A Modified Mean Stress Criterion for Considering Size Effects on Mode I Fracture Estimation of Rounded-Tip V-Notched Polymeric Specimens
Abstract
1. Introduction
2. Materials and Methods
2.1. Material Identification
2.2. Test Configuration and Preparation of Fracture Specimens
2.3. Fracture Tests
2.4. Fracture Toughness and Notch Fracture Toughness Values
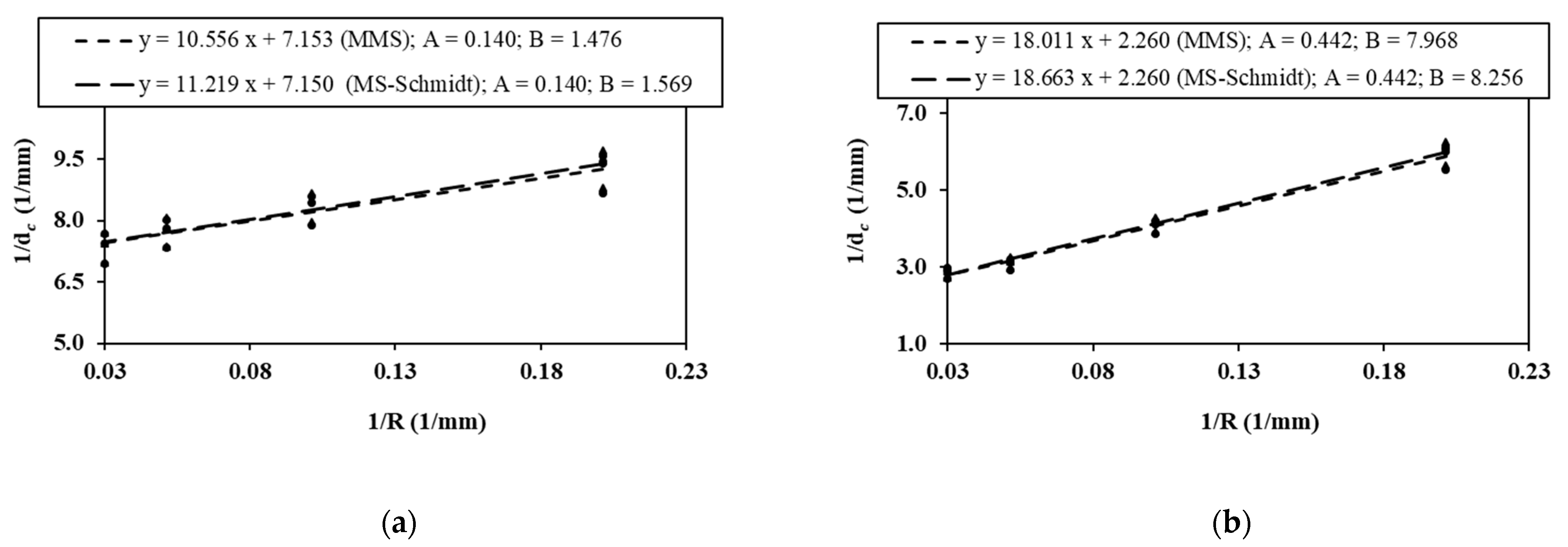
2.5. MS–Schmidt and MMS Criteria for the Analysis of the Size Effect
3. Results and Discussion
4. Conclusions
Author Contributions
Funding
Institutional Review Board Statement
Informed Consent Statement
Data Availability Statement
Conflicts of Interest
Appendix A



References
- Kufner, M.; Kufner, S. Fabrication of monolithic integrated fiber-lens connector arrays by deep proton irradiation. Microsyst. Technol. 1995, 2, 114–117. [Google Scholar] [CrossRef]
- Baloglu, T.; Kesim, B.; Kılınç, H.I. Effect of glass-fiber usage on bond strength of acrylic resin to components of removable partial denture. Eur. J. Prosthodont. 2015, 3, 27–31. [Google Scholar]
- Elias-Kohav, T.; Finkels, A.; Wagner, H.D.; Pourdeyhimi, B. An experimental study of the mechanical properties of fiber reinforced poly (methyl methacrylate): Effects of fiber type, content and aspect ratio. Sci. Eng. Compos. Mater. 1992, 2, 99–118. [Google Scholar] [CrossRef]
- Quagliato, L.; Lee, J.; Fonseca, J.H.; Han, D.; Lee, H.; Kim, N. Influences of stress triaxiality and local fiber orientation on the failure strain for injection-molded carbon fiber reinforced polyamide-6. Eng. Fract. Mech. 2021, 250, 107784. [Google Scholar] [CrossRef]
- Ricotta, M.; Sorgato, M.; Zappalorto, M. Tensile and compressive quasi-static behaviour of 40% short glass fibre—PPS reinforced composites with and without geometrical variations. Theor. Appl. Fract. Mech. 2021, 114, 102990. [Google Scholar] [CrossRef]
- Ghadirian, H.R.; Akbardoost, J.; Zhaleh, A.R. Fracture analysis of rock specimens weakened by rounded-V and U-shaped notches under pure mode I loading. Int. J. Rock Mech. Min. Sci. 2019, 123, 104103. [Google Scholar] [CrossRef]
- Benvidi, A.; Ayatollahi, M.R.; Heydari-Meybodi, M. Fracture analysis of rounded-tip V-notched components made of rubber-like materials using averaged strain energy density criterion. Procedia Struct. Integr. 2019, 21, 12–20. [Google Scholar] [CrossRef]
- Chen, D.H. Investigation on Filippi’s stress equation for V-shaped notch with rounded vertex Part I: Mode I stresses. Eng. Fract. Mech. 2017, 169, 163–177. [Google Scholar] [CrossRef]
- Carpinteri, A.; Cornetti, P.; Sapora, A. Brittle failures at rounded V-notches: A finite fracture mechanics approach. Int. J. Fract. 2011, 172, 1–8. [Google Scholar] [CrossRef]
