Investigation of the Shear Behavior of Concrete Beams Reinforced with FRP Rebars and Stirrups Using ANN Hybridized with Genetic Algorithm
Abstract
1. Introduction
2. Overview of Current Shear Design Provisions
3. Methodology
3.1. Experimental Database
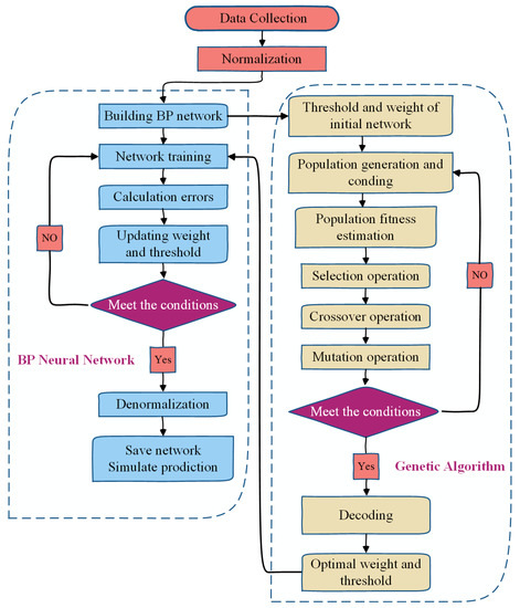
3.2. Neural Networks and Genetic Algorithm–Optimized Neural Network
3.3. Parameter Selection and Determination
3.4. ANN and GA-ANN Models
4. Results and Discussion
4.1. Prediction of Shear Capacity
4.2. Coupling Effect of Parameters on Shear Capacity
4.3. Data-Driven Regression Analysis
5. Conclusions
- (1)
- Existing design codes for the shear capacity of FRP-RC beams exhibit limited accuracy resulting from inconsistent expressions of different design parameters and overlooking the coupling effects between the geometrical configuration and mechanical properties of the reinforcements.
- (2)
- Based on neural interpretation diagrams, the most critical design parameters that affect the shear strength of the FRP-RC beams are determined as beam width and depth, shear span-to-depth ratio, concrete compressive strength, longitudinal and shear reinforcement ratio, and elastic modulus of FRP reinforcements, which are in accordance with most of the existing design codes.
- (3)
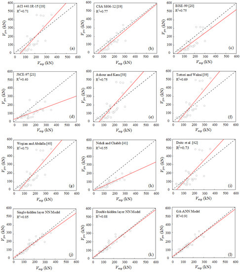
- The prediction accuracy of ANN and GA-ANN models in relation to the shear capacity of FRP-RC beams has been demonstrated through the comparison with the experimental results in the literature. The results of statistical measurements show that the proposed GA-ANN model outperforms the other equations in existing design codes and studies. The proposed GA-ANN model yields a Mean = 0.99, R2 = 0.91, and RMSE = 22.60 kN, which represents a 52.5% improvement in RMSE and 18.2% improvement in terms of R2 in respect to the CSA S806-12 equation as the best equation among the other design equations.
- (4)
- According to the analysis of test and predictive results, the coupling effects between the geomatical configuration and mechanical properties of constitutive materials in FRP-RC have been observed. The shear strength of FRP-RC is increased linearly with the increase in the FRP stirrup reinforcement ratio when the compressive strength is lower than 45 MPa. With the higher concrete strength, the contribution of FRP stirrups to the shear resistance of FRP-RC beams becomes limited, leading to the overestimation of shear capacity of FRP-RC beams in existing design codes.
- (5)
- Based on the GA-ANN model, a simplified design formula has been proposed, incorporating the coupling effects between the design parameters. The proposed model provides more reasonable predictive accuracy in terms of shear capacity of FRP-RC than that of existing design codes, according to the comparison with the experimental results.
- (6)
- The proposed ANN and GA-ANN models are trained to predict the shear behavior of FRP-RC beams within the range of input variables considered. However, they may not demonstrate accuracy when extrapolating beyond this range. In this respect, more experiments need to be conducted to investigate the influences of design factors that affect shear behavior. Only when a sufficient number of data is considered will the proposed models be able to predict the shear capacity of FRP-RC beams in practical applications.
