Fabrication of Polypyrrole-Decorated Tungsten Tailing Particles for Reinforcing Flame Retardancy and Ageing Resistance of Intumescent Fire-Resistant Coatings
Abstract
:1. Introduction
2. Experimental Section
2.1. Materials
2.2. Preparation of Polypyrrole-Decorated Tungsten Tailing Filler
2.3. Preparation of the Intumescent Fire-Retardant Coatings
2.4. Characterization
2.4.1. Fourier Transform Infrared Spectroscopy
2.4.2. Scanning Electron Microscopy
2.4.3. X-ray Diffraction
2.4.4. X-ray Fluorescence Spectrometer
2.4.5. Smoke Density Test
2.4.6. Fire Protection Tests
2.4.7. Adhesion Classification Test
2.4.8. Pencil Hardness Test
2.4.9. Cone Calorimeter Test
2.4.10. Thermogravimetric Analysis
2.4.11. Accelerated Ageing Test
3. Results and Discussion
3.1. Morphology and Composition of TTF and PPY-TTF
3.2. Fire Protection Tests
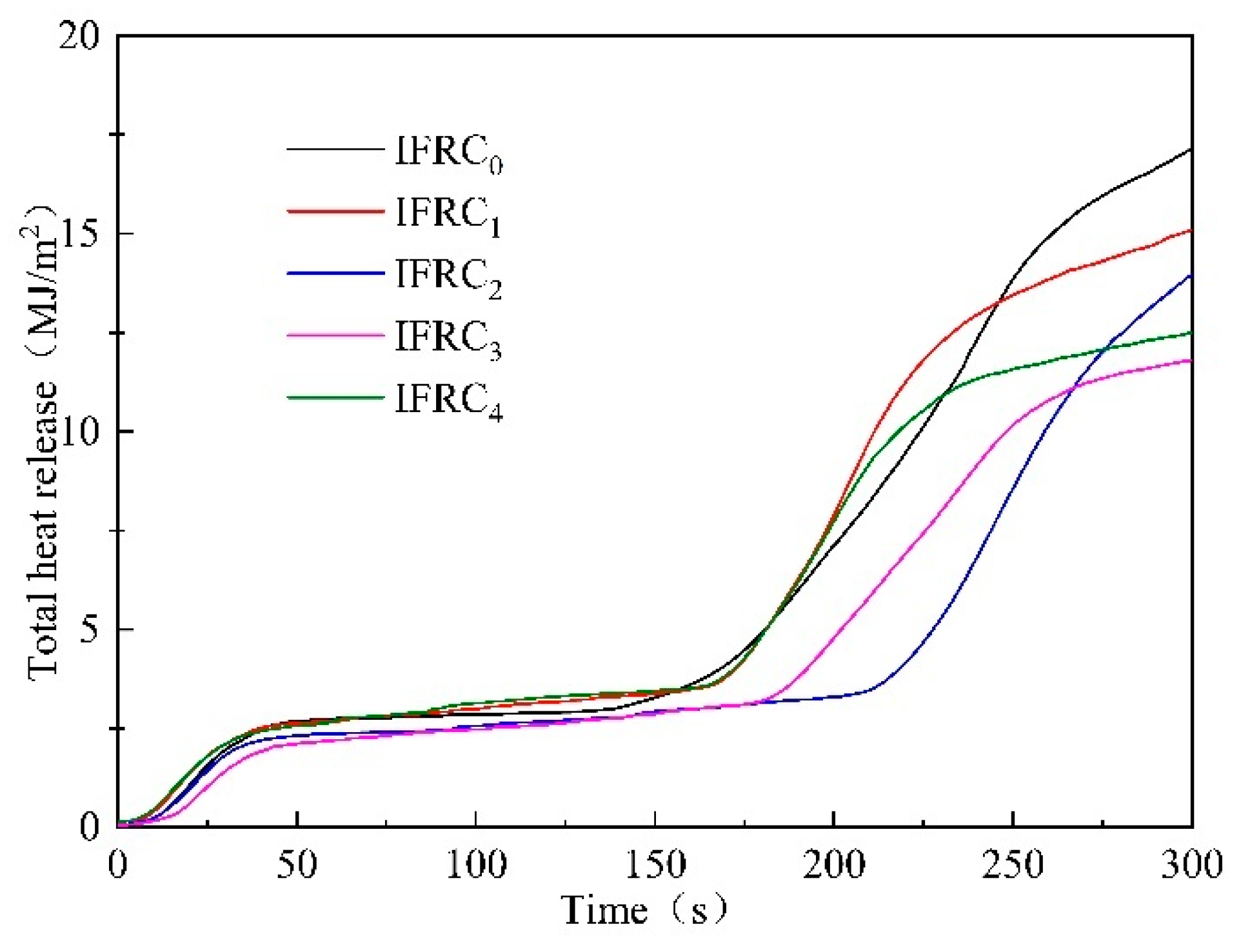
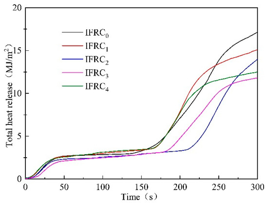
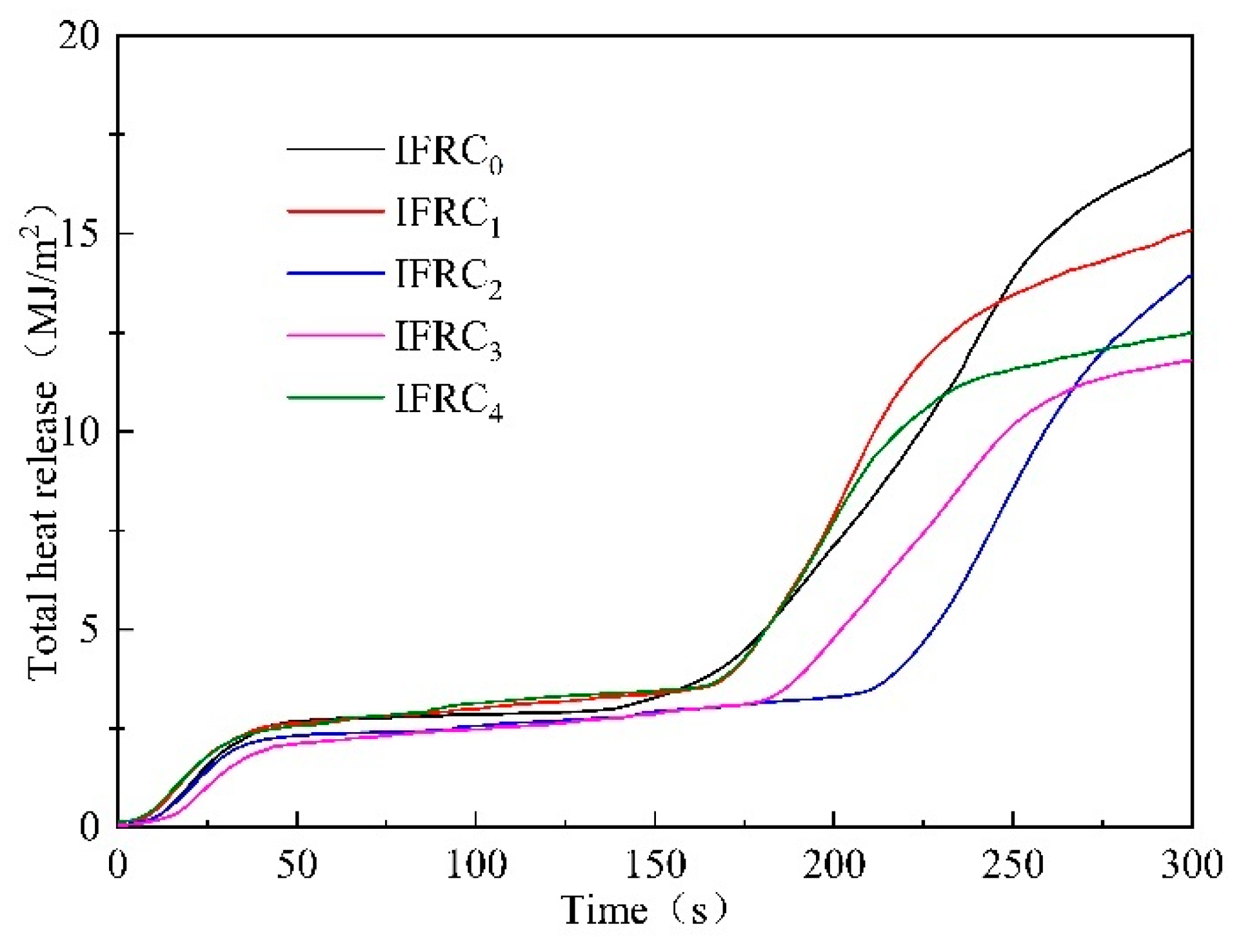
3.3. Cone Calorimeter Test
3.4. Smoke Density Test
3.5. Thermal Stability Analysis
3.6. Accelerated Ageing Test
3.7. Flame Retardant and Smoke-Suppression Mechanisms
4. Conclusions
Author Contributions
Funding
Institutional Review Board Statement
Informed Consent Statement
Data Availability Statement
Conflicts of Interest
References
- Schaumann, P.; Tabeling, F.; Weisheim, W. Application of intumescent coatings in steel construction. Bautechnik 2017, 94, 368–374. [Google Scholar] [CrossRef]
- Puri, R.; Khanna, A. Intumescent coatings: A review on recent progress. J. Coat. Technol. Res. 2017, 14, 1–20. [Google Scholar] [CrossRef]
- Xu, Z.; Xie, X.; Yan, L.; Zhou, H. Influence of carbon nanoparticle geometry on the fire resistance and anti-aging properties of intumescent fire-retardant coatings. Fire Mater. 2021, in press. [Google Scholar] [CrossRef]
- Yan, L.; Xu, Z.; Wang, X. Synergistic effects of organically modified montmorillonite on the flame-retardant and smoke suppression properties of transparent intumescent fire-retardant coatings. Prog. Org. Coat. 2018, 122, 107–118. [Google Scholar] [CrossRef]
- Xu, Z.; Chu, Z.; Yan, L.; Chen, H.; Jia, H.; Tang, W. Effect of chicken eggshell on the flame-retardant and smoke suppression properties of an epoxy-based traditional APP-PER-MEL system. Polym. Compos. 2019, 40, 2712–2723. [Google Scholar] [CrossRef]
