Pultruded Hybrid Reinforced Compounds with Glass/Cellulose Fibers in a Polybutylene Terephthalate Matrix: Property Investigation
Abstract
:1. Introduction
2. Materials and Methods
2.1. Materials
2.1.1. Matrix Polymer
2.1.2. Fibers
2.2. Experiment
2.2.1. Processing
2.2.2. Pultrusion
2.2.3. Injection Molding
2.3. Characterization
2.3.1. Tensile Tests
2.3.2. Charpy Impact Tests
2.3.3. Three-Point Bending Test
2.3.4. Scanning Electron Microscope (SEM)
2.3.5. Dynamic Image Analysis
2.3.6. X-ray Microtomography Analysis
3. Results and Discussion
3.1. Density Measurement
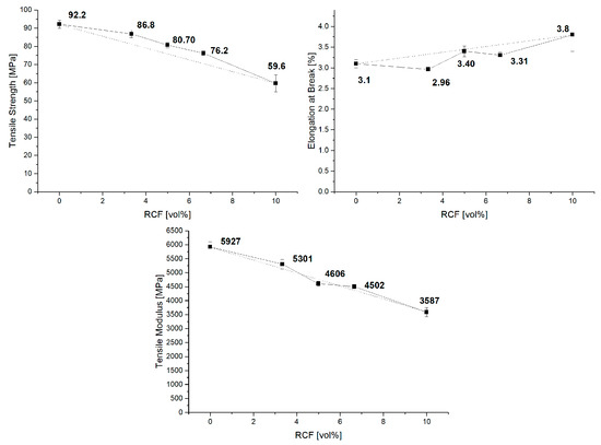
3.2. Mechanical Properties
3.3. RoHM
3.4. Scanning Electron Microscope (SEM)
3.5. Dynamic Image Analysis
3.6. X-ray Microtomography
4. Conclusions
- A strong fiber matrix interface was realized with the PBT matrix and was investigated with a small amount of fiber volume (10 vol%) to have observe the interaction of the fiber types. The results of the tensile testing show values close to the RoHM predictions for strength and modulus, with a small positive hybrid effect. The elongation at break shows a negative hybrid effect.
- The three-point bending test shows results similar to the tensile test. The strength and modulus are slightly positive in the hybrid effect, and the elongation at the flexural break shows a negative hybrid effect. The Charpy impact tests show a high positive hybrid effect for the reinforced compounds with two fiber types. The SEM images show broken fibers at the breaking surface for the reference compounds and more long pulled-out fibers for the hybrid compounds. This shows an interaction of the fiber types at a strong interface.
- The DIA results shows that a high amount of the RCF in the reference compound shortens the length to about 100 µm. The GF reference has a high distribution density at 400 µm, which means that the GF appears longer than the RCF. The hybrid compounds show the highest distribution density at about 200 µm. The compounds with higher RCF ratios show a high distribution of longer fibers >800 µm.
- The compounds with a high GF ratio show an increasing distribution density at a small angle θ, which means that the fibers in this compound are well oriented. The GF fiber length measured using X-ray microtomography shows similar results compared to the results of the DIA. The reference GF shows the highest distribution at 400 µm. With an increasing amount of RCF in the hybrid compounds, the GF distribution with a short length of about 200 µm also increases.
- The granulation of the pultruded strand leads to fiber clusters in the specimen. A high injection speed and a high back pressure to loosen fiber clusters leads to short fibers in the reference RCF compounds. These short fibers lead to a low impact strength in the notched Charpy impact test.
