Evaluation of Effective Crosslinking Density for Pseudo-Semi Interpenetrating Polymer Networks Based on Polyether Glycols Mixture by Dynamic Mechanical Analysis
Abstract
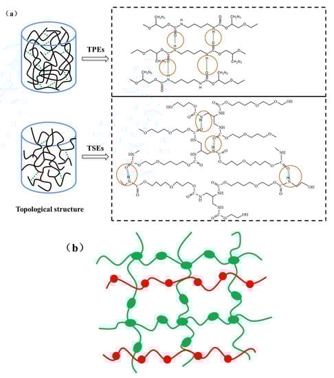
1. Introduction
2. Materials and Methods
2.1. Materials
2.2. Preparation of Polyurethane Elastomer
2.3. Measurements
2.4. Methodology
3. Results and Discussions
3.1. Characterization by FTIR
3.2. The Effective Crosslinking Density of TPEs
3.3. The Effective Crosslinking Density of Pseudo-Semi IPN
4. Conclusions
Author Contributions
Funding
Data Availability Statement
Conflicts of Interest
References
- Davenas, A. Development of modern solid propellants. J. Propuls. Power 2003, 19, 1108–1128. [Google Scholar] [CrossRef]
- Kanti Sikder, A.; Reddy, S. Review on energetic thermoplastic elastomers (ETPEs) for military science. Propellants Explos. Pyrotech. 2013, 38, 14–28. [Google Scholar] [CrossRef]
- Lv, X.S.; Huang, Z.X.; Huang, C.; Shi, M.X.; Gao, G.B.; Gao, Q.Q. Damping properties and the morphology analysis of the polyurethane/epoxy continuous gradient IPN materials. Compos. Part B-Eng. 2016, 88, 139–149. [Google Scholar] [CrossRef]
- Zhang, L.; Rowan, S.J. Effect of Sterics and Degree of Cross-Linking on the Mechanical Properties of Dynamic Poly (alkylurea–urethane) Networks. Macromolecules 2017, 50, 5051–5060. [Google Scholar] [CrossRef]
- Rao, C.R.; Narayan, R.; Raju, K. Interpenetrating and semi-Interpenetrating polymer networks of polyurethane. Micro-Nano-Struct. Interpenetr. Polym. Netw. Des. Appl. 2016, 80, 259. [Google Scholar]
- Millar, J. 263. Interpenetrating polymer networks. Styrene-divinylbenzene copolymers with two and three interpenetrating networks, and their sulphonates. J. Chem. Soc. 1960, 1, 1311–1317. [Google Scholar] [CrossRef]
- Yuan, L.X.; Zhang, C.; Wang, C.X.; Wei, N.; Wan, J.; Zhu, C.H.; Fang, H.Y.; Shi, M.S. Effect of the crosslinking degree on the microstructure and thermomechanical properties of a polymer grouting material. Polymer 2022, 259, 125342. [Google Scholar] [CrossRef]
- Furukawa, M.; Mitsui, Y.; Fukumaru, T.; Kojio, K. Microphase separated structure and mechanical properties of novel polyurethane elastomers prepared with ether based diisocyanate. Polymer 2005, 46, 10817–10822. [Google Scholar] [CrossRef]
- Oliver, W.C.; Pharr, G.M. Measurement of hardness and elastic modulus by instrumented indentation: Advances in understanding and refinements to methodology. J. Mater. Res. 2004, 19, 3–20. [Google Scholar] [CrossRef]
- Araya-Hermosilla, R.; Lima, G.; Raffa, P.; Fortunato, G.; Pucci, A.; Flores, M.E.; Moreno-Villoslada, I.; Broekhuis, A.; Picchioni, F. Intrinsic self-healing thermoset through covalent and hydrogen bonding interactions. Eur. Polym. J. 2016, 81, 186–197. [Google Scholar] [CrossRef]
- Matsunaga, K.; Oumi, M.; Tajima, M.; Yoshida, Y. Hydrogen Bonding Properties of Ether-Based Urethane Prepolymers and Polyurethane Elastomers. Nippon Kagaku Kaishi 2001, 2001, 363–370. [Google Scholar] [CrossRef][Green Version]