Author Contributions
Funding
Institutional Review Board Statement
Data Availability Statement
Conflicts of Interest
References
- Hollaway, L.C. A review of the present and future utilisation of FRP composites in the civil infrastructure with reference to their important in-service properties. Constr. Build. Mater. 2010, 24, 2419–2445. [Google Scholar] [CrossRef]
- Mugahed Amran, Y.H.; Alyousef, R.; Rashid, R.S.M.; Alabduljabbar, H.; Hung, C.-C. Properties and applications of FRP in strengthening RC structures: A review. Structures 2018, 16, 208–238. [Google Scholar] [CrossRef]
- Hunt, C.J.; Morabito, F.; Grace, C.; Zhao, Y.; Woods, B.K. A review of composite lattice structures. Compos. Struct. 2021, 284, 115120. [Google Scholar] [CrossRef]
- Zou, X.; Lin, H.; Feng, P.; Bao, Y.; Wang, J. A review on FRP-concrete hybrid sections for bridge applications. Compos. Struct. 2020, 262, 113336. [Google Scholar] [CrossRef]
- Zheng, Y.; Yu, T.; Yang, J.; Li, Y.; Sun, C. Investigation of the behaviour of reinforcement-free concrete deck slabs restrained by FRP rods. Eng. Struct. 2017, 135, 191–208. [Google Scholar] [CrossRef]
- Siwowski, T.; Rajchel, M.; Kaleta, D.; Własak, L. The First Polish Road Bridge Made of FRP Composites. Struct. Eng. Int. 2017, 27, 308–314. [Google Scholar] [CrossRef]
- Qin, R.; Lau, D.; Tam, L.-H.; Liu, T.; Zou, D.; Zhou, A. Experimental Investigation on Interfacial Defect Criticality of FRP-Confined Concrete Columns. Sensors 2019, 19, 468. [Google Scholar] [CrossRef]
- Di, B.; Wang, J.; Li, H.; Zheng, J.; Zheng, Y.; Song, G. Investigation of Bonding Behavior of FRP and Steel Bars in Self-Compacting Concrete Structures Using Acoustic Emission Method. Sensors 2019, 19, 159. [Google Scholar] [CrossRef]
- Zhou, A.; Qin, R.; Chow, C.L.; Lau, D. Bond integrity of aramid, basalt and carbon fiber reinforced polymer bonded wood composites at elevated temperature. Compos. Struct. 2020, 245, 112342. [Google Scholar] [CrossRef]
- Lignola, G.P.; Jalayer, F.; Nardone, F.; Prota, A.; Manfredi, G. Probabilistic design equations for the shear capacity of RC members with FRP internal shear reinforcement. Compos. Part B Eng. 2014, 67, 199–208. [Google Scholar] [CrossRef]
- Ali, A.H.; Mohamed, H.M.; Chalioris, C.E.; Deifalla, A. Evaluating the shear design equations of FRP-reinforced concrete beams without shear reinforcement. Eng. Struct. 2021, 235, 112017. [Google Scholar] [CrossRef]
- Ahmed, E.A.; El-Sayed, A.K.; El-Salakawy, E.; Benmokrane, B. Bend Strength of FRP Stirrups: Comparison and Evaluation of Testing Methods. J. Compos. Constr. 2010, 14, 3–10. [Google Scholar] [CrossRef]
- Ahmed, E.A.; El-Salakawy, E.F.; Benmokrane, B. Shear Performance of RC Bridge Girders Reinforced with Carbon FRP Stirrups. J. Bridg. Eng. 2010, 15, 44–54. [Google Scholar] [CrossRef]
- Nagasaka, T.; Fukuyama, H.; Tanigaki, M. Shear Performance of Concrete Beams Reinforced With FRP Stirrups. Spec. Publ. 1993, 138, 789–812. [Google Scholar] [CrossRef]
- Shehata, E.; Morphy, R.; Rizkalla, S. Fibre reinforced polymer shear reinforcement for concrete members: Behaviour and design guidelines. Can. J. Civ. Eng. 2000, 27, 859–872. [Google Scholar] [CrossRef]
- Tomlinson, D.; Fam, A. Performance of Concrete Beams Reinforced with Basalt FRP for Flexure and Shear. J. Compos. Constr. 2015, 19, 04014036. [Google Scholar] [CrossRef]
- Fathalla, E.; Rajapakse, R.; Mihaylov, B.I. Modeling the shear behavior of deep beams strengthened with FRP sheets. Eng. Struct. 2022, 260, 114232. [Google Scholar] [CrossRef]
- ACI 440.1R-15; Guide for the Design and Construction of Structural Concrete Reinforced with Firber-Reinforced Polymer (FRP) Bars. American Concrete Institute: Farmington Hills, MI, USA, 2015.