- Wang, F.; Liu, H.; Yan, L.; Feng, Y. Comparative Study of Fire Resistance and Anti-Ageing Properties of Intumescent Fire-Retardant Coatings Reinforced with Conch Shell Bio-Filler. Polymers 2021, 13, 2620. [Google Scholar] [CrossRef]
- Xu, Z.; Xie, X.; Yan, L.; Feng, Y. Fabrication of organophosphate-grafted kaolinite and its effect on the fire-resistant and anti-ageing properties of amino transparent fire-retardant coatings. Polym. Degrad. Stab. 2021, 188, 109589. [Google Scholar] [CrossRef]
- Nguyen, T.; Dao, P.; Duong, K.; Duong, Q.; Vu, Q.; Nguyen, A.; Mac, V.; Le, T. Effect of R-TiO2 and ZnO nanoparticles on the UV-shielding efficiency of water-borne acrylic coating. Prog. Org. Coat. 2017, 110, 114–121. [Google Scholar] [CrossRef]
- Li, Y.; Feng, Y.; Xu, Z.; Yan, L.; Xie, X.; Wang, Z. Synergistic effect of clam shell bio-filler on the fire-resistance and char formation of intumescent fire-retardant coatings. J. Mater. Res. Technol. 2020, 9, 14718–14728. [Google Scholar] [CrossRef]
- Xu, Z.; Zhou, H.; Yan, L.; Jia, H. Comparative study of the fire protection performance and thermal stability of intumescent fire-retardant coatings filled with three types of clay nano-fillers. Fire Mater. 2019, 44, 112–120. [Google Scholar] [CrossRef]
- Yan, L.; Xu, Z.; Liu, D. Synthesis and application of novel magnesium phosphate ester flame retardants for transparent intumescent fire-retardant coatings applied on wood substrates. Prog. Org. Coat. 2019, 129, 327–337. [Google Scholar] [CrossRef]
- Habashy, M.; Abd-Elhady, A.; Elsad, R.; Izzularab, M. Performance of PVC/SiO2 nanocomposites under thermal ageing. Appl. Nanosci. 2021, 11, 2143–2151. [Google Scholar] [CrossRef] [Green Version]
- Dai, T.; Yang, X.; Yun, L. Conductive composites of polypyrrole and sulfonic-functionalized silica spheres. Mater. Lett. 2007, 61, 3142–3145. [Google Scholar] [CrossRef]
- Mrah, L.; Meghabar, R. Influence of clay modification process in polypyrrole-layered silicate nanocomposite. SN Appl. Sci. 2020, 2, 155–159. [Google Scholar] [CrossRef] [Green Version]
- Gan, J.; Lim, Y.; Huang, N.; Hong, N. Effect of pH on morphology and supercapacitive properties of manganese oxide/polypyrrole nanocomposite. Appl. Surf. Sci. 2015, 357, 479–486. [Google Scholar] [CrossRef]
