Evolution of Molar Mass Distributions Using a Method of Partial Moments: Initiation of RAFT Polymerization
Abstract
1. Introduction
2. Materials and Methods
2.1. Thermally Initiated RAFT Oligomerization of N,N-dimethylacrylamide (DMAm)
2.2. Photochemically Initiated RAFT Oligomerization of N,N-dimethylacrylamide (DMAm)
2.3. Kinetic Simulation
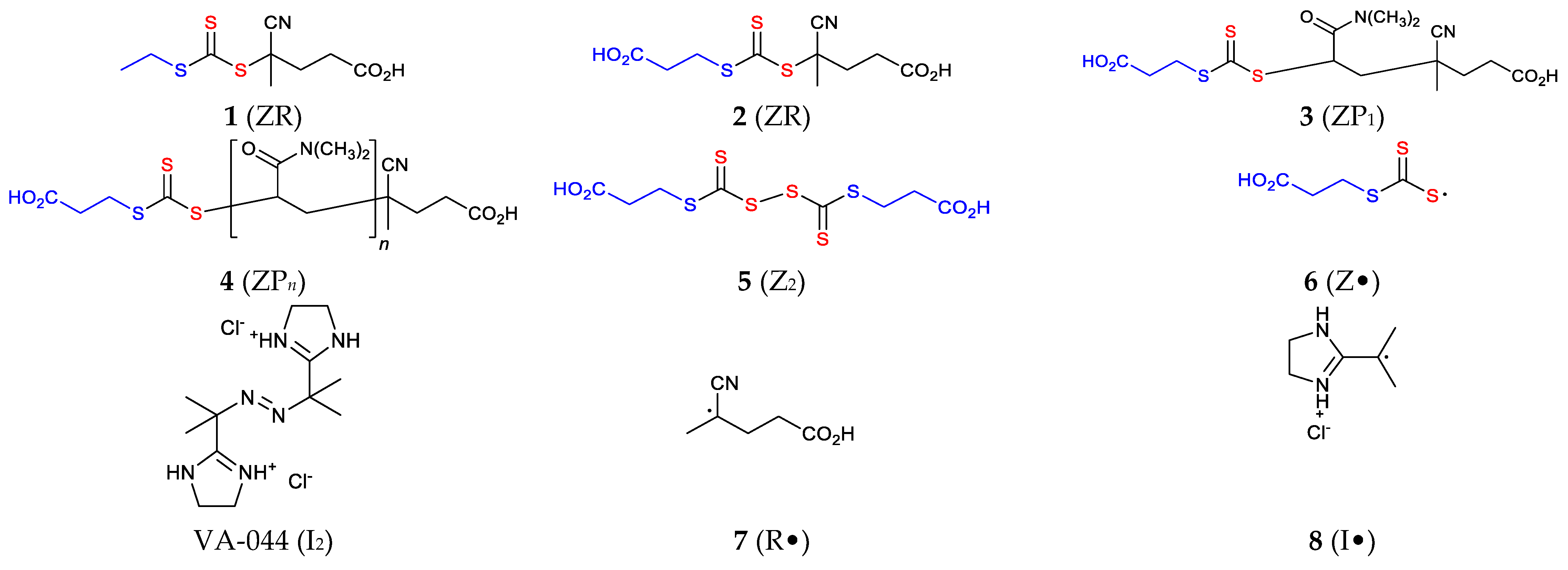
3. Results and Discussion
3.1. Differential Equations
3.1.1. Initiator-Derived Radicals (I∙)
3.1.2. Initial RAFT Agent-Derived Radicals (R∙)
3.1.3. Propagating Radicals (Pn∙)
3.1.4. Initial RAFT Agent (RZ)
3.1.5. MacroRAFT Agent (PnZ)
3.1.6. Dead Polymer Formed by Disproportionation () or Combination () of Propagating Radicals
3.1.7. MacroRAFT Intermediates (PnŻPm)
3.1.8. (Macro)RAFT derived radical (Z∙)
3.2. Kinetic Simulation
3.2.1. RAFT Oligomerization of DMAm Thermally Initiated with a Dialkyldiazene
- Selective initialization is observed; i.e., there is no significant formation of dimer (P2∙) or higher oligomers until the initial RAFT agent (1) is largely consumed and the value of [DMAm] exceeds [1].
- The rate determining step in the consumption of the initial RAFT agent is rate of reinitiation by R·, kiR is substantially lower than kp. The length of the initialization period is thus determined by the rate coefficients kiR and the relative concentrations of monomer and RAFT agent.
- It is necessary to include intermediate radical termination in the simulation.