Author Contributions
Funding
Institutional Review Board Statement
Informed Consent Statement
Data Availability Statement
Acknowledgments
Conflicts of Interest
References
- Ayadi, A.; Nouri, H.; Guessasma, S.; Roger, F. An original approach to assess elastic properties of a short glass fibre reinforced thermoplastic combining X-ray tomography and finite element computation. Compos. Struct. 2015, 125, 277–286. [Google Scholar] [CrossRef]
- Tseng, H.-C.; Chang, R.-Y.; Hsu, C.-H. Numerical prediction of fiber orientation and mechanical performance for short/long glass and carbon fiber-reinforced composites. Compos. Sci. Technol. 2017, 144, 51–56. [Google Scholar] [CrossRef]
- Miwa, M.; Horiba, N. Effects of fibre length on tensile strength of carbon/glass fibre hybrid composites. J. Mater. Sci. 1994, 29, 973–977. [Google Scholar] [CrossRef]
- Rajpurohit, A.; Joannès, S.; Singery, V.; Sanial, P.; Laiarinandrasana, L. Hybrid effect in in-plane loading of carbon/glass fibre based inter- and intraply hybrid composites. J. Compos. Sci. 2020, 4, 6. [Google Scholar] [CrossRef] [Green Version]
- Zarges, J.-C.; Kaufhold, C.; Feldmann, M.; Heim, H.-P. Single fiber pull-out test of regenerated cellulose fibers in polypropylene: An energetic evaluation. Compos. Part A Appl. Sci. Manuf. 2018, 105, 19–27. [Google Scholar] [CrossRef]
- Kahl, C.; Feldmann, M.; Heim, H.-P. Inline UV light irradiation of cellulose and glass fibers in pultrusion of thermoplastic composites. In Proceedings of the Annual Technical Conference—ANTEC, Orlando, FL, USA, 7–10 May 2018. [Google Scholar]
- Khan, M.A.; Ganster, J.; Fink, H.-P. Hybrid composites of jute and man-made cellulose fibers with polypropylene by injection moulding. Compos. Part A Appl. Sci. Manuf. 2009, 40, 846–851. [Google Scholar] [CrossRef]
- Ganster, J.; Fink, H.-P. Chapter 18 man-made cellulose short fiber reinforced oil and bio-based thermoplastics. In Cellulose Fibers: Bio- and Nano-Polymer Composites; Kalia, S., Kaith, B.S., Kaur, I., Eds.; Springer: Berlin/Heidelberg, Germany, 2011; pp. 479–506. [Google Scholar]
- Feldmann, M.; Heim, H.-P.; Zarges, J.-C. Influence of the process parameters on the mechanical properties of engineering biocomposites using a twin-screw extruder. Compos. Part A Appl. Sci. Manuf. 2015, 83, 113–119. [Google Scholar] [CrossRef]
- Cui, H.; Kessler, M. Pultruded glass fiber/bio-based polymer: Interface tailoring with silane coupling agent. Compos. Part A Appl. Sci. Manuf. 2014, 65, 83–90. [Google Scholar] [CrossRef]
- Franciszczak, P.; Kalniņš, K.; Błędzki, A. Hybridisation of man-made cellulose and glass reinforcement in short-fibre composites for injection moulding—Effects on mechanical performance. Compos. Part B Eng. 2018, 145, 14–27. [Google Scholar] [CrossRef]
- Ganster, J.; Fink, H.-P. Novel cellulose fibre reinforced thermoplastic materials. Cellulose 2006, 13, 271–280. [Google Scholar] [CrossRef]
- Annandarajah, C.; Langhorst, A.; Kiziltas, A.; Grewell, D.; Mielewski, D.; Montazami, R. Hybrid cellulose-glass fiber composites for automotive applications. Materials 2019, 12, 3189. [Google Scholar] [CrossRef] [PubMed] [Green Version]
