast. Compos. Mater. 2021, 36, 1–22. [Google Scholar]
- Ahn, S.; Montero, M.; Odell, D.; Roundy, S.; Wright, P. Anisotropic Material Properties of Fused Deposition Modeling ABS. Rapid Prototyp. J. 2002, 8, 248–257. [Google Scholar]
- Lee, C.; Kim, S.; Kim, H.; Ahn, S. Measurement of Anisotropic Copmressive Strength of Rapid Prototyping Parts. J. Mater. Process. Technol. 2007, 187, 627–630. [Google Scholar]
- Robinson, M.; Soe, S.; Johnston, R.; Adams, R.; Hanna, B.; Burek, R.; McShane, G.; Celeghini, R.; Alves, M.; Theobald, P. Mechanical Characterization of Additively Manufactured Elastomeric Structures for Variable Strain Rate Applications. Addit. Manuf. 2019, 27, 398–407. [Google Scholar]
- Altin, M.; Acar, E.; Guler, M. Crashworthiness Optimization of Hierarchical Hexagonal Honeycombs under Out-of-Plane Impact. J. Mech. Eng. Sci. 2020, 235, 963–974. [Google Scholar]
- Ghosh, D.; Wiest, A.; Conner, R.D. Uniaxial Quasistatic and Dynamic Compressive Response of Foams Made from Hollow Glass Microspheres. J. Eur. Ceram. Soc. 2016, 3, 781–789. [Google Scholar]
- Wilbert, A.; Jang, W.; Kyriakides, S.; Floccari, J. Buckling and Progressive Crushing of Laterally Loaded Honeycomb. Int. J. Solid Struct. 2010, 48, 803–816. [Google Scholar]
- Zhang, J.; Ashby, M. The Out-of- Plane Properties of Honeycombs. Int. J. Mech. Sci. 1992, 34, 475–489. [Google Scholar]













| BI | ||||||
|---|---|---|---|---|---|---|
| [MPa] | [MPa] | [MPa] | [%] | [%] | [-] | |
| 0 | 0.08 | 0.07 | 0.014 | 82.07 | 41.24 | 0.749 |
| 1 | 0.06 | 0.05 | 0.013 | 84.08 | 48.70 | 0.711 |
| V | BI | ||||||
|---|---|---|---|---|---|---|---|
| [m/s] | [MPa] | [MPa] | [MPa] | [%] | [%] | [-] | |
| 0.25 | 0 | 0.18 | 0.167 | 0.016 | 91.34 | 45.97 | 0.733 |
| 0.25 | 1 | 0.16 | 0.130 | 0.030 | 91.46 | 49.73 | 0.702 |
| 0.50 | 0 | 0.19 | 0.181 | 0.008 | 96.02 | 47.49 | 0.720 |
| 0.50 | 1 | 0.20 | 0.161 | 0.038 | 93.86 | 51.72 | 0.706 |
| V | BI | Test | ||||||
|---|---|---|---|---|---|---|---|---|
| m/s | [MPa] | [MPa] | [MPa] | [%] | [%] | [-] | ||
| 0.25 | 0 | 2 | 0.157 | 0.140 | 0.017 | 89.18 | 41.14 | 0.748 |
| 0.25 | 0 | 3 | 0.148 | 0.132 | 0.015 | 89.62 | 41.08 | 0.751 |
| 0.25 | 1 | 2 | 0.130 | 0.107 | 0.023 | 90.17 | 48.20 | 0.708 |
| 0.25 | 1 | 3 | 0.117 | 0.097 | 0.020 | 90.76 | 46.58 | 0.708 |
| 0.50 | 0 | 2 | 0.158 | 0.150 | 0.008 | 95.14 | 43.88 | 0.735 |
| 0.50 | 0 | 3 | 0.149 | 0.141 | 0.008 | 94.53 | 42.50 | 0.735 |
| 0.50 | 1 | 2 | 0.143 | 0.119 | 0.024 | 94.42 | 48.51 | 0.699 |
| 0.50 | 1 | 3 | 0.131 | 0.110 | 0.021 | 93.22 | 48.41 | 0.706 |
| [MPa] | [%] | [MPa] | |||||||
|---|---|---|---|---|---|---|---|---|---|
| BI | Exp | Comp | % Diff | Exp | Comp | % Diff | Exp | Comp | % Diff |
| 0 | 0.086 | 0.096 | 10.4 | 82.07 | 84.13 | 2.48 | 0.07 | 0.08 | 13.3 |
| 1 | 0.065 | 0.061 | 6.15 | 84.08 | 85.73 | 1.94 | 0.06 | 0.05 | 18.1 |
Disclaimer/Publisher’s Note: The statements, opinions and data contained in all publications are solely those of the individual author(s) and contributor(s) and not of MDPI and/or the editor(s). MDPI and/or the editor(s) disclaim responsibility for any injury to people or property resulting from any ideas, methods, instructions or products referred to in the content. |
© 2023 by the authors. Licensee MDPI, Basel, Switzerland. This article is an open access article distributed under the terms and conditions of the Creative Commons Attribution (CC BY) license (https://creativecommons.org/licenses/by/4.0/).
Share and Cite
Murray, C.M.; Mao, M.; Park, J.; Howard, J.; Wereley, N.M. Visco-Elastic Honeycomb Structures with Increased Energy Absorption and Shape Recovery Performance Using Buckling Initiators. Polymers 2023, 15, 3350. https://doi.org/10.3390/polym15163350
Murray CM, Mao M, Park J, Howard J, Wereley NM. Visco-Elastic Honeycomb Structures with Increased Energy Absorption and Shape Recovery Performance Using Buckling Initiators. Polymers. 2023; 15(16):3350. https://doi.org/10.3390/polym15163350
Chicago/Turabian StyleMurray, Colleen M., Min Mao, Jungjin Park, John Howard, and Norman M. Wereley. 2023. "Visco-Elastic Honeycomb Structures with Increased Energy Absorption and Shape Recovery Performance Using Buckling Initiators" Polymers 15, no. 16: 3350. https://doi.org/10.3390/polym15163350
APA StyleMurray, C. M., Mao, M., Park, J., Howard, J., & Wereley, N. M. (2023). Visco-Elastic Honeycomb Structures with Increased Energy Absorption and Shape Recovery Performance Using Buckling Initiators. Polymers, 15(16), 3350. https://doi.org/10.3390/polym15163350

