Application and Optimization of the Rheological Model for a Hydrophobically Associating Dendrimer Polymer
Abstract
:1. Introduction
2. Experiment and Theoretical Foundations
2.1. Experimental Conditions
2.2. Mathematical Analysis Theory
2.2.1. Calculation of the Relaxation Time Spectrum
2.2.2. Calculation of the Dynamic Modulus
2.2.3. Nonlinear Regression Viscosity Curve
3. Results and Discussion
3.1. Viscoelasticity Properties of the Polymer Solution for Oil Displacement
3.1.1. Dynamic Oscillating Experiment
3.1.2. The Characteristic Parameter-Limited Optimization of the Relaxation Time
3.2. Rheological Properties of the Polymer Solution for Oil Displacement
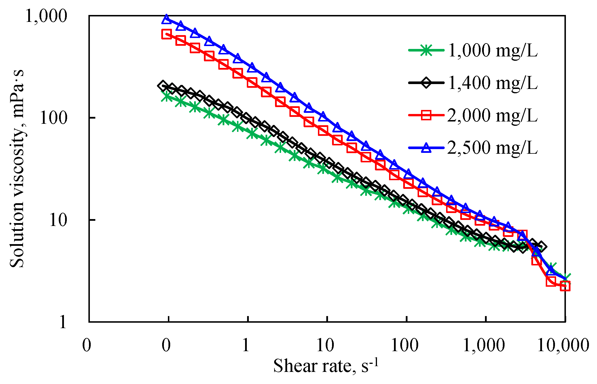
3.2.1. Viscosity Curve Characteristics of the Polymer
3.2.2. Results of the Viscosity Curve Simulation of the Polymer Solution
4. Conclusions
- The DHAP polymer solution is dominated by elastic modulus characteristics and shows a strong first difference, while the HPAM polymer solution is dominated by the viscosity modulus. The increase in the elastic modulus of a polymer solution will directly affect the presentation of the viscous rheological curve, and the rheological model needs to be further modified and limited.
- The relaxation time spectrum derived by small oscillation experimental data is used to limit the characteristic relaxation time of the polymer solution (value range of λ). Then, the Carreau–Yasuda rheological model is applied to fit the rheology law of the dendrimer hydrophobic-linked polymer solution DHAP with strong elastic action. This not only provides a higher accuracy fit (matching the experimental data), but also avoids the calculation errors caused by nonlinear regression calculations. It provides a basis and help for the optimization of the constitutive equation of polymer solutions in numerical simulation technology.
Author Contributions
Funding
Institutional Review Board Statement
Informed Consent Statement
Data Availability Statement
Conflicts of Interest
References
- Wang, Z.-H.; Sun, B.-W.; Guo, P.; Wang, S.-S.; Liu, H.; Liu, Y.; Zhou, D.-Y.; Zhou, B. Investigation of flue gas water-alternating gas (flue gas–WAG) injection for enhanced oil recovery and multicomponent flue gas storage in the post-waterflooding reservoir. Pet. Sci. 2021, 18, 870–882. [Google Scholar] [CrossRef]
- Lang, L.; Li, H.; Wang, X.; Liu, N. Experimental study and field demonstration of air-foam flooding for heavy oil EOR. J. Pet. Sci. Eng. 2019, 185, 106659. [Google Scholar] [CrossRef]
- Zhu, S.; Ye, Z.; Zhang, J.; Xue, X.; Chen, Z.; Xiang, Z. Research on optimal timing range for early polymer injection in sandstone reservoir. Energy Rep. 2020, 6, 3357–3364. [Google Scholar] [CrossRef]
- Li, P.; Zhang, F.; Zhu, T.; Zhang, C.; Liu, G.; Li, X. Synthesis and properties of the active polymer for enhanced heavy oil recovery. Colloids Surf. A Physicochem. Eng. Asp. 2021, 626, 127036. [Google Scholar] [CrossRef]