- Luo, M.-C.; Zeng, J.; Fu, X.; Huang, G.; Wu, J. Toughening diene elastomers by strong hydrogen bond interactions. Polymer 2016, 106, 21–28. [Google Scholar] [CrossRef]
- Luo, M.-C.; Zhang, X.-K.; Zeng, J.; Gao, X.-X.; Huang, G.-S. Enhanced relaxation behavior below glass transition temperature in diene elastomer with heterogeneous physical network. Polymer 2016, 91, 81–88. [Google Scholar] [CrossRef]
- Gold, B.J.; Hövelmann, C.H.; Weiss, C.; Radulescu, A.; Allgaier, J.; Pyckhout-Hintzen, W.; Wischnewski, A.; Richter, D. Sacrificial bonds enhance toughness of dual polybutadiene networks. Polymer 2016, 87, 123–128. [Google Scholar] [CrossRef]
- Qiu, S.; Gan, X.; Gao, C.; Zheng, X.; Yu, H.; Fan, H. Hydrogen bond effect of azido polyurethane elastomer by dynamic mechanical analysis. J. Polym. Sci. Part B: Polym. Phys. 2006, 44, 2841–2851. [Google Scholar] [CrossRef]
- Sperling, L. Interpenetrating polymer networks and related materials. J. Polym. Sci. Macromol. Rev. 1977, 12, 141–180. [Google Scholar] [CrossRef]
- Srichatrapimuk, V.W.; Cooper, S.L. Infrared thermal analysis of polyurethane block polymers. J. Macromol. Sci. Part B Phys. 1978, 15, 267–311. [Google Scholar] [CrossRef]
- Coleman, M.M.; Skrovanek, D.J.; Hu, J.; Painter, P.C. Hydrogen bonding in polymer blends: FTIR studies of urethane-ether blends. Macromolecules 1988, 21, 59–65. [Google Scholar] [CrossRef]
- Zhang, Z.; Wang, G.; Wang, Z.; Zhang, Y.; Ge, Z.; Luo, Y. Synthesis and characterization of novel energetic thermoplastic elastomers based on glycidyl azide polymer (GAP) with bonding functions. Polym. Bull. 2015, 72, 1835–1847. [Google Scholar] [CrossRef]
- Li, Y.J.; Li, G.P.; Li, J.; Luo, Y.J. Preparation and properties of semi-interpenetrating networks combined by thermoplastic polyurethane and a thermosetting elastomer. New J. Chem. 2018, 42, 3087–3096. [Google Scholar] [CrossRef]
- Jalocha, D.; Constantinescu, A.; Neviere, R. Prestrained biaxial DMA investigation of viscoelastic nonlinearities in highly filled elastomers. Polym. Test. 2015, 42, 37–44. [Google Scholar] [CrossRef]
- Cluff, E.; Gladding, E.; Pariser, R. A new method for measuring the degree of crosslinking in elastomers. J. Polym. Sci. Part A Polym. Chem. 1960, 45, 341–345. [Google Scholar] [CrossRef]
- Flory, P.J. Statistical mechanics of swelling of network structures. J. Chem. Phys. 1950, 18, 108–111. [Google Scholar] [CrossRef]
- Weisfeld, L.; Little, J.; Wolstenholme, W. Bonding in urethane elastomers. J. Polym. Sci. 1962, 56, 455–463. [Google Scholar] [CrossRef]
- Hood, M.A.; Wang, B.B.; Sands, J.M.; La Scala, J.J.; Beyer, F.L.; Li, C.Y. Morphology control of segmented polyurethanes by crystallization of hard and soft segments. Polymer 2010, 51, 2191–2198. [Google Scholar] [CrossRef]
- Wang, L.F.; Wei, Y.H. Effect of soft segment length on properties of fluorinated polyurethanes. Colloids Surf. B-Biointerfaces 2005, 41, 249–255. [Google Scholar] [CrossRef] [PubMed]