3.2.1.1. Propagation Rate Coefficients
3.2.1.2. Dialkyldiazene Initiation Rate Coefficients
3.2.1.3. RAFT Rate Coefficients
3.2.1.4. Termination Rate Coefficients
3.2.1.5. Intermediate Radical Termination Rate Coefficients
3.2.2. Thermally Initiated RAFT Polymerization of N,N-Dimethylacrylamide (DMAm)
- The dispersity of macroRAFT agent is ca 1.05 at ca 50 min, which corresponds to ~100% monomer conversion. For longer times the dispersity slowly increases as propagating radicals are still being generated by RAFT and still undergoing termination.
- An inhibition period is observed that corresponds to the time taken to convert the initial RAFT agent to macroRAFT agent. A tertiary cyanoalkyl RAFT agent is not ideal for this polymerization as the rate of addition of the cyanoalkyl radicals to monomer is rate determining. Nonetheless, there is a near linear correspondence between molar mass and conversion as anticipated for a well-behaved RDRP.
- Use of an initial RAFT agent that resembled the macroRAFT agent (n = 1) would give complete conversion in ca 25 min.
- Termination between propagating species is assumed to occur by combination. The molar mass distribution of dead polymer for long times approaches that for macroRAFT agent as it is mostly formed by primary radical termination.
3.2.3. Direct photoRAFT Oligomerization of DMAm
3.2.4. Direct photoRAFT Polymerization of DMAm
- The amount of dead polymer formed by bimolecular termination is significantly smaller than that formed in the above experiment with conventional initiation. The dominant process producing dead polymer is intermediate radical termination. This is not included in the plots below. The amount of intermediate radical termination equates to an amount of disulfide (ZCS2)2 formed.
- The dispersity of the macro RAFT agent and total polymer (Đ ~ 1.03, for > 50% conversion Figure 7) are significantly lower than that formed in the above experiment with conventional initiation.
4. Conclusions
Author Contributions
Funding
Acknowledgments
Conflicts of Interest
Abbreviations
| DMAm | N,N-dimethylacrylamide |
| fg | efficiency for radical generation |
| fi | efficiency for initiation of polymerization |
| I2 | initiator |
| I | initiator-derived radical |
| kp | propagation rate coefficient |
| kt | termination rate coefficient |
| <kt> | average termination rate coefficient |
| M | monomer |
| MMA | methyl methacrylate |
| xth moment for a polymeric species P | |
| partial xth moment for a polymeric species P covering species of length n > N. | |
| n | chain length |
| N | cut off chain length |
| NMP | nitroxide-mediated polymerization |
| P | polymeric species |
| PET-RAFT | photo-induced electron or energy rransfer-RAFT |
| polymer formed by disproportionation of length n | |
| polymer formed by disproportionation with saturated chain end of length n | |
| polymer formed by disproportionation with unsaturated chain end of length n | |
| polymer formed by combination of chain length n | |
| propagating radical of chain length n | |
| RZ | initial RAFT agent |
| IZ | initiator-derived RAFT agent |
| PnZ | macroRAFT agent |
| PnR | RAFT intermediate formed with initial RAFT agent |
| PnI | RAFT intermediate formed with initiator-derived RAFT agent |
| PnPm | RAFT intermediate formed with macroRAFT agent |
| RAFT | reversible addition-fragmentation chain transfer |
| RDRP | reversible deactivation radical polymerization |
| Xn | number average degree of polymerization |
Appendix A. Method of Moments
References
- Jenkins, A.D.; Jones, R.I.; Moad, G. Terminology for reversible-deactivation radical polymerization previously called ‘controlled’ radical or ‘living’ radical polymerization. Pure Appl. Chem. 2010, 82, 483–491. [Google Scholar] [CrossRef]