- GB/T 36262-2018; Fibre Reinforced Polymer Composite Grids for Civil Engineering. Standardization Administration of China: Beijing, China, 2018.
- BISE 1999; Interim Guidance on The Design of Reinforced Concrete Structures Using Fibre Composite Reinforcement. IStructE, SETO Ltd.: London, UK, 1999.
- JSCE 1997; Recommendation for Design and Construction of Concrete Structures Using Continuous Fiber Reinforcing Materials. Japan Society of Civil Engineers: Tokyo, Japan, 1997.
- Razaqpur, A.G.; Spadea, S. Shear Strength of FRP Reinforced Concrete Members with Stirrups. J. Compos. Constr. 2015, 19, 04014025. [Google Scholar] [CrossRef]
- Solhmirzaei, R.; Salehi, H.; Kodur, V.; Naser, M. Machine learning framework for predicting failure mode and shear capacity of ultra high performance concrete beams. Eng. Struct. 2020, 224, 111221. [Google Scholar] [CrossRef]
- Truong, G.T.; Hwang, H.-J.; Kim, C.-S. Assessment of punching shear strength of FRP-RC slab-column connections using machine learning algorithms. Eng. Struct. 2022, 255, 113898. [Google Scholar] [CrossRef]
- Marani, A.; Nehdi, M.L. Predicting shear strength of FRP-reinforced concrete beams using novel synthetic data driven deep learning. Eng. Struct. 2022, 257, 114083. [Google Scholar] [CrossRef]
- Jahangir, H.; Eidgahee, D.R. A new and robust hybrid artificial bee colony algorithm—ANN model for FRP-concrete bond strength evaluation. Compos. Struct. 2020, 257, 113160. [Google Scholar] [CrossRef]
- Huang, L.; Chen, J.; Tan, X. BP-ANN based bond strength prediction for FRP reinforced concrete at high temperature. Eng. Struct. 2022, 257, 114026. [Google Scholar] [CrossRef]
- Naderpour, H.; Alavi, S. A proposed model to estimate shear contribution of FRP in strengthened RC beams in terms of Adaptive Neuro-Fuzzy Inference System. Compos. Struct. 2017, 170, 215–227. [Google Scholar] [CrossRef]
- Abuodeh, O.R.; Abdalla, J.A.; Hawileh, R.A. Prediction of shear strength and behavior of RC beams strengthened with externally bonded FRP sheets using machine learning techniques. Compos. Struct. 2019, 234, 111698. [Google Scholar] [CrossRef]
- Shahnewaz, M.; Machial, R.; Alam, M.S.; Rteil, A. Optimized shear design equation for slender concrete beams reinforced with FRP bars and stirrups using Genetic Algorithm and reliability analysis. Eng. Struct. 2016, 107, 151–165. [Google Scholar] [CrossRef]
- Ebid, A.M.; Deifalla, A. Prediction of shear strength of FRP reinforced beams with and without stirrups using (GP) technique. Ain Shams Eng. J. 2021, 12, 2493–2510. [Google Scholar] [CrossRef]
- Kara, I.F. Prediction of shear strength of FRP-reinforced concrete beams without stirrups based on genetic programming. Adv. Eng. Softw. 2011, 42, 295–304. [Google Scholar] [CrossRef]
- Lee, S.; Lee, C. Prediction of shear strength of FRP-reinforced concrete flexural members without stirrups using artificial neural networks. Eng. Struct. 2014, 61, 99–112. [Google Scholar] [CrossRef]