- Gai, L.; Han, X.; Hou, Y.; Chen, J.; Jiang, H. Surfactant-free synthesis of Fe304@ PANI and Fe3O4@ PPy microspheres as adsorbents for isolation of PCR-ready DNA. Dalton Trans. 2013, 42, 1820–1826. [Google Scholar] [CrossRef]
- Yang, R.; Reddy, P.; Chang, C.; Chen, P. Synthesis and characterization of Fe3O4/polypyrrole/carbon nanotube composites with tunable microwave absorption properties: Role of carbon nanotube and polypyrrole content. Chem. Eng. J. 2016, 285, 497–507. [Google Scholar] [CrossRef]
- Wang, H.; Yuan, X.; Wu, Y.; Chen, X.; Leng, L.; Wang, H.; Li, H.; Zeng, G. Facile synthesis of polypyrrole decorated reduced graphene oxide-Fe3O4 magnetic-composites and its application for the Cr(VI) removal. Chem. Eng. J. 2015, 262, 597–606. [Google Scholar] [CrossRef]
- Maeda, S.; Gill, M.; Armes, S.; Fletcher, I. Surface Characterization of Conducting Polymer-Silica Nanocomposites by X-ray Photoelectron Spectroscopy. Langmuir. 1995, 11, 1899–1904. [Google Scholar] [CrossRef]
- Yan, L.; Xu, Z.; Wang, X. Influence of nano-silica on the flame retardancy and smoke suppression properties of transparent intumescent fire-retardant coatings. Prog. Org. Coat. 2017, 112, 319–329. [Google Scholar] [CrossRef]
- Khadija, E.; Shimaa, A.; Aishah, A. Synthesis and Characterization of Nano-Conducting Copolymer Composites: Efficient Sorbents for Organic Pollutants. Molecules. 2017, 22, 772. [Google Scholar] [CrossRef] [Green Version]
- Shi, Y.; Wang, G. The novel silicon-containing epoxy/PEPA phosphate flame retardant for transparent intumescent fire resistant coating. Appl. Surf. Sci. 2016, 385, 456–463. [Google Scholar] [CrossRef]
- Yang, F.; Yang, W.; Zhu, L.; Chen, Y.; Ye, Z. Preparation and investigation of waterborne fluorinated polyacrylate/silica nanocomposite coatings. Prog. Org. Coat. 2016, 95, 1–7. [Google Scholar] [CrossRef]
- Gómez-Fernández, S.; Ugarte, L.; Peña-Rodriguez, C.; Corcuera, M.; Eceiza, A. The effect of phosphorus containing polyol and layered double hydroxides on the properties of a castor oil based flexible polyurethane foam. Polym. Degrad. Stab. 2016, 132, 41–51. [Google Scholar] [CrossRef]
- Chang, C.; Wu, Y.; Cheng, L. Preparation of HMDS-modified silica/polyacrylate hydrophobic hard coatings on PMMA substrates. J. Coat. Technol. Res. 2016, 13, 999–1007. [Google Scholar] [CrossRef]