- Moad, G. Living and controlled RAP (reversible activation polymerization) on the way to RDRP (reversible deactivation radical polymerization). A mini-review on the terminological development of RDRP. Polym. Int. 2022, 71, Advance Article. [Google Scholar] [CrossRef]
- Corrigan, N.; Jung, K.; Moad, G.; Hawker, C.J.; Matyjaszewski, K.; Boyer, C. Reversible-deactivation radical polymerization (Controlled/living radical polymerization): From discovery to materials design and applications. Prog. Polym. Sci. 2020, 111, 101311. [Google Scholar] [CrossRef]
- Szwarc, M. ‘Living’ Polymers. Nature 1956, 178, 1168–1169. [Google Scholar] [CrossRef]
- Szwarc, M. Living polymers. Their discovery, characterization, and properties. J. Polym. Sci. Part A Polym. Chem. 1998, 36, IX–XV. [Google Scholar] [CrossRef]
- Fellows, C.M.; Jones, R.G.; Keddie, D.J.; Luscombe, C.K.; Matson, J.B.; Matyjaszewski, K.; Merna, J.; Moad, G.; Nakano, T.; Penczek, S.; et al. Terminology for Chain Polymerization (IUPAC Recommendations 2021). Pure Appl. Chem. 2022. Early Access. [Google Scholar] [CrossRef]
- Hartlieb, M. Photo-Iniferter RAFT Polymerization. Macromol. Rapid. Commun. 2022, 43, 2100514. [Google Scholar] [CrossRef]
- Chapman, R.; Jung, K.; Boyer, C. Overview of Photoregulated Reversible Addition-Fragmentation Chain Transfer (RAFT) Polymerization. In RAFT Polymerization: Materials, Synthesis and Applications; Moad, G., Rizzardo, E., Eds.; Wiley-VCH: Weinheim, Germany, 2021; Volume 1, pp. 611–645. [Google Scholar] [CrossRef]
- Wu, C.; Corrigan, N.; Lim, C.-H.; Liu, W.; Miyake, G.; Boyer, C. Rational Design of Photocatalysts for Controlled Polymerization: Effect of Structures on Photocatalytic Activities. Chem. Rev. 2022, 122, 5476–5518. [Google Scholar] [CrossRef]
- Lorandi, F.; Fantin, M.; Matyjaszewski, K. Redox initiated RAFT polymerization and (electro)chemical activation of RAFT agents. In RAFT Polymerization: Materials, Synthesis and Applications; Moad, G., Rizzardo, E., Eds.; Wiley-VCH: Weinheim, Germany, 2021; Volume 2, pp. 647–677. [Google Scholar] [CrossRef]
- Bray, C.; Li, G.; Postma, A.; Strover, L.T.; Wang, J.; Moad, G. Initiation of RAFT Polymerization: Electrochemically Initiated RAFT Polymerization in Emulsion (Emulsion eRAFT), and Direct PhotoRAFT Polymerization of Liquid Crystalline Monomers. Aust. J. Chem. 2021, 74, 56–64. [Google Scholar] [CrossRef]
- Strover, L.T.; Postma, A.; Horne, M.D.; Moad, G. Anthraquinone-Mediated Reduction of a Trithiocarbonate Chain-Transfer Agent to Initiate Electrochemical Reversible Addition–Fragmentation Chain Transfer Polymerization. Macromolecules 2020, 53, 10315–10322. [Google Scholar] [CrossRef]
- Semsarilar, M.; Abetz, V. Polymerizations by RAFT: Developments of the Technique and Its Application in the Synthesis of Tailored (Co)polymers. Macromol. Chem. Phys. 2021, 222, 2000311. [Google Scholar] [CrossRef]
- Moad, G. Reversible Deactivation Radical Polymerization: RAFT. In Macromolecular Engineering, 2nd ed.; Hadjichristidis, N., Gnanou, Y., Matyjaszewski, K., Muthukumar, M., Eds.; Wiley-VCH: Weinheim, Germany, 2022; pp. 1–61. [Google Scholar] [CrossRef]
- Moad, G.; Rizzardo, E. RAFT Polymerization: Materials, Synthesis and Applications; Wiley-VCH: Weinheim, Germany, 2021; p. 1240. [Google Scholar]
- Moad, C.L.; Moad, G. Fundamentals of reversible addition–fragmentation chain transfer (RAFT). Chem. Teach. Int. 2021, 3, 3–17. [Google Scholar] [CrossRef]
- Mastan, E.; Li, X.; Zhu, S. Modeling and theoretical development in controlled radical polymerization. Prog. Polym. Sci. 2015, 45, 71–101. [Google Scholar] [CrossRef]