- Jumaa, G.B.; Yousif, A.R. Predicting Shear Capacity of FRP-Reinforced Concrete Beams without Stirrups by Artificial Neural Networks, Gene Expression Programming, and Regression Analysis. Adv. Civ. Eng. 2018, 2018, 5157824. [Google Scholar] [CrossRef]
- Naderpour, H.; Poursaeidi, O.; Ahmadi, M. Shear resistance prediction of concrete beams reinforced by FRP bars using artificial neural networks. Measurement 2018, 126, 299–308. [Google Scholar] [CrossRef]
- Golafshani, E.M.; Ashour, A. A feasibility study of BBP for predicting shear capacity of FRP reinforced concrete beams without stirrups. Adv. Eng. Softw. 2016, 97, 29–39. [Google Scholar] [CrossRef]
- Wakjira, T.G.; Al-Hamrani, A.; Ebead, U.; Alnahhal, W. Shear capacity prediction of FRP-RC beams using single and ensenble ExPlainable Machine learning models. Compos. Struct. 2022, 287, 115381. [Google Scholar] [CrossRef]
- Ashour, A.F.; Kara, I.F. Size effect on shear strength of FRP reinforced concrete beams. Compos. Part B Eng. 2014, 60, 612–620. [Google Scholar] [CrossRef]
- Tottori, S.; Wakui, H. Shear Capacity of RC and PC Beams Using FRP Reinforcement. Spec. Publ. 1993, 138, 615–632. [Google Scholar] [CrossRef]
- Wegian, F.; Abdalla, H. Shear capacity of concrete beams reinforced with fiber reinforced polymers. Compos. Struct. 2005, 71, 130–138. [Google Scholar] [CrossRef]
- Nehdi, M.; El Chabib, H.; Saïd, A.A. Proposed Shear Design Equations for FRP-Reinforced Concrete Beams Based on Genetic Algorithms Approach. J. Mater. Civ. Eng. 2007, 19, 1033–1042. [Google Scholar] [CrossRef]
- Deitz, D.H.; Harik, I.E.; Gesund, H. One-Way Slabs Reinforced with Glass Fiber Reinforced Polymer Reinforcing Bars. Spec. Publ. 1999, 188, 279–286. [Google Scholar] [CrossRef]
- Jumaa, G.B.; Yousif, A.R. Size effect on the shear failure of high-strength concrete beams reinforced with basalt FRP bars and stirrups. Constr. Build. Mater. 2019, 209, 77–94. [Google Scholar] [CrossRef]
- Okamoto, T.; Nagasaka, T.; Tanigaki, M. Shear Capacity of Concrete Beams Using Frp Reinforcement. J. Struct. Constr. Eng. 1994, 59, 127–136. [Google Scholar] [CrossRef]
- Bentz, E.C.; Massam, L.; Collins, M.P. Shear Strength of Large Concrete Members with FRP Reinforcement. J. Compos. Constr. 2010, 14, 637–646. [Google Scholar] [CrossRef]
- Duranovic, N.; Pilakoutas, K.; Waldron, P. Tests on Concrete Beams Reinforced with Glass Fibre Reinforced Plastic Bars. In Proceedings of the Third International Symposium on Non-Metallic (FRP) Reinforcement for Concrete Structures (FRPRCS-3), Sapporo, Japan, 14–16 October 1997. [Google Scholar]
- Issa, M.A.; Ovitigala, T.; Ibrahim, M. Shear Behavior of Basalt Fiber Reinforced Concrete Beams with and without Basalt FRP Stirrups. J. Compos. Constr. 2016, 20, 04015083. [Google Scholar] [CrossRef]
- Maruyama, K.; Zhao, W.J. Flexural and Shear Behaviour of Concrete Beams Reinforced by FRP Rods. In Corrosion and Corrosion Protection of Steel in Concrete, Proceedings of International Conference, Sheffield, United Kingdom, 24–28 July 1994; Sheffield Academic Press: Sheffield, UK; pp. 1130–1139.