- Wang, J.; Wang, G. Influences of montmorillonite on fire protection, water and corrosion resistance of waterborne intumescent fire retardant coating for steel structure. Surf. Coat. Technol. 2014, 239, 177–184. [Google Scholar] [CrossRef]
- Wang, J.; Zhao, M. Study on the effects of aging by accelerated weathering on the intumescent fire retardant coating for steel elements. Eng. Fail. Anal. 2020, 118, 104920. [Google Scholar] [CrossRef]
- Shi, Y.; Wang, G. The novel epoxy/PEPA phosphate flame retardants: Synthesis, characterization and application in transparent intumescent fire resistant coatings. Prog. Org. Coat. 2016, 97, 1–9. [Google Scholar] [CrossRef]
- Zhu, F.; Xin, Q.; Feng, Q.; Liu, R.; Li, K. Influence of nano-silica on flame resistance behavior of intumescent flame retardant cellulosic textiles: Remarkable synergistic effect? Surf. Coat. Technol. 2016, 294, 90–94. [Google Scholar] [CrossRef]
- Das, S.; Pandey, P.; Mohanty, S.; Nayak, S. Effect of nanosilica on the physicochemical, morphological and curing characteristics of transesterified castor oil based polyurethane coatings—ScienceDirect. Prog. Org. Coat. 2016, 97, 233–243. [Google Scholar] [CrossRef]
- Makhlouf, G.; Hassan, M.; Nour, M.; Abdel-Monem, Y.; Abdelkhalik, A. Evaluation of fire performance of linear low-density polyethylene containing novel intumescent flame retardant. J. Therm. Anal. Calorim. 2017, 130, 1031–1041. [Google Scholar] [CrossRef]
- Ullah, S.; Ahmad, F. Effects of zirconium silicate reinforcement on expandable graphite based intumescent fire retardant coating. Polym. Degrad. Stab. 2014, 103, 49–62. [Google Scholar] [CrossRef]
- Deng, C.; Du, S.; Zhao, J.; Shen, Z.; Deng, C.; Wang, Y. An intumescent flame retardant polypropylene system with simultaneously improved flame retardancy and water resistance. Polym. Degrad. Stab. 2014, 108, 97–107. [Google Scholar] [CrossRef]
- Zheng, Z.; Liu, Y.; Zhang, L.; Wang, H. Synergistic effect of expandable graphite and intumescent flame retardants on the flame retardancy and thermal stability of polypropylene. J. Mater. Sci. 2016, 51, 5857–5871. [Google Scholar] [CrossRef]
- Hu, Q.; Peng, P.; Peng, S.; Liu, J.; Liu, X.; Zou, L.; Chen, J. Flame-retardant epoxy resin based on aluminum monomethylphosphinate. J. Therm. Anal. Calorim. 2017, 128, 201–210. [Google Scholar] [CrossRef]
