Tailored Dynamic Viscoelasticity of Polyurethanes Based on Different Diols
Abstract
1. Introduction
2. Materials and Methods
2.1. Materials
2.2. Synthesis Methods
2.3. Characterizations
3. Results
3.1. Characterizations of CPUs with Different Soft Segments
3.2. Characterizations of CPUs with Different Chain Extenders
3.2.1. The Degree of Hydrogen Bonding and Thermal Properties
3.2.2. Micro-Phase Separation Structure
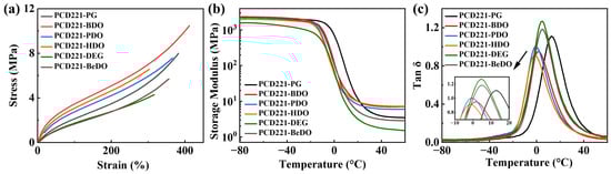
3.2.3. Mechanical Properties and Dynamic Viscoelasticity
4. Conclusions
Supplementary Materials
Author Contributions
Funding
Institutional Review Board Statement
Data Availability Statement
Conflicts of Interest
References
- Fu, Y.; Kabir, I.I.; Yeoh, G.H.; Peng, Z. A Review on Polymer-Based Materials for Underwater Sound Absorption. Polym. Test. 2021, 96, 107115. [Google Scholar] [CrossRef]
- Xiaolin, J.; Min, X.; Minhui, W.; Yuanhao, M.; Wencong, Z.; Yanan, Z.; Haoxiang, R.; Xun, L. Preparation and Molecular Dynamics Study of Polyurethane Damping Elastomer Containing Dynamic Disulfide Bond and Multiple Hydrogen Bond. Eur. Polym. J. 2022, 162, 110893. [Google Scholar] [CrossRef]
- Hu, S.; Wu, Y.; Fu, G.; Shou, T.; Zhai, M.; Yin, D.; Zhao, X. Bio-Based Polyurethane and Its Composites Towards High Damping Properties. Int. J. Mol. Sci. 2022, 23, 6618. [Google Scholar] [CrossRef] [PubMed]
- Lv, X.; Huang, Z.; Huang, C.; Shi, M.; Gao, G.; Gao, Q. Damping Properties and the Morphology Analysis of the Polyurethane/Epoxy Continuous Gradient Ipn Materials. Compos. Part B Eng. 2016, 88, 139–149. [Google Scholar] [CrossRef]
- Zhao, X.; Fu, G.; Wang, Y.; Wu, Y.; Shou, T.; Yin, D.; Li, X.; Hu, S.; Zhang, L. Bio-Based Polyurethane/Hindered Phenol Ao-80 Composites for Room Temperature High Damping Properties. Compos. Part B Eng. 2022, 243, 110118. [Google Scholar] [CrossRef]
- Zhao, X.; Jin, R.; Niu, Z.; Gao, Y.; Hu, S. Fabrication of Polyurethane Elastomer/Hindered Phenol Composites with Tunable Damping Property. Int. J. Mol. Sci. 2023, 24, 4662. [Google Scholar] [CrossRef]
- Xiao, S.; Hossain, M.M.; Liu, P.; Wang, H.; Hu, F.; Sue, H.-J. Scratch Behavior of Model Polyurethane Elastomers Containing Different Soft Segment Types. Mater. Des. 2017, 132, 419–429. [Google Scholar] [CrossRef]
- Liu, X.; Zhao, S.; Zhang, X.; Li, X.; Bai, Y. Preparation, Structure, and Properties of Solution-Polymerized Styrene-Butadiene Rubber with Functionalized End-Groups and Its Silica-Filled Composites. Polymer 2014, 55, 1964–1976. [Google Scholar] [CrossRef]
- Lei, W.; Zhou, X.; Russell, T.P.; Hua, K.-C.; Yang, X.; Qiao, H.; Wang, W.; Li, F.; Wang, R.; Zhang, L. High Performance Bio-Based Elastomers: Energy Efficient and Sustainable Materials for Tires. J. Mater. Chem. A 2016, 4, 13058–13062. [Google Scholar] [CrossRef]
- Qin, X.; Wang, J.; Zhang, Y.; Wang, Z.; Li, S.; Zhao, S.; Tan, T.; Liu, J.; Zhang, L.; Matyjaszewski, K. Self-Assembly Strategy for Double Network Elastomer Nanocomposites with Ultralow Energy Consumption and Ultrahigh Wear Resistance. Adv. Funct. Mater. 2020, 30, 2003429. [Google Scholar] [CrossRef]