- Maruyama, K.; Zhao, W. Size Effect in Shear Behavior of FRP Reinforced Concrete Beams. In Proceedings of the 2nd International Conference on Advanced Composite Materials in Bridges and Structures, Montreal, QC, Canada, 11–14 August 1996; pp. 227–234. [Google Scholar]
- Zhao, W.; Maruyama, K.; Suzuki, H. Shear Behavior of Concrete Beams Reinforced by FRP Rods as Longitudinal and Shear Reinforcement. In Proceedings of the Second International RILEM Symposium on Non-Metallic (FRP) Reinforcement6 for Concrete Structures, Ghent, Belgium, 23–25 August 1995; pp. 352–359. [Google Scholar]
- Nakamura, H.; Higai, T. Evaluation of shear strength of concrete beams reinforced with FRP. Doboku Gakkai Ronbunshu 1995, 1995, 89–100. [Google Scholar] [CrossRef]
- Vijay, P.V.; Kumar, S.V.; GangaRao, H.V.S. Shear and ductility behavior of concrete beams reinforced with gfrp rebars. In Proceedings of the 2nd International Conference on Advanced Composite Materials in Bridges and Structures, ACMBS-II, Montreal, Montreal, QC, Canada, 11–14 August 1996. [Google Scholar]
- Niewels, J. Zum Tragverhalten von Botonbauteilen Mit Faserverbundkunststoff-Bewerhung; Aachen University: Aachen, Germany, 2008. [Google Scholar]
- Ascione, L.; Mancusi, G.; Spadea, S. Flexural Behaviour of Concrete Beams Reinforced with GFRP Bars. Strain 2010, 46, 460–469. [Google Scholar] [CrossRef]
- Ke, C.; Chuntao, Z.; Lei, W. Experimental Study on Shear Behavior of Concrete Beams Reinforced with CFRP Tendons. Build. Sci. 2019, 35, 57–63. [Google Scholar]
- Alsayed, S.; Al-Salloum, Y.; Almusallam, T. Shear Design for Beams Reinforced by GFRP Bars. Non-Metallic (FRP) Reinforcement for Concrete Structures. In Proceedings of the Third International Symposium, Sapporo, Japan, 14–16 October 1997; pp. 285–292. [Google Scholar]
- Said, M.; Adam, M.; Mahmoud, A.A.; Shanour, A.S. Experimental and analytical shear evaluation of concrete beams reinforced with glass fiber reinforced polymers bars. Constr. Build. Mater. 2016, 102, 574–591. [Google Scholar] [CrossRef]
- Li, S. Experiment Studies on the Shear Performance of SeaSand Concrete Beam with BFRP Tendons; Guangdong University of Technology: Guangzhou, China, 2014. [Google Scholar]
- Imjai, T.; Guadagnini, M.; Garcia, R.; Pilakoutas, K. A practical method for determining shear crack induced deformation in FRP RC beams. Eng. Struct. 2016, 126, 353–364. [Google Scholar] [CrossRef]
- Hou, M. Experiment Studies on the Shear Performance of Concrete Beam with CFRP Bars; Southwest University of Science and Technology: Mianyang, China, 2017. [Google Scholar]
- Hecht-Nielsen, R. Theory of the backpropagation neural network. Neural Netw. 1988, 1, 445. [Google Scholar] [CrossRef]
- Holland, J.H. Genetic Algorithms. Sci. Am. 1992, 267, 66–72. [Google Scholar] [CrossRef]
