1. Introduction
The effect of UV irradiation and of the repeated wetting and re-drying of wood surfaces can be reduced to some extent by four approaches:
1. Using coatings. Generally, wood surfaces are protected using opaque coatings with pigments. Although these coatings considerably decelerate deterioration of the wood substrate, the natural appearance and texture of the wood are hidden (lost) under the pigments. To overcome this drawback, translucent coatings are used. For clear coatings that transmit solar radiation, the wood beneath the coating degrades, resulting in the failure of the coating at the wood-finish interface. The performance of clear coatings on wood can be improved by employing two different strategies [
1]. The first one focuses on modifying coating formulations to adapt the properties of the coating systems and thus meet the requirements of the wood substrate. For this reason, coating flexibility has been in the focus of much research. Several clear and semi-transparent coatings on wood have been tested and it was found that formulations with a lower glass transition temperature (Tg) have lower rates of crack formation and thus longer service lives than formulations with a higher Tg [
2,
3,
4]. The second strategy is to introduce different UV absorbers and radical scavengers (hindered amine or phenolic light stabilizers) into formulations to reduce the degradation of the coating and the underlying wood substrate. Although this strategy has been used for clear coatings, the wood beneath the coating still degrades, albeit at a reduced rate, resulting in coating failure [
5]. However, these coatings do not improve the intrinsic wood properties. Consequently, once cracks appear in the coating, water can easily penetrate the substrate. Therefore, the dimensional stability and biological durability of wood are still important factors [
6].
2. Chemical treatment of wood. A number of studies have focused on improving both the weathering resistance of wood through chemical modification and the color stability during accelerated or outside weathering. Compared with similarly exposed untreated wood, acetylated [
7,
8], glutaraldehyde [
9], DMDHEU-, and melamine- [
10] treated wood exposed to accelerated or outside weathering develops fewer cracks because of its improved dimensional stability. Surface discoloration and crack formation during longer exposure times are reduced, whereas in the case of thermal treatment, the rate of graying and crack development is the same or even faster than that of untreated wood [
11,
12]. Mantanis and Lykidis [
13] have evaluated the weathering performance of furfurylated wood decks of radiata pine, maple, and yellow pine using the untreated tropical hardwood Ipe (Tabebuia) as a reference. The Ipe wood surface exhibited cracks and discoloration, and the Ipe deck was more distorted than the treated ones. The phenol formaldehyde (PF)-treated boards remained darker, ranging from light brown to dark brown. This change in optical appearance depends on both the resin type and the average molecular size of the PF resin oligomers used for treatment. The surface of PF-treated wood without a coating has improved resistance against photodegradation compared to the surface of N-methylol melamine (NMM)-treated wood because PF inhibits lignin degradation [
14].
3. Coating on chemically treated wood. The performance of coatings on heat-treated wood can vary according to the wood species used rather than the thermal modification process [
4,
15]. The reflectance of a UV-stabilized acrylic clear coat on acetylated Scots pine was virtually unchanged after 1728 h of accelerated weathering [
16]. It was concluded that acetylation can prevent the discoloration or failure of a fully transparent coating after severe artificial weathering. Evans et al. [
3] investigated the influence of acrylic coatings on NMM- and PF-treated wood substrates and observed that the PF resin in particular has good potential to improve the weathering performance and prolong the service life of wood. However, the method by which a wood substrate is pretreated prior the application of coatings on the surface is important. The performance of three different clear coatings (polyurethane, silicone, and polyacrylate) on PF-treated wood after three different pretreatment methods: immersion, brushing, and impregnation was tested [
17,
18]. Coatings performed better on impregnated wood than on wood immersed in or brushed with resin.
4. By producing superhydrophobic surfaces. A superhydrophobic treatment of wood has the potential to improve water and dust repellency, increase dimensional stability and extend service life. Water droplets on a superhydrophobic surface remain nearly spherical and easily roll off, removing pollutants and engendering self-cleaning properties. Lu et al. [
19] have tested the weathering performance in terms of color stability and wettability of a poplar wood surface treated with cerium oxide and covered with a layer of octadecyltrichlorosilane (OTS). The resulting coating exhibited the properties of a superhydrophobic wood surface as contact angle (CA) was approximately 152° and, compared to the control, exhibited an effective reduction in UV irradiation-induced color changes, indicating excellent UV resistance. Although the outside-facing part of the wood material is protected using this approach, the internal structure remains untreated; hence, dimensional changes in the wood may occur during water sorption. In addition, most reported superhydrophobic wood surfaces have some disadvantages, e.g., a top coating has limited mechanical stability, glue-ability and durability, and additionally, the processes are time consuming and require a tedious preparation process. A novel and simple method to prepare highly hydrophobic (CA of 146°) wood with its dimensional stability improved by 30% was used [
20]. The long alkyl chains were chemically bonded (grafted) onto the cell walls via reaction between the hydroxyl groups in the wood and the isocyanate groups of octadecyl isocyanate (OTI), thus forming a stable bulk hydrophobic structure. These excellent hydrophobic properties were attained throughout the entire wood sample, i.e., not only on the surface but also in the core of OTI-treated wood, where the small dimension (10 × 10 × 10 mm
3) specimens were used.