| Sample | wt.% 1 | σm | εb | Tg (°C) |
|---|---|---|---|---|
| TPE 2 | - | 3.98 | 998 | −37.68 |
| TSE 3 | - | 0.65 | 89.6 | −80.43 |
| Sample 1 | 10 | 0.82 | 123 | −76.51 |
| Sample 2 | 20 | 0.94 | 172.5 | −78.17 |
| Sample 3 | 30 | 1.13 | 156.6 | −78.17 |
| Sample 4 | 40 | 2.44 | 412.5 | −78.18 |
| Sample 5 | 50 | 3.32 | 491.5 | −77.68 |
| Sample | Ea (KJ/mol) | A | R |
|---|---|---|---|
| TPE-1 | 48.85 | 2.975 × 10−12 | 0.9984 |
| TPE-2 | 48.86 | 3.584 × 10−12 | 0.9947 |
| TPE-3 | 48.96 | 2.425 × 10−12 | 0.9997 |
| TPE-4 | 48.78 | 4.133 × 10−12 | 0.9998 |
| TPE-5 | 48.62 | 3.542 × 10−12 | 0.9999 |
| Sample | Ea (KJ/mol) | A | R | Vc × 10−4/(molcm−3) | Vp × 10−4/(molcm−3) |
|---|---|---|---|---|---|
| Sample 1 | 24.41 | 6.593 × 10−5 | 0.9997 | 1.92 | 1.06 |
| Sample 2 | 27.34 | 2.661 × 10−5 | 0.9998 | 1.61 | 1.37 |
| Sample 3 | 27.72 | 6.056 × 10−5 | 0.9997 | 0.98 | 1.64 |
| Sample 4 | 28.40 | 2.549 × 10−5 | 0.9999 | 0.95 | 2.0 |
| Sample 5 | 31.73 | 8.797 × 10−6 | 0.9999 | 0.70 | 2.58 |
Disclaimer/Publisher’s Note: The statements, opinions and data contained in all publications are solely those of the individual author(s) and contributor(s) and not of MDPI and/or the editor(s). MDPI and/or the editor(s) disclaim responsibility for any injury to people or property resulting from any ideas, methods, instructions or products referred to in the content. |
© 2023 by the authors. Licensee MDPI, Basel, Switzerland. This article is an open access article distributed under the terms and conditions of the Creative Commons Attribution (CC BY) license (https://creativecommons.org/licenses/by/4.0/).
Share and Cite
Li, Y.; Sun, B.; Liu, Y.; Zhang, Z.; Shen, Y.; Wang, H.; Liu, X.; Xie, W. Evaluation of Effective Crosslinking Density for Pseudo-Semi Interpenetrating Polymer Networks Based on Polyether Glycols Mixture by Dynamic Mechanical Analysis. Polymers 2023, 15, 226. https://doi.org/10.3390/polym15010226
Li Y, Sun B, Liu Y, Zhang Z, Shen Y, Wang H, Liu X, Xie W. Evaluation of Effective Crosslinking Density for Pseudo-Semi Interpenetrating Polymer Networks Based on Polyether Glycols Mixture by Dynamic Mechanical Analysis. Polymers. 2023; 15(1):226. https://doi.org/10.3390/polym15010226
Chicago/Turabian StyleLi, Yajin, Bingbing Sun, Yunfei Liu, Zhengzhong Zhang, Yupeng Shen, Haiyang Wang, Xiaojun Liu, and Wuxi Xie. 2023. "Evaluation of Effective Crosslinking Density for Pseudo-Semi Interpenetrating Polymer Networks Based on Polyether Glycols Mixture by Dynamic Mechanical Analysis" Polymers 15, no. 1: 226. https://doi.org/10.3390/polym15010226
APA StyleLi, Y., Sun, B., Liu, Y., Zhang, Z., Shen, Y., Wang, H., Liu, X., & Xie, W. (2023). Evaluation of Effective Crosslinking Density for Pseudo-Semi Interpenetrating Polymer Networks Based on Polyether Glycols Mixture by Dynamic Mechanical Analysis. Polymers, 15(1), 226. https://doi.org/10.3390/polym15010226