- Chandwani, V.; Agrawal, V.; Nagar, R. Modeling slump of ready mix concrete using genetic algorithms assisted training of Artificial Neural Networks. Expert Syst. Appl. 2015, 42, 885–893. [Google Scholar] [CrossRef]
- Yan, F.; Lin, Z.; Wang, X.; Azarmi, F.; Sobolev, K. Evaluation and prediction of bond strength of GFRP-bar reinforced concrete using artificial neural network optimized with genetic algorithm. Compos. Struct. 2017, 161, 441–452. [Google Scholar] [CrossRef]
- Guo, B.; Lin, X.; Wu, Y.; Zhang, L. Machine learning-driven evaluation and optimisation of compression yielded FRP-reinforced concrete beam with T section. Eng. Struct. 2023, 275, 115240. [Google Scholar] [CrossRef]
- Aoki, I.; Komatsu, T. Analysis and Prediction of the Fluctuation of Sardine Abundance Using a Neural Network. Oceanol. Acta 1997, 20, 81–88. [Google Scholar]
- Özesmi, S.L.; Özesmi, U. An artificial neural network approach to spatial habitat modelling with interspecific interaction. Ecol. Model. 1999, 116, 15–31. [Google Scholar] [CrossRef]












| Reference | ||
|---|---|---|
| ACI 440.1R-15 [18] | ||
| CSA S806-12 [19] | 1 | |
| BISE-99 [20] | ||
| JSCE-97 [21] | ||
| Ashour and Kara [38] | ||
| Tottori and Wakui [39] | ||
| Wegian and Abdalla [40] | ||
| Nehdi and Chabib [41] | ||
| Deitz et al. [42] |
| Source | No. | Geometrical Characteristics | Concrete | Longitudinal Reinforcement | Shear Reinforcement | Vexp (kN) | |||||||||
|---|---|---|---|---|---|---|---|---|---|---|---|---|---|---|---|
| L (mm) | b (mm) | d (mm) | a/d | fc′ (MPa) | Typel | ρfl (%) | Efl (GPa) | fful (MPa) | Typev | ρfv (%) | Efv (GPa) | ffuv (MPa) | |||
| Nagasaka et al. [14] | 22 | 600–1200 | 250 | 253 | 1.19–2.37 | 22.6–39.2 | A | 1.9 | 56 | 1295 | A, C | 0.5–1.48 | 44–112 | 481–903 | 158.9–359 |
| Shehata et al. [15] | 2 | 7000 | 135 | 470 | 3.19 | 50 | C | 1.25 | 137 | 2200 | C, G | 0.36, 1.07 | 41–137 | 640–1730 | 304.5–305 |
| Tomlinson and Fam [16] | 3 | 2900 | 150 | 245–270 | 4.07–4.5 | 51 | B | 0.39–0.51 | 70 | 1100 | B | 0.17 | 70 | 1100 | 36.4–53.5 |
| Jumaa and Yousif [43] | 1 | 1800 | 200 | 234 | 2.60 | 73.4 | B | 2.97 | 58 | 1200 | B | 0.63 | 56 | 1100 | 190.1 |
| Razaqpur and Spadea [22] | 6 | 2000 | 150 | 170 | 4.12 | 20–25.4 | G | 0.62–1.54 | 46–115 | 970–2000 | G | 0.29 | 46–115 | 970–2000 | 20.5–39.8 |
| Tottori and Wakui [39] | 3 | 1800 | 150–300 | 250–325 | 2.50–3.20 | 31.9–44.9 | A, C | 0.55–3.08 | 58–140 | 900–2100 | A, C | 0.04–0.13 | 53–144 | 500–1000 | 58–160 |
| Maruyama and Zhao [44] | 9 | 3000 | 150 | 250 | 3.00 | 30.5–38.3 | C | 0.5–2.11 | 94 | 1308 | C | 0.12–0.24 | 94 | 1308 | 59–119.5 |
| Maruyama and Zhao [45] | 4 | 1800–3750 | 150–450 | 250–750 | 2.50 | 29.5–34 | C | 1.04 | 100 | 1100 | G | 0.43–0.86 | 30 | 600 | 109.2–599.3 |