Among all the listed methods, the most promising weathering performance of a wood surface was obtained using a combination of a flexible coating and chemically modified wood, specifically, PF-treated wood (bulk treatment) coated with a flexible water-based acrylic varnish. Another promising approach is grafting (chemically bonded) hydrophobic long alkyl chain compounds, e.g., OTS or OTI, onto the wood bulk. However, in the first approach for achieving high weathering performance of wood, two separate treatment steps must be implemented: wood treatment (impregnation, drying, and curing) and then coating or a subsequent hydrophobization step with waxes, paraffin etc. In the second approach, the surface properties (shell) of wood are more substantially altered than the core properties. Specifically, the wood shell exhibits superhydrophobic properties, whereas the core remains unchanged.
PF resins with well-established molecular sizes are promising treatment agents for wood bulk protection. However, the presence of hydroxyl groups on the periphery of PF oligomers can be assumed to be a disadvantage. PF-treated wood tends to absorb and take up water and water vapor, which can lead to water penetration into the wood, reduced cracked formations and, to some extent, swelling. Hygroscopic properties of six polymer films obtained from commercial wood adhesives such as phenol-resorcinol-formaldehyde (PRF), melamine-urea-formaldehyde resin (MUF), fish glue, polyvinyl acetate and two polyurethanes using dynamic vapor sorption (DVS) analysis have been evaluated [
21]. Both polymer films made of thermosetting resins had strong water absorption and achieved high weight gains, with PRF accumulated 18% water, while MUF absorbed 22%. Absorption of water in polymer matrix has the potential of causing undesirable effects. Even a small amount of water uptake in polymer may cause additional internal stresses and thereof influence the mechanical performance, or fungal attack may occur in case polymer moisture reaches higher levels. This weakness of PRF resin can be overcome to some extent by chemical modification of PRF resin monomer.
The repeated wetting and re-drying of wood surfaces and negative effect of UV irradiation can be reduced to some extent by using the surface coating, chemical treatment, or coating chemically modified wood. These disadvantages can be overcome by implementing another approach based on wood treatment with modified phenol-formaldehyde (M-PF) resin pre-polymers. Such treatment might result in superhydrophobic surface of wood and has the potential to improve water and dust repellency, increase dimensional and color stability, and extend service life.
This study investigated a new approach of birch wood surface treatment with different molecular weight (Mw) PF resins modified with different chain length fatty acid chlorides (FAC) to understand the effect on surface hydrophobicity, weathering performance, and color stability in accelerated laboratory conditions. Theoretically, the photostability and surface hydrophobicity of the wood material treated with M-PF resins should be improved. Criteria for birch wood surface treatment with M-PF resins was based on water droplet surface CA with high values, therefore indicating hydrophobization effect.
2. Materials and Methods
2.1. PF Resin Pre-Polymer Synthesis
For the synthesis of PF resins, phenol was hydroxymethylated under alkaline reaction conditions, whereby the molar ratios of formaldehyde/phenol/sodium hydroxide were 1,5-1-0.1, 1,5-1-0.2, 1,8-1-0.15, 2-1-0.2, and 2-1-0.4. During the synthesis of each resin, a measured amount of phenol (99%, Acros Organics) and sodium hydroxide (98.5%, Acros Organics) water solution (50% w/w) was weighed out in a 4-neck laboratory reactor (0.5 L) equipped with a thermometer, dropping funnel, reflux condenser, and Teflon stirrer. Ethanol was also added in order to maintain a homogeneous reaction. The 4-neck reactor was submerged in a thermostatic water-bath. As soon as the temperature in the flask reached the necessary synthesis temperature, the aqueous formaldehyde (37% in water, stabilized with 5–15% methanol, Acros organics) solution was added slowly via a drip over a 25–30 min period. The reaction temperature (65, 75, 85 °C) for each formaldehyde/phenol/sodium hydroxide molar ratio was kept constant during the entire reaction period (2 and 4 h). The resol synthesis was ended by cooling the reactor with cold running water and allowing the resol to cool down to 20 ± 3 °C. Totally 15 different PF resins were synthesized and tested for modification reactions with long chain FAC. Based on surface wettability after water droplet surface contact angle (CA) measurements, nine PF resins were selected for further tests. Synthesis parameters of PF resins selected for modification with FAC are listed in
Table 1.