- El-Hoshoudy, A. Quaternary ammonium based surfmer-co-acrylamide polymers for altering carbonate rock wettability during water flooding. J. Mol. Liq. 2018, 250, 35–43. [Google Scholar] [CrossRef]
- Guo, H.; Song, K.; Liu, S.; Zhao, F.; Wang, Z.; Xu, Y.; Liu, J.; Tang, E.; Yang, Z. Recent Advances in Polymer Flooding in China: Lessons Learned and Continuing Development. SPE J. 2021, 26, 2038–2052. [Google Scholar] [CrossRef]
- Zhou, M.; Yi, R.; Gu, Y.; Tu, H. Synthesis and evaluation of a Tetra-copolymer for oil displacement. J. Pet. Sci. Eng. 2019, 179, 669–674. [Google Scholar] [CrossRef]
- Jiang, F.; Pu, W.; Li, Y.; Du, D. A double-tailed acrylamide hydrophobically associating polymer: Synthesis, characterization, and solution properties. J. Appl. Polym. Sci. 2015, 132, 42569. [Google Scholar] [CrossRef]
- Shi, L.; Zhu, S.; Ye, Z.; Zhang, J.; Xue, X.; Zhao, W. The seepage flow characteristics of hydrophobically associated polymers with different aggregation behaviours in porous media. R. Soc. Open Sci. 2020, 7, 191270. [Google Scholar] [CrossRef] [Green Version]
- Zhu, S.; Ye, Z.; Liu, Z.; Chen, Z.; Li, J.; Xiang, Z. Adsorption Characteristics of Polymer Solutions on Media Surfaces and Their Main Influencing Factors. Polymers 2021, 13, 1774. [Google Scholar] [CrossRef]
- Shi, L.; Zhu, S.; Ye, Z.; Xue, X.; Liu, C.; Lan, X. Effect of microscopic aggregation behavior on polymer shear resistance. J. Appl. Polym. Sci. 2019, 137, 48670. [Google Scholar] [CrossRef]
- Neha, K.D.; Kant, R. Influence of excluded volume interactions on the dynamics of dendrimer and star polymers in layered random flow. Pramana-J. Phys. 2020, 94, 149. [Google Scholar] [CrossRef]
- Xin, H. Synthesis and Properties of Copolymers with Micro Crosslinking Structure. Master’s Thesis, Shandong University, Dongying, China, 2014. [Google Scholar]
- Seright, R.S.; Fan, T.G. New Insights into Polymer Rheology in Porous Media. SPE J. 2011, 16, 35–42. [Google Scholar] [CrossRef]
- Jouenne, S.; Chakibi, H.; Levitt, D. Polymer Stability After Successive Mechanical-Degradation Events. SPE J. 2018, 23, 18–33. [Google Scholar] [CrossRef]
- Shaw, M.T. On finding the zero-shear-rate viscosity of polymer melts. Polym. Eng. Sci. 2021, 61, 1166–1178. [Google Scholar] [CrossRef]
- Jin, G.; Hua, Y. Polymer Physics; Chemical Industry Press: Beijing, China, 2011. [Google Scholar]
- Babu, B.H.; Rao, P.S.; Reddy, M.G. Physical aspects and streamline analysis on hydromagnetic nonlinear radiative flow of Carreau-Yasuda fluid. Phys. Scr. 2020, 96, 025221. [Google Scholar] [CrossRef]
- Achilleos, E.; Georgiou, G.C.; Hatzikiriakos, S.G. On numerical simulation of polymer extrusion instabilities. Appl. Rheol. 2002, 12, 88–104. [Google Scholar] [CrossRef]