- Kong, L.; Li, F.; Wang, F.; Miao, Y.; Huang, X.; Zhu, H.; Lu, Y. In Situ Assembly of SiO2 Nanodots/Layered Double Hydroxide Nanocomposite for the Reinforcement of Solution-Polymerized Butadiene Styrene Rubber/Butadiene Rubber. Compos. Sci. Technol. 2018, 158, 9–18. [Google Scholar] [CrossRef]
- Xu, C.; Tian, Y.; Xiong, Z.; Wang, J.; Yang, B.; Wang, R.; Mao, L.; Qin, X.; Zhang, L. Fabrication of Polydimethylsiloxane-Based Thermoplastic Polyurethanes with Excellent Toughness and Cold Resistance. ACS Appl. Polym. Mater. 2022, 4, 1551–1558. [Google Scholar] [CrossRef]
- Alinejad, M.; Henry, C.; Nikafshar, S.; Gondaliya, A.; Bagheri, S.; Chen, N.; Singh, S.K.; Hodge, D.B.; Nejad, M. Lignin-Based Polyurethanes: Opportunities for Bio-Based Foams, Elastomers, Coatings and Adhesives. Polymers 2019, 11, 1202. [Google Scholar] [CrossRef] [PubMed]
- Akindoyo, J.O.; Beg, M.D.H.; Ghazali, S.; Islam, M.R.; Jeyaratnam, N.; Yuvaraj, A.R. Polyurethane Types, Synthesis and Applications—A Review. RSC Adv. 2016, 6, 114453–114482. [Google Scholar] [CrossRef]
- Puszka, A. Thermal and Mechanical Behavior of New Transparent Thermoplastic Polyurethane Elastomers Derived from Cycloaliphatic Diisocyanate. Polymers 2018, 10, 537. [Google Scholar] [CrossRef] [PubMed]
- Choi, W.-C.; Gavande, V.; Kim, D.-Y.; Lee, W.-K. Study on Press Formability and Properties of UV-Curable Polyurethane Acrylate Coatings with Different Reactive Diluents. Polymers 2023, 15, 880. [Google Scholar] [CrossRef] [PubMed]
- Olivito, F.; Algieri, V.; Jiritano, A.; Tallarida, M.A.; Costanzo, P.; Maiuolo, L.; De Nino, A. Bio-Based Polyurethane Foams for the Removal of Petroleum-Derived Pollutants: Sorption in Batch and in Continuous-Flow. Polymers 2023, 15, 1785. [Google Scholar] [CrossRef]
- Jiang, L.; Wu, J.; Nedolisa, C.; Saiani, A.; Assender, H.E. Phase Separation and Crystallization in High Hard Block Content Polyurethane Thin Films. Macromolecules 2015, 48, 5358–5366. [Google Scholar] [CrossRef]
- Czifrák, K.; Lakatos, C.; Karger-Kocsis, J.; Daróczi, L.; Zsuga, M.; Kéki, S. One-Pot Synthesis and Characterization of Novel Shape-Memory Poly(Ε-Caprolactone) Based Polyurethane-Epoxy Co-Networks with Diels–Alder Couplings. Polymers 2018, 10, 504. [Google Scholar] [CrossRef] [PubMed]
- Klinedinst, D.B.; Yilgör, I.; Yilgör, E.; Zhang, M.; Wilkes, G.L. The Effect of Varying Soft and Hard Segment Length on the Structure–Property Relationships of Segmented Polyurethanes Based on a Linear Symmetric Diisocyanate, 1,4-Butanediol and PTMO Soft Segments. Polymer 2012, 53, 5358–5366. [Google Scholar] [CrossRef]
- Huang, Y.; Wu, H.; Li, W.; Yuan, Z.; Wu, Q.; Li, R.; Wu, J. A Healable Poly(Urethane-Urea) Elastomer with Ultra-High Mechanical Strength Enabled by Tailoring Multiple Relaxation Dynamics of Hierarchical Hard Domains. J. Mater. Chem. A 2022, 10, 24290–24300. [Google Scholar] [CrossRef]