PF Resin Characterization
The dynamic viscosity of liquid PF resins was determined by a Fungilab Viscolead Adv (Fungilab S.A., Barcelona, Spain) meter with a suitable spindle. The non-volatiles content (solid content) was determined according to DIN EN ISO 3251:2019 [
22]. The pH value was determined using a digital pH meter (GPH 114 Greisinger, Regenstauf, Germany) by inserting the pH meter electrode into the PF resins. The pH meter was calibrated with buffer solutions at pH 4.0 and 10.0 prior pH measurements. Free formaldehyde content was determined by the hydroxylamine hydrochloride method according to DIN EN ISO 9397:1997 [
23].
For gel permeation chromatography (GPC) analysis, a 1260 Infinity system (degasser, isocratic pump, automatic liquid sampler, heatable column compartment, RID, MWD @ 280 nm), Agilent (Santa Clara, CA, USA) was used, where: column: 3 x PLgel 5µ (50 Å, 100 Å, 1000 Å), 7.5 × 300 mm2; solvent: tetrahydrofuran (THF); flow rate: 0.6 mL/min; flow rate marker: acetone; calibration: polystyrene standard.
Approximately 40 mg of resin was dissolved in 5 mL of THF. If the resin did not completely dissolve, it was sonicated with H2SO4, which was slowly added (5% in methanol) until neutral. If the resin was dissolved, but precipitate from additives (such as salts) remained, the mixture was filtered with a syringe filter.
2.2. Modification of PF Pre-Polymers
For the next step in the synthesis of hydrophobically modified PF (M-PF) resin, the presence of water was not desirable. Therefore, the remaining formaldehyde and water were evacuated by vacuum-rotary distillation at 40 °C for 90 min and then further removed using a vacuum drier at room temperature for 12 h at 150 mbar vacuum.
To prepare hydrophobically the M-PF resins, 2,4,6-trimethylolphenol was esterified with decanoyl chloride C
10 (98 + %, Acros Organics), lauroyl chloride C
12 (98%, Acros Organics), myristoyl chloride C
14 (97%, Acros Organics), palmitoyl chloride C
16 (98%, Acros Organics), and stearoyl chloride C
18 (>97%, Tokyo Chemical Industry Co. Ltd., Tokyo, Japan) in pyridine as the reaction medium at 50 or 60 °C for 2 and 3 h under a positive pressure of nitrogen gas. Reactions were conducted in the same four-neck flask equipped with a water-cooled condenser, a thermometer, a Teflon stirrer, and a dropping funnel, which was used to add long-chain fatty acid chlorides. A sample (~0.1 g) was removed from the flask after 1 h and was mixed together with ethanol to ascertain that the hydrophobization had occurred. Unreacted FAC can react with ethanol to form ethanol-soluble ester, whereas the esterified PF pre-polymer (monomer-oligomer mixture) is precipitated. The content in the flask was cooled down on ice after 2 or 3 h, and ethanol was added. The M-PF resin pre-polymer then underwent the purification steps: 4 washing-precipitation cycles in ethanol and subsequent usage of a centrifuge (7000 rpm for 10 min). After purification and vacuum drying for 1 day, reaction yield of solid M-PF resin pre-polymer was obtained. The synthesis parameters for PF resin reaction with FAC are listed in
Table 2. Nine different PF pre-polymers, two synthesis temperatures (50 and 60 °C), two synthesis durations (2 and 3 h), two FAC/PF resin pre-polymer (mol/g) ratios and the reaction yields were evaluated. None of the PF resins modified with decanoyl chloride C
10 showed a sufficient hydrophobicity effect on the birch wood surface and only FAC with chain length C
12–C
18 was used for further tests.
Theoretical reaction mechanism of esterified PF resin synthesis is shown in
Figure 1. Theoretically, all four hydroxyl groups in 2,4,6-trimethylphenol can be substituted. However, this outcome is not desirable because the thermal reactivity of the modified monomer will be considerably decreased due to the degree of substitution. The presence of primary –OH groups such as hydroxymethyl groups is important for the last step in wood treatment: curing, when the auto-condensation reaction occurs within the resin.