- Kahl, C.; Feldmann, M.; Sälzer, P.; Heim, H.-P. Advanced short fiber composites with hybrid reinforcement and selective fiber-matrix-adhesion based on polypropylene—Characterization of mechanical properties and fiber orientation using high-resolution X-ray tomography. Compos. Part A Appl. Sci. Manuf. 2018, 111, 54–61. [Google Scholar] [CrossRef]
- Gemmeke, N.; Feldmann, M.; Heim, H.-P. Processing and characterization of engineering biocomposites based on polybutylenterephthalat (PBT) and polytrimethylentherephthalat (PTT) with regenerated cellulose fibers modified with maleic anhydride grafted polyethylene as a processing agent. Compos. Part A Appl. Sci. Manuf. 2019, 118, 327–335. [Google Scholar] [CrossRef]
- Mrzljak, S.; Delp, A.; Schlink, A.; Zarges, J.-C.; Hülsbusch, D.; Heim, H.-P.; Walther, F. Constant temperature approach for the assessment of injection molding parameter influence on the fatigue behavior of short glass fiber reinforced polyamide. Polymers 2021, 13, 1569. [Google Scholar] [CrossRef] [PubMed]
- Bacaicoa, I.; Lütje, M.; Sälzer, P.; Umbach, C.; Brückner-Foit, A.; Heim, H.-P.; Middendorf, B. Comparative investigation of two-dimensional imaging methods and X-ray tomography in the characterization of microstructure. Mater. Test. 2017, 59, 829–836. [Google Scholar] [CrossRef]
- Kahl, C.; Gemmeke, N.; Bagnucki, J.; Heim, H.-P. Investigations on fiber–matrix properties of heat-treated and UV-treated regenerated cellulose fibers. Compos. Part A Appl. Sci. Manuf. 2021, 152, 106669. [Google Scholar] [CrossRef]
- Bledzki, A.; Feldmann, M.; Jaszkiewicz, A.; Ossadnik, S. Verfahren zur Herstellung eines faserverstärkten thermoplastischen Polymers sowie Extrusionswerkzeug und Einrichtung zur Temperierung eines mit einer Polymerschmelze imprägnierten Faserstrangs. Germany Patent DE102011010330A1, 9 August 2012. [Google Scholar]
- Fu, S.Y.; Lauke, B.; Mäder, E.; Yue, C.Y.; Hu, X.; Mai, Y.W. Hybrid effects on tensile properties of hybrid short-glass-fiber-and short-carbon-fiber-reinforced polypropylene composites. J. Mater. Sci. 2001, 35, 1243–1251. [Google Scholar] [CrossRef]
- Teuber, L.; Militz, H.; Krause, A. Dynamic particle analysis for the evaluation of particle degradation during compounding of wood plastic composites. Compos. Part A Appl. Sci. Manuf. 2016, 84, 464–471. [Google Scholar] [CrossRef]
- Sälzer, P.; Feldmann, M.; Heim, H.-P. Wood-polypropylene composites: Influence of processing on the particle shape and size in correlation with the mechanical properties using dynamic image analysis. Int. Polym. Process. 2018, 33, 677–687. [Google Scholar] [CrossRef]
- Advani, S.; Tucker, C. The use of tensors to describe and predict fiber orientation in short fiber composites. J. Rheol. 1987, 31, 751–784. [Google Scholar] [CrossRef]
- Feldmann, M. The effects of the injection moulding temperature on the mechanical properties and morphology of polypropylene man-made cellulose fibre composites. Compos. Part A Appl. Sci. Manuf. 2016, 87, 146–152. [Google Scholar] [CrossRef]
- Feldmann, M.; Bledzki, A.K. Bio-based polyamides reinforced with cellulosic fibres—Processing and properties. Compos. Sci. Technol. 2014, 100, 113–120. [Google Scholar] [CrossRef]
- Dai, H.-L.; Huang, Z.-W.; Mei, C.; Lin, Z.-Y. Prediction of the tensile strength of hybrid polymer composites filled with spherical particles and short fibers. Compos. Struct. 2018, 187, 509–517. [Google Scholar] [CrossRef]