- Liu, Y.; Liu, L.; Liang, Y. Relationship between Structure and Dynamic Mechanical Properties of Thermoplastic Polyurethane Elastomer Containing Bi-Soft Segment. J. Appl. Polym. Sci. 2020, 137, 49414. [Google Scholar] [CrossRef]
- Santamaria-Echart, A.; Fernandes, I.; Barreiro, F.; Corcuera, M.A.; Eceiza, A. Advances in Waterborne Polyurethane and Polyurethane-Urea Dispersions and Their Eco-Friendly Derivatives: A Review. Polymers 2021, 13, 409. [Google Scholar] [CrossRef] [PubMed]
- Li, L.; Tian, B.; Li, L.; Shi, M.; Guan, Y.; Liu, H. Preparation and Characterization of Silicone Oil Modified Polyurethane Damping Materials. J. Appl. Polym. Sci. 2019, 136, 47579. [Google Scholar] [CrossRef]
- Asensio, M.; Ferrer, J.-F.; Nohales, A.; Culebras, M.; Gómez, C.M. The Role of Diisocyanate Structure to Modify Properties of Segmented Polyurethanes. Materials 2023, 16, 1633. [Google Scholar] [CrossRef] [PubMed]
- Sadeghi, M.; Semsarzadeh, M.A.; Barikani, M.; Ghalei, B. Study on the Morphology and Gas Permeation Property of Polyurethane Membranes. J. Membr. Sci. 2011, 385–386, 76–85. [Google Scholar] [CrossRef]
- Shin, E.J.; Jung, Y.S.; Choi, H.Y.; Lee, S. Synthesis and Fabrication of Biobased Thermoplastic Polyurethane Filament for FDM 3D Printing. J. Appl. Polym. Sci. 2022, 139, e52959. [Google Scholar] [CrossRef]
- Pourmohammadi-Mahunaki, M.; Haddadi-Asl, V.; Roghani-Mamaqani, H.; Koosha, M.; Yazdi, M. Effect of Chain Extender Length and Molecular Architecture on Phase Separation and Rheological Properties of Ether-Based Polyurethanes. Polym. Bull. 2022, 79, 8653–8668. [Google Scholar] [CrossRef]
- Peng, Z.; Zhou, P.; Zhang, F.; Peng, X. Preparation and Properties of Polyurethane Hydrogels Based on Hexamethylene Diisocyanate/Polycaprolactone-Polyethylene Glycol. J. Macromol. Sci. B 2018, 57, 187–195. [Google Scholar] [CrossRef]
- Zhou, J.; Li, H.; Lu, X. Damping Elastomer with Broad Temperature Range Based on Irregular Networks Containing Hyperbranched Polyester and Dangling Chains. Polym. Adv. Technol. 2018, 29, 2308–2316. [Google Scholar] [CrossRef]
- Samson, N.; Mechin, F.; Pascault, J.-P. Relationships between Synthesis and Mechanical Properties of New Polyurea Materials. J. Appl. Polym. Sci. 1997, 65, 2265–2280. [Google Scholar] [CrossRef]
- Saba, N.; Jawaid, M.; Alothman, O.Y.; Paridah, M.T. A Review on Dynamic Mechanical Properties of Natural Fibre Reinforced Polymer Composites. Constr. Build. Mater. 2016, 106, 149–159. [Google Scholar] [CrossRef]
- Van de Witte, P.; Dijkstra, P.J.; van den Berg, J.W.A.; Feijen, J. Phase Separation Processes in Polymer Solutions in Relation to Membrane Formation. J. Membr. Sci. 1996, 117, 1–31. [Google Scholar] [CrossRef]
- Jawaid, M.; Abdul Khalil, H.P.S.; Hassan, A.; Dungani, R.; Hadiyane, A. Effect of Jute Fibre Loading on Tensile and Dynamic Mechanical Properties of Oil Palm Epoxy Composites. Compos. Part B Eng. 2013, 45, 619–624. [Google Scholar] [CrossRef]
- Zhao, H.; She, W.; Shi, D.; Wu, W.; Zhang, Q.-c.; Li, R.K.Y. Polyurethane/Poss Nanocomposites for Superior Hydrophobicity and High Ductility. Compos. Part B Eng. 2019, 177, 107441. [Google Scholar] [CrossRef]