- Ayatollahi, M.R.; Torabi, A.R. Brittle fracture in rounded-tip V-shaped notches. Mater. Des. 2010, 31, 60–67. [Google Scholar] [CrossRef]
- Lazzarin, P.; Berto, F.; Elices, M.; Sánchez, F.J. Brittle failures from U- and V-notches in mode I and mixed, I + II, mode: A synthesis based on the strain energy density averaged on finite-size volumes. Fatigue Fract. Eng. Mater. Struct. 2009, 32, 671–684. [Google Scholar] [CrossRef]
- Bazant, Z.P. Size Effect in blunt fracture: Concrete, rock, metal. J. Eng. Mech. 1984, 110, 518–535. [Google Scholar] [CrossRef]
- Kim, J.K.; Yi, S.; Park, C.; Eo, S.H. Size effect on compressive strength of plain and spirally reinforced concrete cylinders. ACI Struct. J. 1999, 96, 88–94. [Google Scholar]
- Bazant, Z.P. Asymptotic matching analysis of scaling of structural failure due to softening hinges. I: Theory. J. Eng. Mech. 2003, 129, 641–650. [Google Scholar] [CrossRef]
- Bazant, Z.P. Scaling theory for quasibrittle structural failure. Proc. Natl. Acad. Sci. USA 2004, 101, 13400–13407. [Google Scholar] [CrossRef]
- Bazant, Z.P.; Daniel, I.M.; Li, Z. Size effect and fracture characteristics of composite laminates. J. Eng. Mater. Technol. 1996, 118, 317–324. [Google Scholar] [CrossRef]
- Bazant, Z.P.; Gettu, R.; Kazemi, M.T. Identification of nonlinear fracture properties from size effect tests and structural analysis based on geometry-dependent R-curves. Int. J. Rock Mech. Min. Sci. Geomech. Abstr. 1991, 28, 43–51. [Google Scholar] [CrossRef]
- Bazant, Z.P.; Kim, J.K. Fracture theory for nonhomogeneous brittle materials with application to ice. In Proceedings of the ASCE National Conference on Civil Engineering in the Arctic Offshore-Artic85, San Francisco, CA, USA, 25 March 1985. [Google Scholar]
- Bazant, Z.P.; Tabbara, M.R.; Kazemi, M.T.; Pijaudier-Cabot, G. Random particle model for fracture of aggregate or fiber composites. J. Eng. Mech. 1990, 116, 1686–1705. [Google Scholar] [CrossRef]
- Bazant, Z.P.; Vořechovský, M.; Novák, D. Asymptotic prediction of energetic-statistical size effect from deterministic finite-element solutions. J. Eng. Mech. 2007, 133, 153–162. [Google Scholar] [CrossRef]
- Carpinteri, A. Decrease of apparent tensile and bending strength with specimen size: Two different explanations based on fracture mechanics. Int. J. Solids Struct. 1989, 25, 407–429. [Google Scholar] [CrossRef]
- Duan, K.; Hu, X.; Wittmann, F. Asymptotic analysis of boundary effects on fracture properties of quasi-brittle materials. In Proceedings of the International Symposium on Macro-, Meso-, Micro- and Nano-Mechanics of Materials-MM2003, Hong Kong, China, 8 December 2003. [Google Scholar]