| Zhao et al. [46] | 5 | 1800–2000 | 150 | 250 | 2.00–4.00 | 34.3 | C | 1.51–3.03 | 105 | 1124 | C, G | 0.42 | 39 | 1100 | 73.8–126.6 |
| Nakamura and Higai [47] | 3 | 1500 | 200 | 250 | 3.00 | 34 | G | 1.61 | 29 | 751 | G | 0.18–0.35 | 31 | 828 | 61.9–100.8 |
| Vijay et al. [48] | 3 | 2500 | 150 | 265 | 1.89 | 31–44.8 | G | 0.67–1.43 | 54 | 655 | G | 0.56–0.83 | 142 | 655 | 116–127.8 |
| Niewels [49] | 7 | 2660–4500 | 300 | 404–441 | 3.02–3.71 | 29.1–48.3 | G | 3.25–3.98 | 44–63 | 480–1000 | G | 0.11–0.54 | 31–52 | 322–524 | 220–362 |
| Ascione et al. [50] | 6 | 2000 | 150 | 170 | 4.12 | 20–25.4 | C, G | 0.62–1.54 | 46–115 | 970–2000 | C, G | 0.28 | 46–115 | 970–2000 | 20.5–39.8 |
| Chen et al. [51] | 3 | 2100 | 200 | 310 | 1–1.94 | 30 | C | 0.97 | 175 | 2102.4 | C | 0.17–0.22 | 175 | 2102.4 | 197.7–215.4 |
| Alsayed et al. [52] | 5 | 1800 | 200 | 310 | 2.40–3.20 | 35 | G | 1.28–1.37 | 36–43 | 565 | G | 0.21–0.4 | 42 | 565 | 57.8–109 |
| Said et al. [53] | 9 | 1800 | 120 | 260 | 2.00 | 19.6–59.2 | G | 1.09–2.2 | 32 | 580 | G | 0.43–0.92 | 32 | 640 | 77–175.5 |
| Li [54] | 5 | 1000 | 150 | 215 | 1.16 | 28.3–49.3 | B | 0.96 | 55 | 1100 | B | 0.45–1.34 | 55 | 1100 | 135–184.4 |
| Imjai et al. [55] | 5 | 2300 | 150 | 220 | 3.50 | 50 | G | 1.22–1.3 | 45–60 | 700–1000 | G | 0.18–0.48 | 27 | 720 | 36.9–66.9 |
| Hou [56] | 1 | 2100 | 200 | 302 | 1.94 | 29.61 | C | 1 | 179 | 2196 | C | 0.17 | 159 | 914.5 | 150 |
| Okamoto et al. [57] | 11 | 600–1200 | 250 | 253 | 1.19–2.37 | 28.9–37.7 | A | 1.71 | 61 | 1167 | A, C | 0.51–1.5 | 61–113 | 822–903 | 158.9–359 |
| Bentz et al. [58] | 3 | 3050–7100 | 450 | 405–937 | 3.26 | 37.7 | G | 0.51–2.36 | 37 | 397 | G | 0.09 | 41 | 760 | 154–500 |
| Duranovic et al. [59] | 2 | 2300 | 150 | 210 | 2.44–3.65 | 40 | G | 1.36 | 45 | 1000 | G | 0.17 | 45 | 1000 | 49.8–67.4 |
| Issa et al. [60] | 2 | 3050 | 200 | 265 | 1.50–2.50 | 35.9 | B | 1.17–1.92 | 50 | 1060 | B | 0.65 | 53 | 1070 | 134.7–192.1 |
| Mean | / | 2056 | 202 | 279 | 2.59 | 35.26 | / | 1.59 | 66 | 1112.51 | / | 0.57 | 69 | 923 | 158.9 |
| Standard deviation | / | 1270.29 | 70.45 | 112.67 | 0.91 | 9.90 | / | 0.72 | 31.62 | 411.04 | / | 0.42 | 38.41 | 374.02 | 102.28 |
| Minimum | / | 600 | 120 | 170 | 1 | 19.6 | / | 0.39 | 29 | 397 | / | 0.04 | 27 | 322 | 20.5 |
| Maximum | / | 7100 | 450 | 937 | 4.5 | 73.4 | / | 3.98 | 179 | 2200 | / | 1.5 | 175 | 2102 | 599.3 |
| Total | 120 | 600–7100 | 120–450 | 170–937 | 1–4.5 | 19.6–73.4 | / | 0.39–3.98 | 29–179 | 397–2200 | / | 0.04–1.5 | 27–175 | 322–2102 | 20.5–599.3 |
| Model | Min | Max | Mean | SD (kN) | COV (%) | RMSE (kN) | MAE (kN) | R2 |
|---|---|---|---|---|---|---|---|---|
| ACI 440.1R-15 [18] | 0.47 | 4.05 | 1.77 | 0.910 | 51.48 | 90.46 | 73.95 | 0.71 |
| CSA S806-12 [19] | 0.83 | 2.11 | 1.31 | 0.299 | 22.88 | 47.61 | 31.04 | 0.77 |
