A Study of Concept to Prepare Totally Biosourced Wood Adhesives from Only Soy Protein and Tannin
Abstract
:1. Introduction
2. Materials and Methods
2.1. Materials
2.2. Adhesive Formulations
2.3. Matrix-Assisted Laser Desorption/Ionization Time-of-Flight (MALDI-ToF) Mass Spectrometry
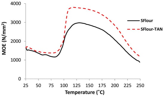
2.4. Thermomechanical Analysis (TMA)
2.5. Plywood Preparation and Testing
3. Results and Discussion
4. Conclusions
Supplementary Materials
Author Contributions
Funding
Institutional Review Board Statement
Informed Consent Statement
Data Availability Statement
Conflicts of Interest
References
- Pizzi, A. Wood products and green chemistry. Ann. For. Sci. 2016, 73, 185–203. [Google Scholar] [CrossRef] [Green Version]
- Raqueza, J.M.; Deleglise, M.; Lacrampea, M.F.; Krawczak, P. Thermosetting (bio) materials derived from renewable resources: A critical review. Prog. Polym. Sci. 2010, 35, 487–509. [Google Scholar] [CrossRef]
- Schwarzkopf, M.; Huang, J.; Li, K. A Formaldehyde-Free Soy-Based Adhesive for Making Oriented Strandboard. J. Adhes. 2010, 86, 352–364. [Google Scholar] [CrossRef]
- Frihart, C.R.; Satori, H. Soy flour dispersibility and performance as wood adhesive. J. Adhes. Sci. Tech. 2013, 27, 2043–2052. [Google Scholar] [CrossRef] [Green Version]
- Hettiarachchy, N.S.; Kalapathy, U.; Myers, D.J. Alkali-Modified Soy Protein with Improved Adhesive and Hydrophobic Properties. J. Am. Oil Chem. Soc 1995, 72, 1461–1464. [Google Scholar] [CrossRef]
- Huang, W.; Sun, X. Adhesive Properties of Soy Proteins Modified by Sodium Dodecyl Sulfate and Sodium Dodecyl benzene Sulfonate. J. Am. Oil Chem. Soc. 2000, 77, 705–708. [Google Scholar] [CrossRef]
- Sun, X.; Bian, K. Shear Strength and Water Resistance of Modified Soy Protein Adhesives. J. Am. Oil Chem. Soc. 1999, 76, 977–980. [Google Scholar] [CrossRef]
- Eslah, F.; Jonoobi, M.; Faezipour, M.; Afsharpour, M.; Enayati, A.A. Preparation and development of a chemically modified bio-adhesive derived from soybean flour protein. Int. J. Adhes. Adhes. 2016, 71, 48–54. [Google Scholar] [CrossRef]
- Zhu, D.; Damodaran, S. Chemical Phosphorylation Improves the Moisture Resistance of Soy Flour-based Wood Adhesive. J. Appl. Polym. Sci. 2014, 131, 40451. [Google Scholar] [CrossRef]
- Allen, A.J.; Marcinko, J.J.; Wagler, T.A.; Sosnowick, A.J. Investigations of the Molecular Interactions of Soy-Based Adhesives. For. Prod. J. 2010, 60, 534–540. [Google Scholar] [CrossRef]
- Wescott, J.M.; Frihart, C.R.; Traska, A.E. High-soy-containing water-durable adhesives. J. Adhes. Sci. Technol. 2006, 20, 859–873. [Google Scholar] [CrossRef]
- Frihart, C.R.; Lorenz, L. Specific oxidants improve the wood bonding strength of soy and other plant flours. J. Polym. Sci. A Polym. Chem. 2019, 57, 1017–1023. [Google Scholar] [CrossRef]
- Frihart, C.R.; Pizzi, A.; Xi, X.; Lorenz, L. Reactions of Soy flour and Soy protein by non-volatile aldehydes generation by specific oxidation. Polymers 2019, 11, 1478. [Google Scholar] [CrossRef] [PubMed] [Green Version]
- Registration, Evaluation, Authorisation and Restriction of Chemicals (REACH). European Commission Ruling EC 1907/2006; L396; European Parliament and Council: Brussels, Belgium, 30 December 2006; pp. 1–849. [Google Scholar]
- Pizzi, A. Tannin-based adhesives. In Wood Adhesives, Chemistry and Technology; Pizzi, A., Ed.; Marcel Deker: New York, NY, USA, 1983. [Google Scholar]
- Sealy-Fisher, V.J.; Pizzi, A. Increased pine tannins extraction and wood adhesives development by phlobaphenes minimization. Holz. Roh. Werkst. 1992, 50, 212–220. [Google Scholar] [CrossRef]
- Ping, L.; Pizzi, A.; Zhou, G.D.; Brosse, N. Condensed tannins extraction from grape pomace: Characterization and utilization as wood adhesives for wood particleboard. Ind. Crops Prod. 2011, 34, 907–914. [Google Scholar] [CrossRef] [Green Version]
- Ghahri, S.; Pizzi, A.; Mohebby, B.; Mirshoktaie, A.; Mansouri, H.R. Improving Water Resistance of Soy-Based Adhesive by Vegetable Tannin. J. Polym. Environm. 2018, 26, 1881–1890. [Google Scholar] [CrossRef]
- Ghahri, S.; Pizzi, A.; Mohebby, B.; Mirshoktaie, A.; Mansouri, H.R. Soy-based, tannin-modified plywood adhesives. J. Adhes. 2018, 94, 218–237. [Google Scholar] [CrossRef]
- Ghahri, S.; Pizzi, A. Improving Soy-Based Adhesives for Wood Particleboard by Tannins Addition. Wood Sci. Technol. 2018, 52, 261–279. [Google Scholar] [CrossRef]