- Hu, X. Size effects in toughness induced by crack close to free edge. In Proceedings of the Third Fracture Mechanics of Concrete and Concrete Structures- FRAMCOS-3, Gifu, Japan, 12 October 1998. [Google Scholar]
- Hu, X. An asymptotic approach to size effect on fracture toughness and fracture energy of composites. Eng. Fract. Mech. 2002, 69, 555–564. [Google Scholar] [CrossRef]
- Hu, X.; Duan, K. Size effect: Influence of proximity of fracture process zone to specimen boundary. Eng. Fract. Mech. 2007, 74, 1093–1100. [Google Scholar] [CrossRef]
- Karihaloo, B.L. Size effect in shallow and deep notched quasi-brittle structures. Int. J. Fract. 1999, 95, 379–390. [Google Scholar] [CrossRef]
- Hillerborg, A.; Modéer, M.; Petersson, P.E. Analysis of crack formation and crack growth in concrete by means of fracture mechanics and finite elements. Cem. Concr. Res. 1976, 6, 773–781. [Google Scholar] [CrossRef]
- Cornetti, P.; Pugno, N.; Carpinteri, A.; Taylor, D. Finite fracture mechanics: A coupled stress and energy failure criterion. Eng. Fract. Mech. 2006, 73, 2021–2033. [Google Scholar] [CrossRef]
- Ayatollahi, M.R.; Akbardoost, J. Size effects on fracture toughness of quasi-brittle materials—A new approach. Eng. Fract. Mech. 2012, 92, 89–100. [Google Scholar] [CrossRef]
- Yamauchi, Y.; Nakano, M.; Kishida, K.; Okabe, T. Measurement of fracture toughness for brittle materials under mixed-mode impact loading using center-notched disk specimen. J. Soc. Mater. Sci. Jpn. 2000, 49, 1324–1329. [Google Scholar] [CrossRef]
- Yamauchi, Y.; Nakano, M.; Kishida, K.; Okabe, T. Measurement of mixed-mode fracture toughness for brittle materials using edge-notched half-disk specimen. J. Soc. Mater. Sci. Jpn. 2001, 50, 229–234. [Google Scholar] [CrossRef]
- Bazant, Z.P.; Yu, Q. Universal size effect law and effect of crack depth on quasi-brittle structure strength. J. Eng. Mech. 2009, 135, 78–84. [Google Scholar] [CrossRef]
- Li, H.; Li, J.; Singh, G.; Fok, A. Fracture behavior of nuclear graphite NBG-18. Carbon 2013, 60, 46–56. [Google Scholar] [CrossRef]
- Khoramishad, H.; Akbardoost, J.; Ayatollahi, M.R. Size effects on parameters of cohesive zone model in mode I fracture of limestone. Int. J. Damage Mech. 2014, 23, 588–605. [Google Scholar] [CrossRef]
- Ayatollahi, M.R.; Akbardoost, J.; Berto, F. Size effects on mixed-mode fracture behavior of polygranular graphite. Carbon 2016, 103, 394–403. [Google Scholar] [CrossRef]
- Akbardoost, J.; Rastin, A. Scaling effect on the mixed-mode fracture path of rock materials. Phys. Mesomech. 2016, 19, 441–451. [Google Scholar] [CrossRef]
- Çağlar, Y.; Şener, S. Size effect tests of different notch depth specimens with support rotation measurements. Eng. Fract. Mech. 2016, 157, 43–55. [Google Scholar] [CrossRef]
