Photocatalytic Performance and Kinetic Studies of a Wood Surface Loaded with Bi2O3-Doped Silicon–Titanium Composite Film
Abstract
1. Introduction
2. Materials and Methods
2.1. Materials
2.2. Preparation of Composite Films
2.3. Characterization of BSTX
2.3.1. Morphology and Structural Characterization of Wood Surface
2.3.2. Characterization on Photocatalytic Performance
2.3.3. Photocatalytic Reaction Kinetic Model
2.3.4. Surface Wettability Test
3. Results and Discussion
3.1. Analysis of Wood Surface Morphology
3.2. FTIR Analysis
3.3. Analysis of Crystallinity and Crystal Structure
3.4. UV-VIS Diffuse Reflectance Spectrum Analysis
3.5. Analysis of Photocatalytic Activity
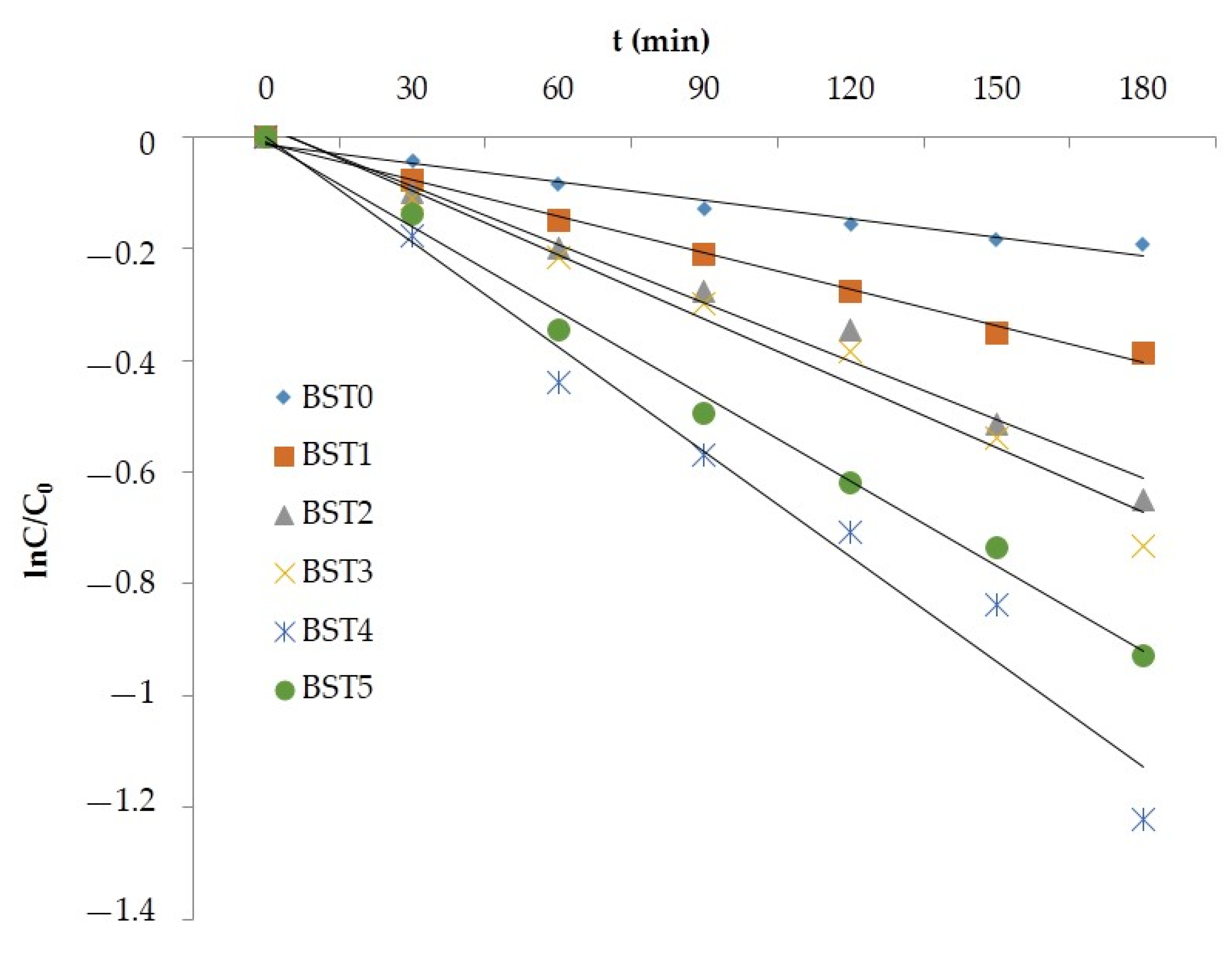
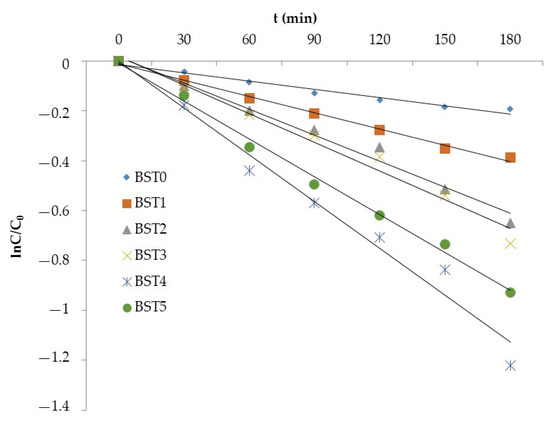
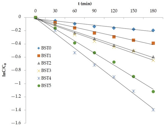
3.6. Analysis of Reaction Kinetics
3.7. Analysis of Surface Wettability
4. Conclusions
Author Contributions
Funding
Institutional Review Board Statement
Data Availability Statement
Acknowledgments
Conflicts of Interest
References
- Li, J.; Duan, X.; Liu, Y. Functional modification of wood surfaces. J. Northeast. For. Univ. 1995, 23, 95–101. [Google Scholar] [CrossRef]
- Becker, A.; Israfilov, N.; Ehrstein, E.; Lara-Ibeas, I.; Planeix, J.-M.; Louis, B.; Le Calvé, S. Adsorption of gaseous formaldehyde on Y zeolites and on metal-organic frameworks. Micropor. Mesopor. Mat. 2022, 343, 112136. [Google Scholar] [CrossRef]
- Qiu, B.; Shao, Q.; Shi, J.; Yang, C.; Chu, H. Application of biochar for the adsorption of organic pollutants from wastewater: Modification strategies, mechanisms and challenges. Sep. Purif. Technol. 2022, 300, 121925. [Google Scholar] [CrossRef]
- Qiang, W.-J.; Huang, Q.; Shen, J.-H.; Ke, Q.-F.; Lü, J.-Y.; Guo, Y.-P. Copper oxide and manganese dioxide nanoparticles on corrugated glass-fiber supporters promote thermocatalytic oxidation of formaldehyde. J. Clean. Prod. 2022, 368, 133089. [Google Scholar] [CrossRef]
- Zhao, Y.; Wang, Y.; Chi, H.; Zhang, Y.; Sun, C.; Wei, H.; Li, R. Coupling photocatalytic water oxidation on decahedron BiVO4 crystals with catalytic wet peroxide oxidation for removing organic pollutions in wastewater. Appl. Catal. B 2022, 318, 121858. [Google Scholar] [CrossRef]
- Méndez, J.O.; Melián, J.H.; Araña, J.; Rodríguez, J.D.; Díaz, O.G.; Peña, J.P. Detoxification of waters contaminated with phenol, formaldehyde and phenol–formaldehyde mixtures using a combination of biological treatments and advanced oxidation techniques. Appl. Catal. B 2015, 163, 63–73. [Google Scholar] [CrossRef]