- Liu, C.; Zhang, Y.; Li, X.; Luo, J.; Gao, Q.; Li, J. “Green” bio-thermoset resins derived from soy protein isolate and condensed tannins. Ind. Crops Prod. 2017, 108, 363–370. [Google Scholar] [CrossRef]
- Chen, M.; Luo, J.; Shi, R.; Zhang, J.; Gao, Q.; Li, J. Improved Adhesion Performance of Soy Protein-Based Adhesives with a Larch Tannin-Based Resin. Polymers 2017, 9, 408. [Google Scholar] [CrossRef] [Green Version]
- Ghahri, S.; Chen, X.; Pizzi, A.; Hajihassani, R.; Papadopoulos, A.N. Natural Tannins as New Cross-Linking Materials for Soy-Based Adhesives. Polymers 2021, 13, 595. [Google Scholar] [CrossRef] [PubMed]
- Pizzi, A. Covalent and Ionic Bonding between Tannin and Collagen in Leather making and shrinking: A MALDI-ToF study. J. Renew. Mater. 2021, 9, 1345–1364. [Google Scholar] [CrossRef]
- Pizzi, A. Tannin-based Biofoams. J. Renew. Mater. 2019, 7, 477–492. [Google Scholar] [CrossRef] [Green Version]
- Santiago-Medina, F.-J.; Pizzi, A.; Basso, F.J.; Delmotte, L.; Abdalla, S. Polycondensation resins by reaction of lignin with (poly)amines. J. Renew. Mater. 2017, 5, 388–399. [Google Scholar] [CrossRef]
- Braghiroli, F.; Fierro, V.; Pizzi, A.; Rode, K.; Radke, W.; Delmotte, L.; Parmentier, J.; Celzard, A. Condensation reaction of flavonoid tannins with ammonia. Ind. Crops Prod. 2013, 44, 330–335. [Google Scholar] [CrossRef]
- Hashida, K.; Makino, R.; Ohara, S. Amination of pyrogallol nucleus of condensed tannins and related polyphenols by ammonia water treatment. Holzforschung 2009, 63, 319–326. [Google Scholar] [CrossRef]
- Chen, X.; Li, J.; Essawy, H.H.; Pizzi, A.; Fredon, E.; Gerardin, C.; Du, G.; Zhou, X. Flame-retardant and Thermally-Insulating Tannin and Soybean Protein Isolate (SPI) based Foams for Potential Applications in Building Materials. Construct. Build. Mater. 2022, 315, 125711. [Google Scholar] [CrossRef]
- Pizzi, A. On the correlation of some theoretical and experimental parameters in polycondensation cross-linked networks. J. Appl. Polym. Sci. 1997, 63, 603–617. [Google Scholar] [CrossRef]
- Kamoun, C.; Pizzi, A.; Garcia, R. The effect of humidity on cross-linked and entanglement networking of formaldehyde-based wood adhesives. Holz. Roh. Werkst. 1998, 56, 235–243. [Google Scholar] [CrossRef]
- European Norm EN 314-2; Plywood, Bonding Quality. Part 2: Requirements. European Standardization Committee, European Commission: Brussels, Belgium, 1994.
- Santiago-Medina, F.-J.; Pizzi, A.; Basso, M.C.; Delmotte, L.; Celzard, A. Polycondensation resins by flavonoid tannins reaction with amines. Polymers 2017, 9, 37. [Google Scholar] [CrossRef] [Green Version]
- Thebault, M.; Pizzi, A.; Santiago-Medina, F.-J.; Al-Marzouki, F.M.; Abdalla, S. Isocyanate-free polyurethanes by coreaction of condensed tannins with aminated tannins. J. Renew. Mater. 2017, 5, 21–29. [Google Scholar] [CrossRef]
- Cavins, J.F.; Wolek, Y.F.K.; Inglett, G.E.; Cowan, J.C. Amino Acid Analysis of Soybean Meal: Interlaboratory Study; USDA Northern Marketing and Nutrition Research Division, Agricultural Research Service, U.S. Department of Agriculture: Peoria, IL, USA, 1972; p. 686. [Google Scholar]










Publisher’s Note: MDPI stays neutral with regard to jurisdictional claims in published maps and institutional affiliations. |
© 2022 by the authors. Licensee MDPI, Basel, Switzerland. This article is an open access article distributed under the terms and conditions of the Creative Commons Attribution (CC BY) license (https://creativecommons.org/licenses/by/4.0/).
Share and Cite
Ghahri, S.; Pizzi, A.; Hajihassani, R. A Study of Concept to Prepare Totally Biosourced Wood Adhesives from Only Soy Protein and Tannin. Polymers 2022, 14, 1150. https://doi.org/10.3390/polym14061150
Ghahri S, Pizzi A, Hajihassani R. A Study of Concept to Prepare Totally Biosourced Wood Adhesives from Only Soy Protein and Tannin. Polymers. 2022; 14(6):1150. https://doi.org/10.3390/polym14061150
Chicago/Turabian StyleGhahri, Saman, Antonio Pizzi, and Reza Hajihassani. 2022. "A Study of Concept to Prepare Totally Biosourced Wood Adhesives from Only Soy Protein and Tannin" Polymers 14, no. 6: 1150. https://doi.org/10.3390/polym14061150
APA StyleGhahri, S., Pizzi, A., & Hajihassani, R. (2022). A Study of Concept to Prepare Totally Biosourced Wood Adhesives from Only Soy Protein and Tannin. Polymers, 14(6), 1150. https://doi.org/10.3390/polym14061150