- Gao, X.; Koval, G.; Chazallon, C. Energetical formulation of size effect law for quasi-brittle fracture. Eng. Fract. Mech. 2017, 175, 279–292. [Google Scholar] [CrossRef]
- Akbardoost, J.; Amirafshari, R.; Mohsenzade, O.; Berto, F. Scaling effect on the fracture toughness of bone materials using MMTS criterion. J. Mech. Behav. Biomed. Mater. 2018, 85, 72–79. [Google Scholar] [CrossRef] [PubMed]
- Alam, S.Y.; Zhu, R.; Loukili, A. A new way to analyse the size effect in quasi-brittle materials by scaling the heterogeneity size. Eng. Fract. Mech. 2020, 225, 106864. [Google Scholar] [CrossRef]
- Torabi, A.R.; Jabbari, M.; Akbardoost, J. Mixed mode notch fracture toughness assessment of quasi-brittle polymeric specimens at different scales. Theor. Appl. Fract. Mech. 2020, 109, 102682. [Google Scholar] [CrossRef]
- Torabi, A.R.; Jabbari, M.; Akbardoost, J. Scaling effects on notch fracture toughness of graphite specimens under mode I loading. Eng. Fract. Mech. 2020, 235, 107153. [Google Scholar] [CrossRef]
- Di Luzio, G.; Cusatis, G. Cohesive crack analysis of size effect for samples with blunt notches and generalized size effect curve for quasi-brittle materials. Eng. Fract. Mech. 2018, 204, 15–28. [Google Scholar] [CrossRef]
- Horn, A.J.; Sherry, A.H.; Budden, P.J. Size and geometry effects in notched compact tension specimens. Int. J. Press. Vessel. Pip. 2017, 154, 29–40. [Google Scholar] [CrossRef][Green Version]
- Leguillon, D.; Quesada, D.; Putot, C.; Martin, E. Prediction of crack initiation at blunt notches and cavities—Size effects. Eng. Fract. Mech. 2007, 74, 2420–2436. [Google Scholar] [CrossRef]
- Torabi, A.R.; Etesam, S.; Sapora, A.; Cornetti, P. Size effects on brittle fracture of Brazilian disk samples containing a circular hole. Eng. Fract. Mech. 2017, 186, 496–503. [Google Scholar] [CrossRef]
- Negru, R.; Marsavina, L.; Filipescu, H.; Căplescu, C.; Voiconi, T. Assessment of brittle fracture for PUR materials using local strain energy density and theory of critical distances. Theor. Appl. Fract. Mech. 2015, 79, 62–69. [Google Scholar] [CrossRef]
- Negru, R.; Marsavina, L.; Voiconi, T.; Linul, E.; Filipescu, H.; Belgiu, G. Application of TCD for brittle fracture of notched PUR materials. Theor. Appl. Fract. Mech. 2015, 80, 87–95. [Google Scholar] [CrossRef]
- ASTM International. Standard Test. Method for Tensile Properties of Plastics; ASTM 638-14; ASTM International: West Conshohocken, PA, USA, 2014. [Google Scholar]
- ISO 527-2:2012; Plastics—Determination of Tensile Properties—Part 2: Test Conditions for Moulding and Extrusion Plastics. ISO: Geneva, Switzerland, 2012.