- Wu, S.Y. Shear and Elongational Rheology of Partially Hydrolyzed Polyacrylamide Used for EOR. Appl. Rheol. 2013, 23, 280–286. [Google Scholar]
- Zhu, S.; Shi, L.; Ye, Z.; Yuan, N.; Li, X. Effect of micro-aggregation behavior on the salt tolerance of polymer solutions. J. Appl. Polym. Sci. 2020, 138, 50277. [Google Scholar] [CrossRef]
- Liang, Y.; Wang, Z.-L.; Jin, Y.-X.; Tian, Y.-Q.; Liu, X.-M.; Guo, Y.-J.; Fan, L.; Wang, J.; Zhang, X.-M.; Cao, M.; et al. Heterogeneity control ability in porous media: Associative polymer versus HPAM. J. Pet. Sci. Eng. 2019, 183, 106425. [Google Scholar] [CrossRef]
- Lang, C. Regularization methods for finding the relaxation time spectra of linear polydisperse polymer melts. Rheol. Acta 2018, 57, 339–347. [Google Scholar] [CrossRef] [Green Version]
- Wang, J.-P.; Hu, W.-B. Nonlinear Viscoelasticity Raised at Low Temperatures by Intermolecular Cooperation of Bulk Amorphous Polymers. Chin. J. Polym. Sci. 2021, 39, 1496–1501. [Google Scholar] [CrossRef]
- Soheil, H.; Saharnaz, A.; Abdolrahman, D.; Khoo, B.C. An immersed boundary-lattice Boltzmann method with multi relaxation time for solving flow-induced vibrations of an elastic vortex generator and its effect on heat transfer and mixing. Chem. Eng. J. 2021, 405, 126652. [Google Scholar]
- Maider, I.; Julen, I.; Pello, J.; Fernandez-Martínez, R. Quantitative electron tomography of polylactic acid/clay nanocomposites for better comprehension of processing-microstructure-elastic modulus. Polym. Polym. Compos. 2020, 29, 724–732. [Google Scholar]
- Borrmann, D.; Danzer, A.; Sadowski, G. Generalized Diffusion-Relaxation Model for Solvent Sorption in Polymers. Ind. Eng. Chem. Res. 2013, 60, 15766–15781. [Google Scholar] [CrossRef]
- Xia, H.F.; Zhang, J.R.; Liu, R.Y. Viscoelasticity and factors of polymer solution. J. Daqing Pet. Inst. 2011, 35, 37–41. (In Chinese) [Google Scholar]
- Zhu, H.; Sun, L.; Yang, J.; Chen, Z.; Gu, W. Developing Master Curves and Predicting Dynamic Modulus of Polymer-Modified Asphalt Mixtures. J. Mater. Civ. Eng. 2011, 23, 131–137. [Google Scholar] [CrossRef]










| Research Scholar | Research Content |
|---|---|
| Shijie Zhu [10] | Partially hydrolysed polyacrylamide (HPAM) and dendritic hydrophobic association polymer (DHAP) are compared with independently synthetic dendrimer polymers |
| Leiting Shi [11] | HAWP is compared with independently synthetic dendrimer polymers |
| Neha [12] | Influence of excluded volume interactions on the dynamics of dendrimer and star polymers in layered random flow is analysed |
| Haipeng Xing [13] | The effects of different bendy structures on the performance of the polymer solution are compared |
| Type | HPAM | DHAP | ||
|---|---|---|---|---|
| Concentration, mg/L | Formulas | Fitting accuracy | Formulas | Fitting accuracy |