- Dai, B.; Peng, Y.; Zhang, M.; Yang, M.; Wu, Y.; Guo, X. Insight into the effects of biological treatment on the binding properties of copper onto dissolved organic matter derived from coking wastewater. Ecotoxicol. Environ. Saf. 2022, 238, 113567. [Google Scholar] [CrossRef]
- Liu, S.; Lin, W. A simple method to prepare g-C3N4-TiO2/waste zeolites as visible-lightresponsive photocatalytic coatings for degradation of indoor formaldehyde. J. Haz. Mat. 2019, 368, 468–476. [Google Scholar] [CrossRef]
- Sibhatu, A.K.; Weldegebrieal, G.K.; Sagadevan, S.; Tran, N.N.; Hessel, V. Photocatalytic activity of CuO nanoparticles for organic and inorganic pollutants removal in wastewater remediation. Chemosphere 2022, 300, 134623. [Google Scholar] [CrossRef]
- Zu, Y.; Li, X.; Qu, X. Photocatalytic properties and applications of titanium dioxide nanoparticles. Titanium Ind. Prog. 1999, 4, 23–26. [Google Scholar] [CrossRef]
- Okawa, S.; Sugi, S.; Oishi, H.; Watanabe, Y.; Mori, T.; Shigematsu, M.; Tanahashi, M. Improvement of wood surface by inorganic modification. Trans. Mater. Res. Soc. Jpn. 2002, 27, 637–640. [Google Scholar]
- Xia, S.; Li, L.; Li, J. Research progress of anti-bacterium and degradation of formaldehyde by Nano-TiO2 photo-catalysis. Wood Process. Mach. 2007, 18, 36–40. [Google Scholar] [CrossRef]
- Fu, Y.; Liu, X.; Cheng, F.; Sun, J.; Qin, Z. Modification of the Wood Surface Properties of Tsoongiodendron odorum Chun with Silicon Dioxide by a Sol-gel Method. Bioresources 2016, 11, 10273–10285. [Google Scholar] [CrossRef][Green Version]
- Gao, L.; Gan, W.; Xiao, S.; Zhan, X.; Li, J. A robust superhydrophobic antibacterial Ag-TiO2 composite film. Ceram. Int. 2016, 42, 2170–2179. [Google Scholar] [CrossRef]
- Gao, L.; Li, J. Preparation of wood-based silver-titanium composite films and its degradation of formaldehyde by visible light. Sci. Technol. Rev. 2016, 34, 129–133. [Google Scholar] [CrossRef]
- Mishra, S.; Chakinala, N.; Chakinala, A.G.; Surolia, P.K. Photocatalytic degradation of methylene blue using monometallic and bimetallic Bi-Fe doped TiO2. Catal. Commun. 2022, 171, 106518. [Google Scholar] [CrossRef]
- Li, J.-Q.; Zhou, Z.-W.; Li, X.; Yang, Y.-L.; Gao, J.-F.; Yu, R.; Wang, H.-P.; Wang, N. Synergistically boosting sulfamerazine degradation via activation of peroxydisulfate by photocatalysis of Bi2O3-TiO2/PAC under visible light irradiation. Chem. Eng. J. 2022, 428, 132613. [Google Scholar] [CrossRef]