- Kuruppu, M.D.; Obara, Y.; Ayatollahi, M.R.; Chong, K.P.; Funatsu, T. ISRM-suggested method for determining the mode I static fracture toughness using semi-circular bend specimen. Rock Mech. Rock Eng. 2014, 47, 267–274. [Google Scholar] [CrossRef]
- Akbardoost, J.; Ayatollahi, M.R. Experimental analysis of mixed mode crack propagation in brittle rocks: The effect of non-singular terms. Eng. Fract. Mech. 2014, 129, 77–89. [Google Scholar] [CrossRef]
- Lazzarin, P.; Filippi, S. A generalized stress intensity factor to be applied to rounded V-shaped notches. Int. J. Solids Struct. 2006, 43, 2461–2478. [Google Scholar] [CrossRef]
- Filippi, S.; Lazzarin, P.; Tovo, R. Developments of some explicit formulas useful to describe elastic stress fields ahead of notches in plates. Int. J. Solids Struct. 2002, 39, 4543–4565. [Google Scholar] [CrossRef]
- Schmidt, R.A. A microcrack model and its significance to hydraulic fracturing and fracture toughness testing. In Proceedings of the 21st U.S. Symposium on Rock Mechanics—USRMS, Rolla, MO, USA, 27 May 1980. [Google Scholar]
- Ayatollahi, M.R.; Torabi, A.R. Failure assessment of notched polycrystalline graphite under tensile-shear loading. Mater. Sci. Eng. A 2011, 528, 5685–5695. [Google Scholar] [CrossRef]
- Ayatollahi, M.R.; Torabi, A.R. Experimental verification of RV-MTS model for fracture in soda-lime glass weakened by a V-notch. J. Mech. Sci. Technol. 2011, 25, 2529–2534. [Google Scholar] [CrossRef]











| R | d or a | 2S | ||
|---|---|---|---|---|
| CBD | 5 | 5 | - | - |
| 10 | 10 | - | - | |
| 20 | 20 | - | - | |
| 35 | 35 | - | - | |
| SCB | 5 | 2.5 | 8 | - |
| 10 | 5 | 16 | - | |
| 20 | 10 | 32 | - | |
| 35 | 17.5 | 56 | - | |
| RVNBD | 5 | 5 | - | 0.5 |
| 10 | 10 | - | 1 | |
| 20 | 20 | - | 2 | |
| 35 | 35 | - | 3.5 | |
| RVSCB | 5 | 2.5 | 8 | 0.5 |
| 10 | 5 | 16 | 1 | |
| 20 | 10 | 32 | 2 | |
| 35 | 17.5 | 56 | 3.5 |
| Specimen | Material | Specimens Radius, R | Crack Length (a or d) | Pf1 | Pf2 | Pf3 | Pf,average |
|---|---|---|---|---|---|---|---|
| CBD | PMMA | 5 | 5 | 791.0 | 761.0 | 708.5 | 753.5 |
| 10 | 10 | 1058.0 | 1170.5 | 1148.0 | 1125.5 | ||
| 20 | 20 | 1679.5 | 1713.0 | 1572.0 | 1654.8 | ||
| 35 | 35 | 2345.0 | 2277.5 | 2109.5 | 2244.0 | ||
| GPPS | 5 | 5 | 524.5 | 564.0 | 586.0 | 558.2 | |