| 1000 | G* = 0.1152f0.7606 | R2 = 0.9974 | G* = 0.4468f0.1985 | R2 = 0.9923 |
| 1400 | G* = 0.2298f0.6465 | R2 = 0.9955 | G* = 0.9689f0.1414 | R2 = 0.9972 |
| 2000 | G* = 0.3956f0.5209 | R2 = 0.9966 | G* = 2.3758f0.1541 | R2 = 0.9945 |
| 2500 | G* = 0.6459f0.4677 | R2 = 0.9973 | G* = 2.6475f0.1562 | R2 = 0.9961 |
| Note | G* within the study | 0.1~1 Pa | G* within the study | 0.27~2 Pa |
| Type | HPAM | DHAP | ||||||
|---|---|---|---|---|---|---|---|---|
| Concentration | 1000 | 1400 | 2000 | 2500 | 1000 | 1400 | 2000 | 2500 |
| λi, s | g, Pa | g, Pa | ||||||
| 0.01 | 5.12 | 6.27 | 3.21 | 5.04 | 4.42 | 6.67 | 4.30 | 10.14 |
| 0.1 | 0.18 | 0.05 | 0.89 | 1.28 | 8.87 × 10−9 | 0.12 | 1.55 | 1.06 |
| 1 | 0.10 | 0.21 | 0.28 | 0.46 | 0.13 | 0.26 | 0.60 | 0.72 |
| 10 | 0.01 | 0.04 | 0.13 | 0.25 | 0.19 | 0.30 | 1.02 | 1.21 |
| 100 | 5.9 × 10−10 | 1.65 × 10−9 | 4.83 × 10−9 | 1.68 × 10−9 | 0.15 × 10−7 | 0.01 × 10−6 | 5.95 × 10−6 | 5.94 × 10−6 |
| Polymer Type | 1000 mg/L | 1400 mg/L | 2000 mg/L | 2500 mg/L |
|---|---|---|---|---|
| HPAM | λ < 0.01 | λ < 0.01 | 0.01 < λ < 0.1 | 0.01 <λ < 0.1 |
| DHAP | 0.5 < λ < 1 | 0.5 <λ < 1 | 1 < λ < 2 | 1 < λ < 2 |
| Polymer | Concentration, mg/L | μ0 | μinf | λ | a | n |
|---|---|---|---|---|---|---|
| HPAM | 1000 | 852.9 | 4.4 | 0.002 | 0.155 | −0.250 |
| 2000 | 2499 | 4.8 | 0.005 | 0.176 | −0.306 | |
| 2500 | 7542.9 | 5.3 | 0.008 | 0.152 | −0.253 | |
| DHAP | 1000 | 3250.5 | 5.5 | 0.869 | 0.420 | 0.131 |
| 2000 | 6710 | 15.4 | 1.46 | 0.391 | −0.589 | |
| 2500 | 16,890 | 17.2 | 1.687 | 0.443 | 0.215 |
Publisher’s Note: MDPI stays neutral with regard to jurisdictional claims in published maps and institutional affiliations. |
© 2022 by the authors. Licensee MDPI, Basel, Switzerland. This article is an open access article distributed under the terms and conditions of the Creative Commons Attribution (CC BY) license (https://creativecommons.org/licenses/by/4.0/).
Share and Cite
Zhu, S.; Xue, X.; Zhang, J.; Zhang, S.; Liu, Z. Application and Optimization of the Rheological Model for a Hydrophobically Associating Dendrimer Polymer. Polymers 2022, 14, 1747. https://doi.org/10.3390/polym14091747
Zhu S, Xue X, Zhang J, Zhang S, Liu Z. Application and Optimization of the Rheological Model for a Hydrophobically Associating Dendrimer Polymer. Polymers. 2022; 14(9):1747. https://doi.org/10.3390/polym14091747
Chicago/Turabian StyleZhu, Shijie, Xinsheng Xue, Jian Zhang, Shilun Zhang, and Zhezhi Liu. 2022. "Application and Optimization of the Rheological Model for a Hydrophobically Associating Dendrimer Polymer" Polymers 14, no. 9: 1747. https://doi.org/10.3390/polym14091747
APA StyleZhu, S., Xue, X., Zhang, J., Zhang, S., & Liu, Z. (2022). Application and Optimization of the Rheological Model for a Hydrophobically Associating Dendrimer Polymer. Polymers, 14(9), 1747. https://doi.org/10.3390/polym14091747