- D’hooge, D.R.; Van Steenberge, P.H.M.; Reyniers, M.-F.; Marin, G.B. The strength of multi-scale modeling to unveil the complexity of radical polymerization. Prog. Polym. Sci. 2016, 58, 59–89. [Google Scholar] [CrossRef]
- Barner-Kowollik, C.; Buback, M.; Charleux, B.; Coote, M.L.; Drache, M.; Fukuda, T.; Goto, A.; Klumperman, B.; Lowe, A.B.; Mcleary, J.B.; et al. Mechanism and Kinetics of Dithiobenzoate-Mediated RAFT Polymerization, 1: The Current Situation. J. Polym. Sci. Part A Polym. Chem. 2006, 44, 5809–5831. [Google Scholar] [CrossRef]
- Moad, G. Mechanism and kinetics of dithiobenzoate-mediated RAFT polymerization–status of the dilemma. Macromol. Chem. Phys. 2014, 215, 9–26. [Google Scholar] [CrossRef]
- Bradford, K.G.E.; Petit, L.M.; Whitfield, R.; Anastasaki, A.; Barner-Kowollik, C.; Konkolewicz, D. Ubiquitous Nature of Rate Retardation in Reversible Addition–Fragmentation Chain Transfer Polymerization. J. Am. Chem. Soc. 2021, 143, 17769–17777. [Google Scholar] [CrossRef]
- Moad, G.; Ercole, F.; Johnson, C.H.; Krstina, J.; Moad, C.L.; Rizzardo, E.; Spurling, T.H.; Thang, S.H.; Anderson, A.G. Controlled growth free radical polymerization of methacrylate esters-reversible chain transfer vs. reversible termination. In Controlled Radical Polymerization, Matyjaszewski, K., Ed.; American Chemical Society: Columbus, OH, USA, 1998; Volume 685, pp. 332–360. [Google Scholar] [CrossRef]
- Krstina, J.; Moad, C.L.; Moad, G.; Rizzardo, E.; Berge, C.T.; Fryd, M. A new form of controlled growth free radical polymerization. Macromol. Symp. 1996, 111, 13–23. [Google Scholar] [CrossRef]
- Krstina, J.; Moad, G.; Rizzardo, E.; Winzor, C.L.; Berge, C.T.; Fryd, M. Narrow Polydispersity Block Copolymers by Free-Radical Polymerization in the Presence of Macromonomers. Macromolecules 1995, 28, 5381–5385. [Google Scholar] [CrossRef]
- Engelis, N.G.; Anastasaki, A.; Whitfield, R.; Jones, G.R.; Liarou, E.; Nikolaou, V.; Nurumbetov, G.; Haddleton, D.M. Sequence-Controlled Methacrylic Multiblock Copolymers: Expanding the Scope of Sulfur-Free RAFT. Macromolecules 2018, 51, 336–342. [Google Scholar] [CrossRef]
- Engelis, N.G.; Anastasaki, A.; Nurumbetov, G.; Truong, N.P.; Nikolaou, V.; Shegiwal, A.; Whittaker, M.R.; Davis, T.P.; Haddleton, D.M. Sequence-controlled methacrylic multiblock copolymers via sulfur-free RAFT emulsion polymerization. Nat. Chem. 2016, 9, 171–178. [Google Scholar] [CrossRef] [PubMed]
- Chong, Y.K.; Krstina, J.; Le, T.P.T.; Moad, G.; Postma, A.; Rizzardo, E.; Thang, S.H. Thiocarbonylthio compounds [S:C(Ph)S-R] in free radical polymerization with reversible addition-fragmentation chain transfer (RAFT polymerization). Role of the free-radical leaving group (R). Macromolecules 2003, 36, 2256–2272. [Google Scholar] [CrossRef]
- Johnson, C.H.J.; Moad, G.; Solomon, D.H.; Spurling, T.H.; Vearing, D.J. The Application of Supercomputers in Modeling Chemical Reaction Kinetics: Kinetic Simulation of ‘Quasi-Living’ Radical Polymerization. Aust. J. Chem. 1990, 43, 1215–1230. [Google Scholar] [CrossRef]
- Moad, G.; Rizzardo, E. History of nitroxide-mediated polymerization. In Nitroxide Mediated Polymerization: From Fundamentals to Applications in Materials; Gigmes, D., Ed.; The Royal Society of Chemistry: Cambridge, UK, 2016; pp. 1–44. [Google Scholar] [CrossRef]
- López-Domínguez, P.; Zapata-González, I.; Saldívar-Guerra, E.; Vivaldo-Lima, E. Mathematical Modeling of RAFT Polymerization. In RAFT Polymerization: Materials, Synthesis and Applications; Moad, G., Rizzardo, E., Eds.; Wiley-VCH: Weinheim, Germany, 2021; Volume 1, pp. 187–221. [Google Scholar] [CrossRef]