| 10 | 10 | 972.0 | 991.0 | 895.5 | 952.8 | ||
| 20 | 20 | 1573.5 | 1473.0 | 1604.5 | 1550.3 | ||
| 35 | 35 | 2232.0 | 2168.0 | 2008.0 | 2136.0 | ||
| SCB (S/R = 0.8) | PMMA | 5 | 2.5 | 210.0 | 196.5 | 209.0 | 205.2 |
| 10 | 5 | 377.3 | 370.5 | 339.5 | 362.4 | ||
| 20 | 10 | 528.8 | 558.5 | 551.5 | 546.3 | ||
| 35 | 17.5 | 773.5 | 709.7 | 765.0 | 749.4 | ||
| GPPS | 5 | 2.5 | 129.5 | 121.7 | 130.2 | 127.1 | |
| 10 | 5 | 212.5 | 232.0 | 236.0 | 226.8 | ||
| 20 | 10 | 402.0 | 424.0 | 419.2 | 415.1 | ||
| 35 | 17.5 | 596.5 | 547.5 | 590.0 | 578.0 |
| Specimen | Material | 2α (deg) | Specimen Radius, R | Pf1 | Pf2 | Pf3 | Pf,average |
|---|---|---|---|---|---|---|---|
| RVNBD | PMMA | 30 | 5 | 593.4 | 564.3 | 587.6 | 581.8 |
| 10 | 979.7 | 1083.7 | 1062.8 | 1042.0 | |||
| 20 | 1981.6 | 2001.0 | 1845.6 | 1942.7 | |||
| 35 | 3341.5 | 3129.6 | 3308.9 | 3260.0 | |||
| 60 | 5 | 458.0 | 435.5 | 453.5 | 449.0 | ||
| 10 | 795.9 | 880.6 | 863.6 | 846.7 | |||
| 20 | 1559.0 | 1574.4 | 1452.0 | 1528.5 | |||
| 35 | 2701.4 | 2530.0 | 2675.0 | 2635.5 | |||
| 90 | 5 | 301.3 | 283.3 | 303.4 | 296.0 | ||
| 10 | 517.8 | 564.8 | 575.3 | 552.6 | |||
| 20 | 1045.4 | 1057.8 | 1001.9 | 1035.0 | |||
| 35 | 1816.9 | 1685.2 | 1836.4 | 1779.5 | |||
| GPPS | 30 | 5 | 365.0 | 343.0 | 367.5 | 358.5 | |
| 10 | 623.6 | 680.0 | 692.8 | 665.5 | |||
| 20 | 1270.0 | 1285.2 | 1217.3 | 1257.5 | |||
| 35 | 2130.3 | 1975.9 | 2153.3 | 2086.3 | |||
| 60 | 5 | 298.0 | 280.0 | 300.0 | 292.7 | ||
| 10 | 514.0 | 560.8 | 571.2 | 548.7 | |||
| 20 | 988.8 | 1000.5 | 947.7 | 979.0 | |||
| 35 | 1741.5 | 1615.3 | 1760.3 | 1705.7 | |||
| 90 | 5 | 192.9 | 181.4 | 194.2 | 189.5 | ||
| 10 | 345.0 | 376.4 | 383.4 | 368.3 | |||
| 20 | 709.5 | 718.0 | 680.0 | 702.5 | |||
| 35 | 1164.7 | 1080.2 | 1177.2 | 1140.7 | |||
| RVSCB | PMMA | 45 | 5 | 208.0 | 195.5 | 209.4 | 204.3 |
| 10 | 346.4 | 377.8 | 384.9 | 369.7 | |||
| 20 | 681.0 | 689.2 | 652.8 | 674.3 | |||
| 35 | 1110.6 | 1030.0 | 1122.6 | 1087.7 | |||
| 90 | 5 | 219.4 | 198.8 | 212.9 | 210.4 | ||
| 10 | 358.4 | 394.8 | 383.4 | 378.9 | |||
| 20 | 651.0 | 688.8 | 695.6 | 678.5 | |||
| 35 | 1116.3 | 1072.0 | 1127.3 | 1105.2 | |||
| GPPS | 45 | 5 | 120.9 | 114.9 | 119.7 | 118.5 | |
| 10 | 223.2 | 246.9 | 242.0 | 237.4 | |||