- Xiang, H.; Tuo, B.; Tian, J.; Hu, K.; Wang, J.; Cheng, J.; Tang, Y. Preparation and photocatalytic properties of Bi-doped TiO2 montmorillonite composite. Opt. Mater. 2021, 116, 111137. [Google Scholar] [CrossRef]
- Tian, Q.; Li, P.; Cao, P.; Yu, Q. Preparation and Photocatalytic Performance of Bi and Co Doped TiO2 Ceramic Films. Bull. Chin. Ceram. Soc. 2021, 40, 3750–3755. [Google Scholar] [CrossRef]
- Kalnaowakul, P.; Phairatana, T.; Ubolchollakhet, K.; Sangchay, W.; Rodchanarowan, A. Synthesis of Bi2O3-doped and TiO2-doped porous Lava for photocatalytic studies. Mater. Today Proc. 2018, 5, 9312–9318. [Google Scholar] [CrossRef]
- Wang, J.; Pu, W.; Ma, J.; Wang, T.; Zhang, S.; Han, S.; Liu, Z.; Yang, D. Analysis of Band Gap of Inorganic Ruddlesden-PopperPerovskite by Ultraviolet-Visible Diffuse ReflectanceSpectroscopy and Tauc Plot Method. Univ. Phys. Expt. 2022, 35, 13–16. [Google Scholar] [CrossRef]
- Turchi, C.S.; Ollis, D.F. Photocatalytic degradation of organic water contaminants: Mechanisms involving hydroxy radical attack. J. Catal. 1991, 122, 55–61. [Google Scholar] [CrossRef]
- Fu, X.; Clark, L.A.; Yang, A.Q.; Anderson, M.A. Enhanced photocatalytic performance of titania-based binary metal oxides: TiO2/SiO2 and TiO2/ZrO2. Environ. Sci. Technol. 1996, 30, 647–653. [Google Scholar] [CrossRef]
- Rahmani, E.; Ahmadpour, A.; Zebarjad, M. Enhancing the photocatalytic activity of TiO2 nanocrystalline thin film by doping with SiO2. Chem. Eng. J. 2011, 174, 709–713. [Google Scholar] [CrossRef]
- Hu, M.; Lv, C.; Zhao, L.; Wang, X.; Song, Y.; Heng, L. Study on the catalytic luminescence performance of Bi2O3-TiO2 heterojunction nanofibers on toluene. Chin. J. Anal. Chem. 2022, 50, 1103–1111. [Google Scholar] [CrossRef]
- Ma, X.; Tang, X.; Jin, F.; Shen, B.; Guo, S. Research advancements in the use of TiO2-based materials for the photocatalytic degradation of volatile organic compounds. Chin. J. Eng. 2022. [Google Scholar] [CrossRef]
- Guo, T.; Yin, Y.; Yu, M. Preparation of Bi-doped TiO2 nanoparticles based on TiO2 and its visible light photocatalytic performance. Energy Sav. Nonferrous Metall. 2022, 38, 37–42. [Google Scholar] [CrossRef]
- Xin, Y.; Wang, X. Effects of codoped Bi and S on the textural properties and photocatalytic activity of TiO2 nanoparticles. Chem. Ind. Eng. 2014, 31, 6–12. [Google Scholar] [CrossRef]