- De Rybel, N.; Van Steenberge, P.H.M.; Reyniers, M.-F.; Barner-Kowollik, C.; D’hooge, D.R.; Marin, G.B. An Update on the Pivotal Role of Kinetic Modeling for the Mechanistic Understanding and Design of Bulk and Solution RAFT Polymerization. Macromol. Theory Simul. 2017, 26, 1600048. [Google Scholar] [CrossRef]
- Wulkow, M. The simulation of molecular weight distributions in polyreaction kinetics by discrete Galerkin methods. Macromol. Theory Simul. 1996, 5, 393–416. [Google Scholar] [CrossRef]
- Vana, P.; Davis, T.P.; Barner-Kowollik, C. Kinetic analysis of reversible addition fragmentation chain transfer (RAFT) polymerizations: Conditions for inhibition, retardation, and optimum living polymerization. Macromol. Theory Simul. 2002, 11, 823–835. [Google Scholar] [CrossRef]
- Barner-Kowollik, C.; Quinn, J.F.; Nguyen, T.L.U.; Heuts, J.P.A.; Davis, T.P. Kinetic investigations of reversible addition fragmentation chain transfer polymerizations: Cumyl phenyldithioacetate mediated homopolymerizations of styrene and methyl methacrylate. Macromolecules 2001, 34, 7849–7857. [Google Scholar] [CrossRef]
- Wulkow, M.; Busch, M.; Davis, T.P.; Barner-Kowollik, C. Implementing the reversible addition-fragmentation chain transfer process in PREDICI. J. Polym. Sci. Part A Polym. Chem. 2004, 42, 1441–1448. [Google Scholar] [CrossRef]
- Pallares, J.; Jaramillo-Soto, G.; Flores-Catano, C.; Lima, E.V.; Lona, L.M.F.; Penlidis, A. A comparison of reaction mechanisms for reversible addition-fragmentation chain transfer polymerization using modeling tools. J. Macromol. Sci. Part A 2006, 43, 1293–1322. [Google Scholar] [CrossRef]
- Jaramillo-Soto, G.; Castellanos-Cárdenas, M.L.; García-Morán, P.R.; Vivaldo-Lima, E.; Luna-Bárcenas, G.; Penlidis, A. Simulation of RAFT Dispersion Polymerization in Supercritical Carbon Dioxide. Macromol. Theory Simul. 2008, 17, 280–289. [Google Scholar] [CrossRef]
- Zetterlund, P.B.; Perrier, S. RAFT Polymerization under Microwave Irradiation: Toward Mechanistic Understanding. Macromolecules 2011, 44, 1340–1346. [Google Scholar] [CrossRef]
- Hlalele, L.; Pfukwa, R.; Klumperman, B. Simulation studies of the discrete semi-batch RAFT–mediated polymerization of styrene using a RAFT agent with relatively poor leaving group. Eur. Polym. J. 2017, 95, 596–605. [Google Scholar] [CrossRef]
- Nguyen, M.N.; Margaillan, A.; Pham, Q.T.; Bressy, C. RAFT Polymerization of Tert-Butyldimethylsilyl Methacrylate: Kinetic Study and Determination of Rate Coefficients. Polymers 2018, 10, 224. [Google Scholar] [CrossRef] [PubMed]
- López-Domínguez, P.; Jaramillo-Soto, G.; Vivaldo-Lima, E. A Modeling Study on the RAFT Polymerization of Vinyl Monomers in Supercritical Carbon Dioxide. Macromol. React. Eng. 2018, 12, 1800011. [Google Scholar] [CrossRef]
- Houshyar, S.; Keddie, D.; Moad, G.; Mulder, R.; Saubern, S.; Tsanaktsidis, J. The scope for synthesis of macro-RAFT agents by sequential insertion of single monomer units. Polym. Chem. 2012, 3, 1879–1889. [Google Scholar] [CrossRef]
- Spurling, T.H.; Deady, M.; Krstina, J.; Moad, G. Computer Simulation of the Chemical Properties of Copolymers. Makromol. Chem., Macromol. Symp. 1991, 51, 127–146. [Google Scholar] [CrossRef]
- Zapata-González, I.; Saldívar-Guerra, E.; Ortiz-Cisneros, J. Full Molecular Weight Distribution in RAFT Polymerization. New Mechanistic Insight by Direct Integration of the Equations. Macromol. Theory Simul. 2011, 20, 370–388. [Google Scholar] [CrossRef]
- Zapata-Gonzalez, I.; Saldivar-Guerra, E.; Licea-Claverie, A. Kinetic Modeling of RAFT Polymerization via Dithiobenzoate Agents Considering the Missing Step Theory. Chem. Eng. J. 2017, 326, 1242–1254. [Google Scholar] [CrossRef]