| 20 | 437.0 | 441.4 | 407.1 | 428.5 | |||
| 35 | 701.0 | 656.6 | 694.3 | 684.0 | |||
| 90 | 5 | 128.8 | 119.7 | 129.5 | 126.0 | ||
| 10 | 235.0 | 257.9 | 256.2 | 249.7 | |||
| 20 | 437.8 | 440.4 | 419.6 | 432.6 | |||
| 35 | 702.0 | 662.7 | 708.3 | 691.0 |
| Specimen | Material | Specimens Radius, R | Crack Length (a or d) | Pf,average | KIc | Standard Deviation (%) |
|---|---|---|---|---|---|---|
| CBD | PMMA | 5 | 5 | 753.5 | 0.983 | 5.5 |
| 10 | 10 | 1125.5 | 1.038 | 5.3 | ||
| 20 | 20 | 1654.8 | 1.079 | 4.4 | ||
| 35 | 35 | 2244.0 | 1.106 | 5.4 | ||
| GPPS | 5 | 5 | 558.2 | 0.729 | 5.6 | |
| 10 | 10 | 952.8 | 0.879 | 5.3 | ||
| 20 | 20 | 1550.3 | 1.011 | 4.4 | ||
| 35 | 35 | 2136.0 | 1.053 | 5.4 | ||
| SCB (S/R = 0.8) | PMMA | 5 | 2.5 | 205.2 | 1.976 | 3.7 |
| 10 | 5 | 362.4 | 2.468 | 5.6 | ||
| 20 | 10 | 546.3 | 2.630 | 2.8 | ||
| 35 | 17.5 | 749.4 | 2.727 | 4.6 | ||
| GPPS | 5 | 2.5 | 127.1 | 1.224 | 3.7 | |
| 10 | 5 | 226.8 | 1.545 | 5.5 | ||
| 20 | 10 | 415.1 | 1.998 | 2.8 | ||
| 35 | 17.5 | 578.0 | 2.104 | 4.6 |
| Specimen | Material | 2α (deg) | Specimen Radius, R | KIcV,ρ |
|---|---|---|---|---|
| RVNBD | PMMA | 30 | 5 | 1.86 MPa·m0.4986 |
| 10 | 2.36 MPa·m0.4986 | |||
| 20 | 3.94 MPa·m0.4986 | |||
| 35 | 3.94 MPa·m0.4986 | |||
| 60 | 5 | 1.88 MPa·m0.4878 | ||
| 10 | 2.48 MPa·m0.4878 | |||
| 20 | 3.14 MPa·m0.4878 | |||
| 35 | 4.07 MPa·m0.4878 | |||
| 90 | 5 | 2.46 MPa·m0.4552 | ||
| 10 | 3.14 MPa·m0.4552 | |||
| 20 | 4.04 MPa·m0.4552 | |||
| 35 | 5.11 MPa·m0.4552 | |||
| GPPS | 30 | 5 | 1.15 MPa·m0.4986 | |
| 10 | 1.51 MPa·m0.4986 | |||
| 20 | 2.01 MPa·m0.4986 | |||
| 35 | 2.52 MPa·m0.4986 | |||
| 60 | 5 | 1.22 MPa·m0.4878 | ||
| 10 | 1.61 MPa·m0.4878 | |||
| 20 | 2.01 MPa·m0.4878 | |||
| 35 | 2.63 MPa·m0.4878 | |||
| 90 | 5 | 1.57 MPa·m0.4552 | ||
| 10 | 2.09 MPa·m0.4552 | |||
| 20 | 2.63 MPa·m0.4552 | |||
| 35 | 3.28 MPa·m0.4552 | |||
| RVSCB | PMMA | 45 | 5 | 2.33 MPa·m0.4950 |
| 10 | 2.97 MPa·m0.4950 | |||
| 20 | 3.82 MPa·m0.4950 | |||
| 35 | 4.65 MPa·m0.4950 | |||
| 90 | 5 | 3.34 MPa·m0.4552 | ||
| 10 | 4.12 MPa·m0.4552 | |||
| 20 | 5.06 MPa·m0.4552 | |||
| 35 | 6.07 MPa·m0.4552 | |||
| GPPS | 45 | 5 | 1.35 MPa·m0.4950 | |
| 10 | 1.91 MPa·m0.4950 | |||
| 20 | 2.43 MPa·m0.4950 | |||
| 35 | 2.99 MPa·m0.4950 | |||