- Nikolic, M.; Nguyen, H.; Daugaard, A.; Löf, D.; Mortensen, K.; Barsberg, S.; Sanadi, A. Influence of surface modified nano silica on alkyd binder before and after accelerated weathering. Polym. Degrad. Stab. 2016, 126, 134–143. [Google Scholar] [CrossRef] [Green Version]
- Hu, X.; Wang, G.; Huang, Y. Study on the preparation and properties of novel transparent fire-resistive coatings. J. Coat. Technol. Res. 2013, 10, 717–726. [Google Scholar] [CrossRef]
- Wang, G.; Huang, Y.; Hu, X. Synthesis of a novel phosphorus-containing polymer and its application in amino intumescent fire resistant coating. Prog. Org. Coat. 2013, 76, 188–193. [Google Scholar] [CrossRef]



















| Samples | IFR | TTF | PPY-TTF | Waterborne Epoxy Resin | Defoamer | Dispersant | Waterborne Epoxy Hardener |
|---|---|---|---|---|---|---|---|
| IFRC0 | 55 | 0 | 0 | 40 | 0.5 | 0.5 | 4 |
| IFRC1 | 54 | 0 | 1 | 40 | 0.5 | 0.5 | 4 |
| IFRC2 | 53 | 0 | 2 | 40 | 0.5 | 0.5 | 4 |
| IFRC3 | 52 | 0 | 3 | 40 | 0.5 | 0.5 | 4 |
| IFRC4 | 50 | 0 | 5 | 40 | 0.5 | 0.5 | 4 |
| IFRC5 | 52 | 3 | 0 | 40 | 0.5 | 0.5 | 4 |
| Components | SiO2 | Al2O3 | CaO | MnO | Fe2O3 | MgO | Na2O | K2O | WO3 | SO3 |
|---|---|---|---|---|---|---|---|---|---|---|
| Content/% | 60.2 | 10.4 | 11.8 | 2.4 | 6.7 | 1.6 | 0.8 | 1.8 | 0.4 | 2.8 |
| Samples | IFRC0 | IFRC1 | IFRC2 | IFRC3 | IFRC4 | IFRC5 |
|---|---|---|---|---|---|---|
| Mass loss/g | 3.7 ± 0.1 | 3.4 ± 0.1 | 3.0 ± 0.1 | 2.5 ± 0.1 | 2.8 ± 0.1 | 2.8 ± 0.1 |
| Charring index/cm3 | 34.9 ± 0.6 | 29.9 ± 0.8 | 23.8 ± 2.4 | 18.6 ± 0.8 | 19.6 ± 0.4 | 18.1 ± 0.4 |
| Flame-spread rating | 20.5 ± 1.7 | 15.8 ± 2.9 | 8.2 ± 0.8 | 5.3 ± 2.9 | 8.2 ± 0.8 | 8.2 ± 0.3 |
| Intumescent factor | 25.0 ± 4.1 | 31.7 ± 2.4 | 37.5 ± 2.4 | 45.0 ± 4.1 | 42.5 ± 4.1 | 41.7 ± 2.4 |
| Samples | T0/ °C | Tm/ °C | PMLR/ (%/min) | Wexp (800 °C)/% | Wtheo (800 °C)/% | ΔW (800 °C)/% |
|---|---|---|---|---|---|---|
| IFRC0 | 223.1 | 362.9 | 6.5 | 26.7 | 16.8 | 9.5 |
| IFRC1 | 222.2 | 359.1 | 6.7 | 31.6 | 17.4 | 14.2 |
| IFRC3 | 214.3 | 354.7 | 6.8 | 34.9 | 19.0 | 15.9 |
| IFRC4 | 215.8 | 358.1 | 6.9 | 33.5 | 20.6 | 12.9 |
| IFRC5 | 219.3 | 362.0 | 6.8 | 30.6 | 19.4 | 11.2 |
| FTIR Band (cm−1) | Functional Groups | Observations | |
|---|---|---|---|
| Intensity | Changes | ||
| 1439, 3419, 3470 | –NH2 stretching | Strong | Disappeared |