| BISE-99 [20] | 0.69 | 2.83 | 1.69 | 0.573 | 34.41 | 66.37 | 56.37 | 0.75 |
| JSCE-97 [21] | 0.79 | 2.50 | 1.38 | 0.438 | 31.71 | 76.05 | 56.00 | 0.40 |
| Ashour and Kara [38] | 0.46 | 3.15 | 1.51 | 0.718 | 47.62 | 88.53 | 68.69 | 0.75 |
| Tottori and Wakui [39] | 0.44 | 2.32 | 1.28 | 0.523 | 40.84 | 91.89 | 65.85 | 0.69 |
| Wegian and Abdalla [40] | 0.45 | 2.64 | 1.40 | 0.619 | 44.27 | 89.64 | 67.27 | 0.73 |
| Nehdi and Chabib [41] | 0.94 | 2.58 | 1.51 | 0.378 | 25.06 | 56.61 | 47.16 | 0.55 |
| Deitz et al. [42] | 0.45 | 2.63 | 1.28 | 0.572 | 44.64 | 89.36 | 67.15 | 0.73 |
| Single-hidden layer NN | 0.67 | 1.47 | 1.02 | 0.179 | 17.57 | 29.26 | 21.14 | 0.85 |
| Double-hidden layer NN | 0.74 | 1.26 | 1.00 | 0.155 | 15.49 | 26.22 | 19.58 | 0.88 |
| Genetic algorithm-optimized NN | 0.66 | 1.26 | 0.99 | 0.145 | 14.81 | 22.60 | 16.14 | 0.91 |
| Group | (mm) | (mm) | ||||||
|---|---|---|---|---|---|---|---|---|
| 1 | 250 | 250–550 | 1–4 | 30 | 2 | 56 | 0.5 | 112 |
| 2 | 250 | 250 | 2 | 30–60 | 2 | 56 | 0.4–1 | 46 |
| 3 | 250 | 250 | 2 | 40 | 0.5–1.5 | 50–120 | 0.5 | 46 |
| 200–400 | 250–1050 | 1–4 | 30–60 | 0.14–0.98 | 0.2–1 | 40–120 |
Disclaimer/Publisher’s Note: The statements, opinions and data contained in all publications are solely those of the individual author(s) and contributor(s) and not of MDPI and/or the editor(s). MDPI and/or the editor(s) disclaim responsibility for any injury to people or property resulting from any ideas, methods, instructions or products referred to in the content. |
© 2023 by the authors. Licensee MDPI, Basel, Switzerland. This article is an open access article distributed under the terms and conditions of the Creative Commons Attribution (CC BY) license (https://creativecommons.org/licenses/by/4.0/).
Share and Cite
Di, B.; Qin, R.; Zheng, Y.; Lv, J. Investigation of the Shear Behavior of Concrete Beams Reinforced with FRP Rebars and Stirrups Using ANN Hybridized with Genetic Algorithm. Polymers 2023, 15, 2857. https://doi.org/10.3390/polym15132857
Di B, Qin R, Zheng Y, Lv J. Investigation of the Shear Behavior of Concrete Beams Reinforced with FRP Rebars and Stirrups Using ANN Hybridized with Genetic Algorithm. Polymers. 2023; 15(13):2857. https://doi.org/10.3390/polym15132857
Chicago/Turabian StyleDi, Bo, Renyuan Qin, Yu Zheng, and Jiamei Lv. 2023. "Investigation of the Shear Behavior of Concrete Beams Reinforced with FRP Rebars and Stirrups Using ANN Hybridized with Genetic Algorithm" Polymers 15, no. 13: 2857. https://doi.org/10.3390/polym15132857
APA StyleDi, B., Qin, R., Zheng, Y., & Lv, J. (2023). Investigation of the Shear Behavior of Concrete Beams Reinforced with FRP Rebars and Stirrups Using ANN Hybridized with Genetic Algorithm. Polymers, 15(13), 2857. https://doi.org/10.3390/polym15132857