| 90 | 5 | 2.00 MPa·m0.4552 | ||
| 10 | 2.71 MPa·m0.4552 | |||
| 20 | 3.22 MPa·m0.4552 | |||
| 35 | 3.79 MPa·m0.4552 |
| Specimen | Material | Specimens Radius, R | KIc | dc-Schmidt | dc-MMS |
|---|---|---|---|---|---|
| CBD | PMMA | 5 | 0.983 | 0.1070 | 0.1085 |
| 10 | 1.038 | 0.1194 | 0.1203 | ||
| 20 | 1.079 | 0.1290 | 0.1295 | ||
| 35 | 1.106 | 0.1356 | 0.1359 | ||
| GPPS | 5 | 0.729 | 0.1665 | 0.1702 | |
| 10 | 0.879 | 0.2427 | 0.2466 | ||
| 20 | 1.011 | 0.3213 | 0.3247 | ||
| 35 | 1.053 | 0.3486 | 0.3509 | ||
| SCB (S/R = 0.8) | PMMA | 5 | 1.976 | 0.4326 | 0.3628 |
| 10 | 2.468 | 0.6749 | 0.5861 | ||
| 20 | 2.630 | 0.7664 | 0.7049 | ||
| 35 | 2.727 | 0.8240 | 0.7818 | ||
| GPPS | 5 | 1.224 | 0.4710 | 0.3896 | |
| 10 | 1.545 | 0.7504 | 0.6426 | ||
| 20 | 1.998 | 1.2550 | 1.0998 | ||
| 35 | 2.104 | 1.3917 | 1.2763 |
Publisher’s Note: MDPI stays neutral with regard to jurisdictional claims in published maps and institutional affiliations. |
© 2022 by the authors. Licensee MDPI, Basel, Switzerland. This article is an open access article distributed under the terms and conditions of the Creative Commons Attribution (CC BY) license (https://creativecommons.org/licenses/by/4.0/).
Share and Cite
Torabi, A.R.; Jabbari, M.; Akbardoost, J.; Cicero, S. A Modified Mean Stress Criterion for Considering Size Effects on Mode I Fracture Estimation of Rounded-Tip V-Notched Polymeric Specimens. Polymers 2022, 14, 1491. https://doi.org/10.3390/polym14071491
Torabi AR, Jabbari M, Akbardoost J, Cicero S. A Modified Mean Stress Criterion for Considering Size Effects on Mode I Fracture Estimation of Rounded-Tip V-Notched Polymeric Specimens. Polymers. 2022; 14(7):1491. https://doi.org/10.3390/polym14071491
Chicago/Turabian StyleTorabi, Ali Reza, Mahdi Jabbari, Javad Akbardoost, and Sergio Cicero. 2022. "A Modified Mean Stress Criterion for Considering Size Effects on Mode I Fracture Estimation of Rounded-Tip V-Notched Polymeric Specimens" Polymers 14, no. 7: 1491. https://doi.org/10.3390/polym14071491
APA StyleTorabi, A. R., Jabbari, M., Akbardoost, J., & Cicero, S. (2022). A Modified Mean Stress Criterion for Considering Size Effects on Mode I Fracture Estimation of Rounded-Tip V-Notched Polymeric Specimens. Polymers, 14(7), 1491. https://doi.org/10.3390/polym14071491