- Chaffey-Millar, H.; Stewart, D.; Chakravarty, M.M.T.; Keller, G.; Barner-Kowollik, C. A Parallelised High Performance Monte Carlo Simulation Approach for Complex Polymerisation Kinetics. Macromol. Theory Simul. 2007, 16, 575–592. [Google Scholar] [CrossRef]
- Drache, M.; Schmidt-Naake, G.; Buback, M.; Vana, P. Modeling RAFT polymerization kinetics via Monte Carlo methods: Cumyl dithiobenzoate mediated methyl acrylate polymerization. Polymer 2005, 46, 8483–8493. [Google Scholar] [CrossRef]
- Drache, M.; Drache, G. Simulating Controlled Radical Polymerizations with mcPolymer—A Monte Carlo Approach. Polymers 2012, 4, 1416–1442. [Google Scholar] [CrossRef]
- Pintos, E.; Sarmoria, C.; Brandolin, A.; Asteasuain, M. Modeling of RAFT Polymerization Processes Using an Efficient Monte Carlo Algorithm in Julia. Ind. Eng. Chem. Res. 2016, 55, 8534–8547. [Google Scholar] [CrossRef]
- Peklak, A.D.; Butte, A.; Storti, G.; Morbidelli, M. Gel effect in the bulk reversible addition-fragmentation chain transfer polymerization of methyl methacrylate: Modeling and experiments. J. Polym. Sci. Part A Polym. Chem. 2006, 44, 1071–1085. [Google Scholar] [CrossRef]
- Fenoli, C.R.; Wydra, J.W.; Bowman, C.N. Controllable Reversible Addition–Fragmentation Termination Monomers for Advances in Photochemically Controlled Covalent Adaptable Networks. Macromolecules 2014, 47, 907–915. [Google Scholar] [CrossRef]
- Johnston-Hall, G.; Monteiro, M.J. Kinetic Modeling of “Living” and Conventional Free Radical Polymerizations of Methyl Methacrylate in Dilute and Gel Regimes. Macromolecules 2007, 40, 7171–7179. [Google Scholar] [CrossRef]
- Barner-Kowollik, C.; Quinn, J.F.; Morsley, D.R.; Davis, T.P. Modeling the reversible addition-fragmentation chain transfer process in cumyl dithiobenzoate-mediated styrene homopolymerizations: Assessing rate coefficients for the addition-fragmentation equilibrium. J. Polym. Sci. Part A Polym. Chem. 2001, 39, 1353–1365. [Google Scholar] [CrossRef]
- Konkolewicz, D.; Siauw, M.; Gray-Weale, A.; Hawkett, B.S.; Perrier, S. Obtaining Kinetic Information from the Chain-Length Distribution of Polymers Produced by RAFT. J. Phys. Chem. B 2009, 113, 7086–7094. [Google Scholar] [CrossRef]
- Luan, B.; Li, C.E.; Moad, G.; Muir, B.W.; Zhu, J.; Patel, J.; Lim, S.; Hao, X. Kinetic modelling of the reversible addition–fragmentation chain transfer polymerisation of N-isopropylacrylamide. Eur. Polym. J. 2019, 120, 109193. [Google Scholar] [CrossRef]
- Wang, A.R.; Zhu, S.P. Modeling the reversible addition-fragmentation transfer polymerization process. J. Polym. Sci., Part A, Polym. Chem. 2003, 41, 1553–1566. [Google Scholar] [CrossRef]
- Zapata-Gonzalez, I.; Hutchinson, R.A.; Buback, M.; Rivera-Magallanes, A. Kinetic importance of the missing step in dithiobenzoate-mediated RAFT polymerizations of acrylates. Chem. Eng. J. 2021, 415, 128970. [Google Scholar] [CrossRef]
- Hawthorne, D.G.; Moad, G.; Rizzardo, E.; Thang, S.H. Living Radical Polymerization with Reversible Addition-Fragmentation Chain Transfer (RAFT): Direct ESR Observation of Intermediate Radicals. Macromolecules 1999, 32, 5457–5459. [Google Scholar] [CrossRef]
- Buback, M. Kinetics and Mechanism of RAFT Polymerizations. In RAFT Polymerization: Materials, Synthesis and Applications; Moad, G., Rizzardo, E., Eds.; Wiley-VCH: Weinheim, Germany, 2021; Volume 1, pp. 59–93. [Google Scholar] [CrossRef]
- Moad, G.; Guerrero-Sanchez, C.; Haven, J.J.; Keddie, D.J.; Postma, A.; Rizzardo, E.; Thang, S.H. RAFT for the Control of Monomer Sequence Distribution–Single Unit Monomer Insertion (SUMI) into Dithiobenzoate RAFT Agents. In Sequence-Controlled Polymers: Synthesis, Self-Assembly and Properties; Lutz, J.-F., Ouchi, M., Sawamoto, M., Meyer, T., Eds.; ACS Symposium Series; American Chemical Society: Washington, DC, USA, 2014; Volume 1170, pp. 133–147. [Google Scholar] [CrossRef]