The easiest would be the hydrophobization of all monomers with a hydroxymethylation degree of 1. In this case, the hydrophobization will occur via the primary –OH groups, but due to high degree of hydroxymethylation, the monomer will still have at least two active hydroxymethyl (-CH2-OH) groups that can auto-condense during heating. The second and more laborious method is to functionalize the monomer via the secondary –OH groups.
Hydroxymethylated phenol used as the carrier molecule contains primary and secondary hydroxyl groups. These groups could begin to compete during the esterification reaction (hydrophobization) between the hydroxymethylated phenols or other hydroxymethylated phenolic derivatives and long-chain FAC. Primary hydroxymethyl groups (-CH2-OH) on a phenol ring are relatively reactive compared to secondary hydroxyl groups (the phenolic -OH group on the benzene ring). Although the hydrophobization of the primary (-OH) groups is dominant, this reaction pathway is undesirable.
M-PF Resin Characterization
M-PF structure was analyzed by Fourier transform infrared (FTIR) spectrometry data, which were obtained with a Thermo Scientific Nicolet iS50 spectrometer (Thermo Fisher Scientific, Waltham, MA, USA) at a resolution of 4 cm−1, 32 scans. The FTIR data were collected using attenuated total reflectance technique with ZnSe and diamond crystals.
2.3. Treatment of Wood Specimens
Silver birch (Betula pendula) wood blocks (15 × 70 × 150 mm3 Radial × Tangential × Longitudinal direction) were coated with M-PF pre-polymer 5% (w/w) solutions. Because of their hydrophobic nature, the M-PF pre-polymers were dissolved in tetrahydrofuran (THF). Specimens were coated with obtained emulsions using brush treatment with pre-drying in air for 15–20 min and subsequently second layer was applied on the surface. The coated specimens were pre-dried in air and then oven dried with moderate air circulation and air exchange for 24 h using incrementally rising temperature intervals from 60–103 °C and cured at 140 °C for 1 h. Before being used for further tests the specimens were placed in conditioning room at 65 ± 3% relative humidity and 20 ± 2 °C temperature to reach 5–6% relative moisture content.
2.4. Surface Contact Angle (CA) Measurements
Contact angle (CA) was determined by the static sessile drop method: For each treatment, the CAs of two wood specimens with dimensions of 15 × 70 × 150 mm3 were determined with goniometer OCA20 (Dataphysics, Filderstadt, Germany), equipped with a video camera. Surfaces were not sanded or sliced before CA measurements. The probe liquid was distilled water; each droplet had a volume of 10 μL, and data were recorded for each droplet for 60 s at a fixed interval of 1 s. For each wood specimen, 10 measurements were performed and the CA values were displayed during 1–60 s test period.