| Roving Type | Fiber Diameter [µm] | Number of Fibers | Density of Material [g/cm3] | Density Tex [g/km] | Young’s Modulus [MPa] | Tensile Strength [MPa] | Elongation at Break [%] |
|---|---|---|---|---|---|---|---|
| E-glass fiber | 15.5 | 1250 | 2.54 | 600 | 3400 | 3.5 | |
| Cordenka Cellulose CR-Type | 12 | 1350 | 1.5 | 244 | 2200 | 825 | 13 |
| BASF Ultradur B4500 | - | - | 1.3 | - | 2500 | 55 | 3.7 |
| Zone 1 | Zone 2 | Zone 3 | |
|---|---|---|---|
| Temperature Extruder [°C] | 235 | 245 | 260 |
| Tool Body | Nozzle | ||
| Temperature Extrusion Die [°C] | 250 | 260 |
| Composition | Weight% GF | Weight% RCF | vol% GF | vol% RCF | vol% Total |
|---|---|---|---|---|---|
| GF | 18 | - | 10 | - | 10 |
| GF > RCF | 12 | 4 | 6.66 | 3.3 | 10 |
| GF = RCF | 9 | 6 | 5 | 5 | 10 |
| GF < RCF | 6 | 8 | 3.3 | 6.6 | 10 |
| RCF | - | 12 | - | 10 | 10 |
| Cylinder length | [μm] | 38 |
| Angular sampling | 5 | |
| Mask cylinder radius | [μm] | 10 |
| Outer cylinder radius | [μm] | 6 |
| Minimum seed correlation | 185 | |
| Minimum continuation quality | 85 | |
| Direction coefficient | 0.2 | |
| Minimum distance | [μm] | 6 |
| Minimum length | [μm] | 38 |
| Composition | Calculated Density [g/cm3] | Measured Density [g/cm3] | Difference to Calc. Density [%] |
|---|---|---|---|
| GF | 1.43 | 1.422 | −0.56 |
| GF > RCF | 1.344 | 1.38 | 2.68 |
| GF = RCF | 1.335 | 1.356 | 1.57 |
| GF < RCF | 1.327 | 1.345 | 1.36 |
| RCF | 1.32 | 1.315 | −0.38 |
| Tensile | Impact | Three-Point Bending | |||||
|---|---|---|---|---|---|---|---|
| Strength | Modulus | Strain | Strength | Strength | Modulus | Strain | |
| GF < Cell | 6.3% | 2.9% | −12.5% | 54.4% | 8.8% | 10.7% | −23.9% |
| GF = Cell | 6% | −3.3% | −1.5% | 56.3% | 7.8% | 6.6% | −17.1% |
| GF > Cell | 7.5% | 3% | −7.9% | 57.7% | 8.2% | 7.8% | −21.5% |
Publisher’s Note: MDPI stays neutral with regard to jurisdictional claims in published maps and institutional affiliations. |
© 2022 by the authors. Licensee MDPI, Basel, Switzerland. This article is an open access article distributed under the terms and conditions of the Creative Commons Attribution (CC BY) license (https://creativecommons.org/licenses/by/4.0/).
Share and Cite
Kahl, C.; Schlink, A.; Heim, H.-P. Pultruded Hybrid Reinforced Compounds with Glass/Cellulose Fibers in a Polybutylene Terephthalate Matrix: Property Investigation. Polymers 2022, 14, 1149. https://doi.org/10.3390/polym14061149
Kahl C, Schlink A, Heim H-P. Pultruded Hybrid Reinforced Compounds with Glass/Cellulose Fibers in a Polybutylene Terephthalate Matrix: Property Investigation. Polymers. 2022; 14(6):1149. https://doi.org/10.3390/polym14061149
Chicago/Turabian StyleKahl, Christian, André Schlink, and Hans-Peter Heim. 2022. "Pultruded Hybrid Reinforced Compounds with Glass/Cellulose Fibers in a Polybutylene Terephthalate Matrix: Property Investigation" Polymers 14, no. 6: 1149. https://doi.org/10.3390/polym14061149
APA StyleKahl, C., Schlink, A., & Heim, H.-P. (2022). Pultruded Hybrid Reinforced Compounds with Glass/Cellulose Fibers in a Polybutylene Terephthalate Matrix: Property Investigation. Polymers, 14(6), 1149. https://doi.org/10.3390/polym14061149