- Aerts, A.; Lewis, R.W.; Zhou, Y.; Malic, N.; Moad, G.; Postma, A. Light-Induced RAFT Single Unit Monomer Insertion in Aqueous Solution– Towards Sequence-Controlled Polymers. Macromol. Rapid. Commun. 2018, 39, 1800240. [Google Scholar] [CrossRef] [PubMed]
- Haven, J.J.; Hendrikx, M.; Junkers, T.; Leenaers, P.J.; Postma, A.; Tsompanoglou, T.; Boyer, C.; Xu, J.; Moad, G. Elements of RAFT Navigation. RAFT 20 years later. RAFT-synthesis of uniform, sequence-defined (co)polymers. In Reversible Deactivation Radical Polymerization: Mechanisms and Synthetic Methodologies; Matyjaszewski, K., Gao, H., Sumerlin, B.S., Tsarevsky, N.V., Eds.; ACS Symposium Series; American Chemical Society: Washington, DC, USA, 2018; Volume 1284, pp. 77–103. [Google Scholar] [CrossRef]
- Zhou, Y.; Zhang, Z.; Postma, A.; Moad, G. Kinetics and mechanism for thermal and photochemical decomposition of 4,4’-azobis(4-cyanopentanoic acid) in aqueous media. Polym. Chem. 2019, 10, 3284–3287. [Google Scholar] [CrossRef]
- Moad, G. A Critical Assessment of the Kinetics and Mechanism of Initiation of Radical Polymerization with Commercially Available Dialkyldiazene Initiators. Prog. Polym. Sci. 2019, 88, 130–188. [Google Scholar] [CrossRef]
- Otsu, T. Iniferter concept and living radical polymerization. J. Polym. Sci. Part A Polym. Chem. 2000, 38, 2121–2136. [Google Scholar] [CrossRef]
- Valdebenito, A.; Encinas, M.V. Effect of solvent on the free radical polymerization of N,N-dimethylacrylamide. Polym. Int. 2010, 59, 1246–1251. [Google Scholar] [CrossRef]
- Yamada, B.; Yoshioka, M.; Otsu, T. Rate constants of elementary reactions in radical polymerization of N,N-dimethylacrylamide. Kobunshi Ronbunshu 1978, 35, 795–801. [Google Scholar] [CrossRef]
- Schrooten, J.; Lacík, I.; Stach, M.; Hesse, P.; Buback, M. Propagation Kinetics of the Radical Polymerization of Methylated Acrylamides in Aqueous Solution. Macromol. Chem. Phys. 2013, 214, 2283–2294. [Google Scholar] [CrossRef]
- Fischer, H.; Radom, L. Factors controlling addition of carbon-centered radicals to alkenes-an experimental and theoretical perspective. Angew. Chem., Int. Ed. Engl. 2001, 40, 1340–1371. [Google Scholar] [CrossRef]
- Moad, G.; Solomon, D.H. Propagation. In The Chemistry of Radical Polymerization, 2nd ed.; Elsevier: Oxford, UK, 2005; pp. 167–232. [Google Scholar] [CrossRef]
- Heuts, J.P.A.; Russell, G.T. The nature of the chain-length dependence of the propagation rate coefficient and its effect on the kinetics of free-radical polymerization. 1. Small-molecule studies. Eur. Polym. J. 2006, 42, 3–20. [Google Scholar] [CrossRef]
- Barner-Kowollik, C.; Buback, M.; Egorov, M.; Fukuda, T.; Goto, A.; Olaj, O.F.; Russell, G.T.; Vana, P.; Yamada, B.; Zetterlund, P.B. Critically evaluated termination rate coefficients for free-radical polymerization: Experimental methods. Prog. Polym. Sci. 2005, 30, 605–643. [Google Scholar] [CrossRef]
- Barner-Kowollik, C.; Russell, G.T. Chain-length-dependent termination in radical polymerization: Subtle revolution in tackling a long-standing challenge. Prog. Polym. Sci. 2009, 34, 1211–1259. [Google Scholar] [CrossRef]
- Kattner, H.; Buback, M. Termination, Transfer, and Propagation Kinetics of Trimethylaminoethyl Acrylate Chloride Radical Polymerization in Aqueous Solution. Macromolecules 2017, 50, 4160–4168. [Google Scholar] [CrossRef]
- Kuchanov, S.I. Characteristic features of radical polymerisation occurring under the influence of non-traditional initiators. Russ. Chem. Rev. 1991, 60, 689–700. [Google Scholar] [CrossRef]