- Das, A.; Mahanwar, P. A Brief Discussion on Advances in Polyurethane Applications. Adv. Ind. Eng. Polym. Res. 2020, 3, 93–101. [Google Scholar] [CrossRef]
- Barrioni, B.R.; de Carvalho, S.M.; Oréfice, R.L.; de Oliveira, A.A.R.; Pereira, M.d.M. Synthesis and Characterization of Biodegradable Polyurethane Films Based on HDI with Hydrolyzable Crosslinked Bonds and a Homogeneous Structure for Biomedical Applications. Mater. Sci. Eng. C 2015, 52, 22–30. [Google Scholar] [CrossRef]
- Mattia, J.; Painter, P. A Comparison of Hydrogen Bonding and Order in a Polyurethane and Poly(Urethane−Urea) and Their Blends with Poly (Ethylene Glycol). Macromolecules 2007, 40, 1546–1554. [Google Scholar] [CrossRef]
- Del Valle-Carrandi, L.; Alegría, A.; Arbe, A.; Colmenero, J. Unexpected PDMS Behavior in Segregated Cylindrical and Spherical Nanophases of PS–PDMS Asymmetric Diblock Copolymers. Macromolecules 2012, 45, 491–502. [Google Scholar] [CrossRef]
- Schön, P.; Bagdi, K.; Molnár, K.; Markus, P.; Pukánszky, B.; Julius Vancso, G. Quantitative Mapping of Elastic Moduli at the Nanoscale in Phase Separated Polyurethanes by AFM. Eur. Polym. J. 2011, 47, 692–698. [Google Scholar] [CrossRef]
- Bidegain, B.; Eceiza, A. Structure-Property Relationship in High Urethane Density Polyurethanes. J. Polym. Sci. Part B Polym. Phys. 2015, 54, 739–746. [Google Scholar]
- Song, Y.M.; Chen, W.C.; Yu, T.L.; Linliu, K.; Tseng, Y.H. Effect of Isocyanates on the Crystallinity and Thermal Stability of Polyurethanes. J. Appl. Polym. Sci. 1996, 62, 827–834. [Google Scholar] [CrossRef]






Disclaimer/Publisher’s Note: The statements, opinions and data contained in all publications are solely those of the individual author(s) and contributor(s) and not of MDPI and/or the editor(s). MDPI and/or the editor(s) disclaim responsibility for any injury to people or property resulting from any ideas, methods, instructions or products referred to in the content. |
© 2023 by the authors. Licensee MDPI, Basel, Switzerland. This article is an open access article distributed under the terms and conditions of the Creative Commons Attribution (CC BY) license (https://creativecommons.org/licenses/by/4.0/).
Share and Cite
Wang, J.; Wang, M.; Xu, C.; Han, Y.; Qin, X.; Zhang, L. Tailored Dynamic Viscoelasticity of Polyurethanes Based on Different Diols. Polymers 2023, 15, 2623. https://doi.org/10.3390/polym15122623
Wang J, Wang M, Xu C, Han Y, Qin X, Zhang L. Tailored Dynamic Viscoelasticity of Polyurethanes Based on Different Diols. Polymers. 2023; 15(12):2623. https://doi.org/10.3390/polym15122623
Chicago/Turabian StyleWang, Jiadong, Min Wang, Chenxin Xu, Yang Han, Xuan Qin, and Liqun Zhang. 2023. "Tailored Dynamic Viscoelasticity of Polyurethanes Based on Different Diols" Polymers 15, no. 12: 2623. https://doi.org/10.3390/polym15122623
APA StyleWang, J., Wang, M., Xu, C., Han, Y., Qin, X., & Zhang, L. (2023). Tailored Dynamic Viscoelasticity of Polyurethanes Based on Different Diols. Polymers, 15(12), 2623. https://doi.org/10.3390/polym15122623