| 1645 | C=N stretching | Weak | Slightly decreased |
| 1552, 3134 | N–H stretching | Strong | Disappeared |
| 1249 | P=O stretching | Weak | Slightly decreased |
| 1016 | C–O stretching | Strong | Significantly decreased |
| FTIR Band (cm−1) | Functional Groups | Observations | |
|---|---|---|---|
| Intensity | Changes | ||
| 3469, 3419 | –NH2 stretching | Strong | Disappeared |
| 2956, 2885 | –CH2 stretching | Strong | Disappeared |
| 1552 | N–H stretching | Strong | Disappeared |
| 1324 | P=O stretching | Strong | New, increased |
| 1139 | C–O–C stretching | Strong | New, increased |
| 1129 | PO32− stretching | Strong | Disappeared |
| 1043, 921 | P–O–C stretching | Strong | New, increased |
| 1015 | C–O stretching | Strong | Disappeared |
| 739 | C–H deformation for benzene ring | Strong | New, increased |
| 669, 873 | P–O–P stretching | Strong | Disappeared |
Publisher’s Note: MDPI stays neutral with regard to jurisdictional claims in published maps and institutional affiliations. |
© 2022 by the authors. Licensee MDPI, Basel, Switzerland. This article is an open access article distributed under the terms and conditions of the Creative Commons Attribution (CC BY) license (https://creativecommons.org/licenses/by/4.0/).
Share and Cite
Wang, F.; Liu, H.; Yan, L. Fabrication of Polypyrrole-Decorated Tungsten Tailing Particles for Reinforcing Flame Retardancy and Ageing Resistance of Intumescent Fire-Resistant Coatings. Polymers 2022, 14, 1540. https://doi.org/10.3390/polym14081540
Wang F, Liu H, Yan L. Fabrication of Polypyrrole-Decorated Tungsten Tailing Particles for Reinforcing Flame Retardancy and Ageing Resistance of Intumescent Fire-Resistant Coatings. Polymers. 2022; 14(8):1540. https://doi.org/10.3390/polym14081540
Chicago/Turabian StyleWang, Feiyue, Hui Liu, and Long Yan. 2022. "Fabrication of Polypyrrole-Decorated Tungsten Tailing Particles for Reinforcing Flame Retardancy and Ageing Resistance of Intumescent Fire-Resistant Coatings" Polymers 14, no. 8: 1540. https://doi.org/10.3390/polym14081540
APA StyleWang, F., Liu, H., & Yan, L. (2022). Fabrication of Polypyrrole-Decorated Tungsten Tailing Particles for Reinforcing Flame Retardancy and Ageing Resistance of Intumescent Fire-Resistant Coatings. Polymers, 14(8), 1540. https://doi.org/10.3390/polym14081540