2.5. Artificial Weathering Tests
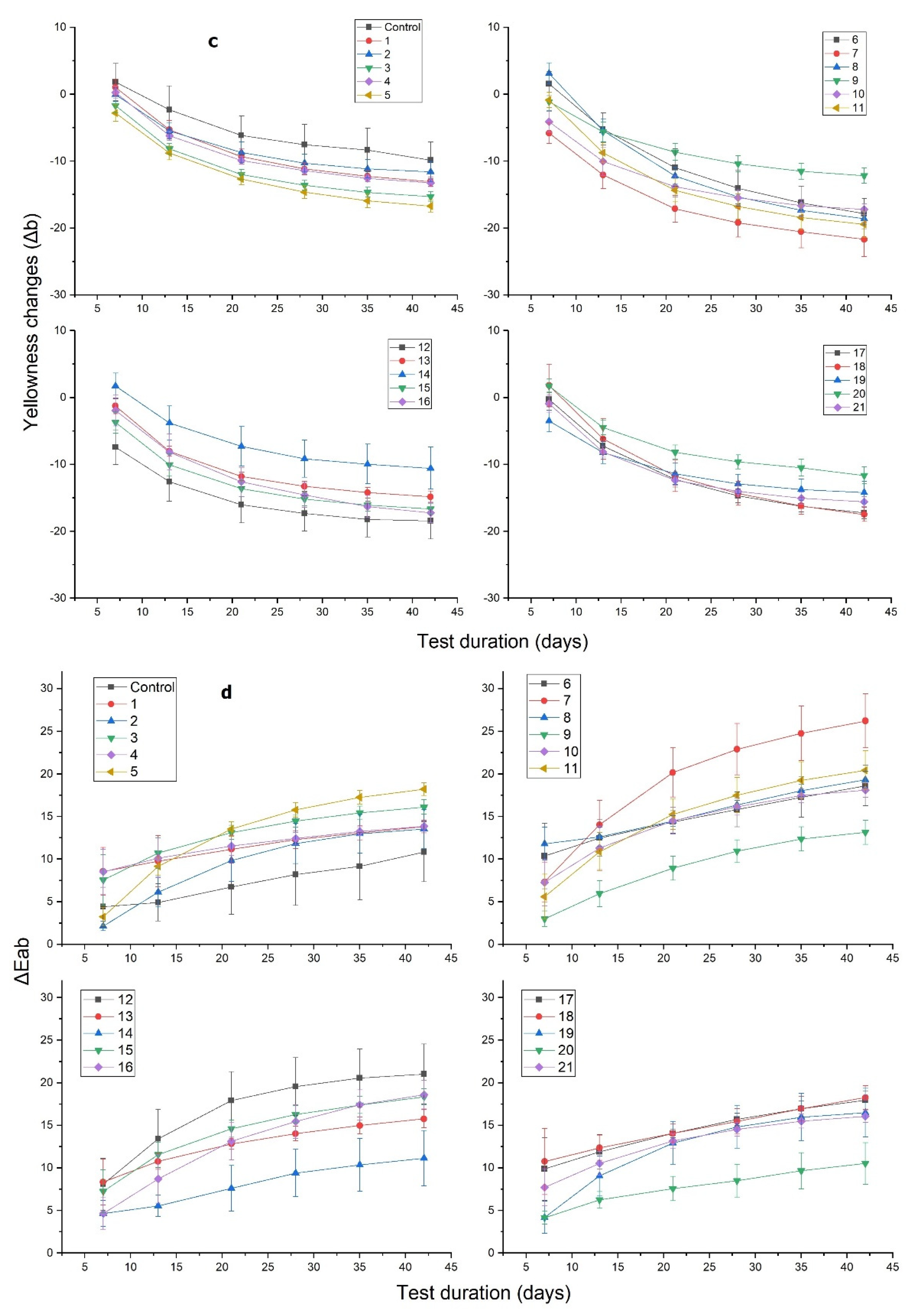
Artificial weathering tests were performed in a QUV accelerated weathering tester, (Q-Lab Europe, Ltd., Farnworth Bolton, England) equipped with UVA-340 type fluorescent lamps. Two birch wood specimens (15 × 70 × 150 mm3) were used for each M-PF resin treatment. The grain direction of specimens was selected to be parallel to M-PF resin-covered surface (150 × 70 mm2). The lamps provided a good simulation of sunlight in the short wavelength region; from 295 nm to 365 nm, with a peak emission at 340 nm. The UV radiation flux density at 340 nm was 0.89 W/m2 and the chamber temperature throughout the test was kept constant at 60 °C. The intensity of the full UV spectrum’s (290–400 nm) irradiation was 21.5 W/m2. In the study, two different artificial weathering tests were carried out. The first test involved only UV irradiation. This test was regularly suspended to measure the change in color of the specimens. The total duration of the test was 360 h. The second artificial weathering test involved both UV irradiation and water spray. The test involved the following steps; 2.5 h of UV radiation at the same conditions as described earlier, followed by 30 min of water spray. In total, 60 cycles were preformed to reach an exposure time of 180 h from which 150 h accounted for UV irradiation. Color measurements after both weathering methods was performed.
2.6. Surface Color Measurements
Color of the specimens was measured with a CM-2500 d spectrophotometer (Konica Minolta, NJ, USA) and expressed according to the CIELAB three-dimensional color system. On each of the specimen, five locations were randomly chosen and marked. For the marked locations, the color was measured before and after the weathering tests as well as during the test after 2, 4, 8, 16, 24, 48, 72, 120, 192, 264, and 360 h. The color was measured to evaluate the discoloration caused by weathering. The total color change Δ
Eab was calculated according to the equation (1) below.
L* is the lightness parameter, a* is the chromaticity parameter which represents red-green coordinates, and b* is the chromaticity parameter which represents yellow-blue coordinates.
where:
L*o, a*o, b*o is the value on coordinate axis for the specific parameter at the beginning;
L*x, a*x, b*x is the value on coordinate axis for the specific parameter after weathering.