- Sun, W.; Liu, Y.; Zhao, Y. Study on preparation and photocatalytic performance of Bi2O3-TiO2. Anhui Agri. Sci. Bull. 2016, 22, 32–34. [Google Scholar]
- Weidong, H.; Wei, Q.; Xiaohong, W.; Hailong, N. Thin bismuth oxide films prepared through the sol–gel method. Mater. Lett. 2008, 61, 4100–4102. [Google Scholar] [CrossRef]
- Tuerdi, A.; Chen, P.; Abdukayum, A.; Tuerhong, M. Preparation and photocatalytic kinetic of Bismuth doped mesoporous titanium dioxide. Chin. J. Appl. Chem. 2016, 33, 213–220. [Google Scholar] [CrossRef]













| ST0 | BST1 | BST2 | BST3 | BST4 | BST5 | |
|---|---|---|---|---|---|---|
| Grain size/nm | 93.49 | 87.65 | 82.27 | 76.94 | 71.77 | 56.19 |
| Crystallinity/% | 56.54 | 59.55 | 60.77 | 61.34 | 70.82 | 65.28 |
| ST0 | BST1 | BST2 | BST3 | BST4 | BST5 | |
|---|---|---|---|---|---|---|
| Eg (eV) | 1.56 | 1.36 | 1.41 | 1.34 | 1.25 | 1.35 |
Disclaimer/Publisher’s Note: The statements, opinions and data contained in all publications are solely those of the individual author(s) and contributor(s) and not of MDPI and/or the editor(s). MDPI and/or the editor(s) disclaim responsibility for any injury to people or property resulting from any ideas, methods, instructions or products referred to in the content. |
© 2022 by the authors. Licensee MDPI, Basel, Switzerland. This article is an open access article distributed under the terms and conditions of the Creative Commons Attribution (CC BY) license (https://creativecommons.org/licenses/by/4.0/).
Share and Cite
Liu, Z.; Xu, J.; Cheng, S.; Qin, Z.; Fu, Y. Photocatalytic Performance and Kinetic Studies of a Wood Surface Loaded with Bi2O3-Doped Silicon–Titanium Composite Film. Polymers 2023, 15, 25. https://doi.org/10.3390/polym15010025
Liu Z, Xu J, Cheng S, Qin Z, Fu Y. Photocatalytic Performance and Kinetic Studies of a Wood Surface Loaded with Bi2O3-Doped Silicon–Titanium Composite Film. Polymers. 2023; 15(1):25. https://doi.org/10.3390/polym15010025
Chicago/Turabian StyleLiu, Zhigao, Jinchi Xu, Si Cheng, Zhiyong Qin, and Yunlin Fu. 2023. "Photocatalytic Performance and Kinetic Studies of a Wood Surface Loaded with Bi2O3-Doped Silicon–Titanium Composite Film" Polymers 15, no. 1: 25. https://doi.org/10.3390/polym15010025
APA StyleLiu, Z., Xu, J., Cheng, S., Qin, Z., & Fu, Y. (2023). Photocatalytic Performance and Kinetic Studies of a Wood Surface Loaded with Bi2O3-Doped Silicon–Titanium Composite Film. Polymers, 15(1), 25. https://doi.org/10.3390/polym15010025