- Kerr, A.; Moriceau, G.; Przybyla, M.A.; Smith, T.; Perrier, S. Bis(trithiocarbonate) Disulfides: From Chain Transfer Agent Precursors to Iniferter Control Agents in RAFT Polymerization. Macromolecules 2021, 54, 6649–6661. [Google Scholar] [CrossRef]
- Fischer, H. The persistent radical effect in controlled radical polymerizations. J. Polym. Sci. Part A Polym. Chem. 1999, 37, 1885–1901. [Google Scholar] [CrossRef]
- Fischer, H. The Persistent Radical Effect In “Living” Radical Polymerization. Macromolecules 1997, 30, 5666–5672. [Google Scholar] [CrossRef]
- Zhou, Y.; Zhang, Z.; Reese, C.M.; Patton, D.L.; Xu, J.; Boyer, C.; Postma, A.; Moad, G. Selective and Rapid Light-Induced RAFT Single Unit Monomer Insertion in Aqueous Solution. Macromol. Rapid Commun. 2020, 41, e1900478. [Google Scholar] [CrossRef]
- Allegrezza, M.L.; Konkolewicz, D. PET-RAFT Polymerization: Mechanistic Perspectives for Future Materials. ACS Macro Lett. 2021, 10, 433–446. [Google Scholar] [CrossRef]
- Corrigan, N.; Xu, J.; Boyer, C.; Allonas, X. Exploration of the PET-RAFT Initiation Mechanism for Two Commonly Used Photocatalysts. ChemPhotoChem 2019, 3, 1193–1199. [Google Scholar] [CrossRef]
- Seal, P.; Xu, J.; De Luca, S.; Boyer, C.; Smith, S.C. Unraveling Photocatalytic Mechanism and Selectivity in PET-RAFT Polymerization. Adv. Theory Simul. 2019, 2, 1900038. [Google Scholar] [CrossRef]
- Wang, A.R.; Zhu, S. Effects of Diffusion-Controlled Radical Reactions on RAFT Polymerization. Macromol. Theory Simul. 2003, 12, 196–208. [Google Scholar] [CrossRef]
- Gao, X.; Zhu, S. Modeling analysis of chain transfer in reversible addition-fragmentation chain transfer polymerization. J. Appl. Polym. Sci. 2011, 122, 497–508. [Google Scholar] [CrossRef]
- Guan, C.-M.; Luo, Z.-H.; Tang, P.-P. Poly(dimethylsiloxane-b-styrene) diblock copolymers prepared by reversible addition-fragmentation chain transfer polymerization: Kinetic model. J. Appl. Polym. Sci. 2012, 123, 1047–1055. [Google Scholar] [CrossRef]
- Mastan, E.; Zhu, S. Method of moments: A versatile tool for deterministic modeling of polymerization kinetics. Eur. Polym. J. 2015, 68, 139–160. [Google Scholar] [CrossRef]
- Zhou, Y.-N.; Luo, Z.-H. State-of-the-Art and Progress in Method of Moments for the Model-Based Reversible-Deactivation Radical Polymerization. Macromol. React. Eng. 2016, 10, 516–534. [Google Scholar] [CrossRef]
- Zhang, M.; Ray, W.H. Modeling of “Living” Free-Radical Polymerization with RAFT Chemistry. Ind. Eng. Chem. Res. 2001, 40, 4336–4352. [Google Scholar] [CrossRef]
- Hernández-Ortiz, J.C.; Jaramillo-Soto, G.; Palacios-Alquisira, J.; Vivaldo-Lima, E. Modeling of Polymerization Kinetics and Molecular Weight Development in the Microwave-Activated RAFT Polymerization of Styrene. Macromol. React. Eng. 2010, 4, 210–221. [Google Scholar] [CrossRef]
- Harrisson, S. The downside of dispersity: Why the standard deviation is a better measure of dispersion in precision polymerization. Polym. Chem. 2018, 9, 1366–1370. [Google Scholar] [CrossRef]
















| Rate Coefficient a | Thermal | Photo | Units | Section |
|---|---|---|---|---|
| kd (VA-044) | 5.781 × 10−5 | - | s−1 | 3.2.1.2 |
| f | 0.7 | - | - | 3.2.1.2 |
| ki | 1.7 × 103 | 1.7 × 103 | M−1s−1 | 3.2.1.2 |
| kiR | 1.7 × 103 | 1.7 × 103 | M−1s−1 | 3.2.1.2 |
| kp(1) | 6.99 × 105 | 6.99 × 105 | M−1s−1 | 3.2.1.1 |
| kp(>2) | 9.99 × 104 | 9.99 × 104 | M−1s−1 | 3.2.1.1 |
| kt,small | 2.0 × 109 | 2.0 × 109 | M−1s−1 | 3.2.1.4 |
| kt,prt | 2.0 × 109 | 2.0 × 109 | M−1s−1 | 3.2.1.4 |
| kt | see text | see text | M−1s−1 | 3.2.1.4 |
| kadd (ka,R) | 2.0 × 108 | 2.0 × 108 | M−1s−1 | 3.2.1.3 |
| k-add (k-a,R) | 1.0 × 104 | 1.0 × 104 | s−1 | 3.2.1.3 |
| kβ (kβ,R) | 5.0 × 105 | 5.0 × 105 | s−1 | 3.2.1.3 |
| k-β (k-β,R) | 1.0 × 105 | 5.0 × 105 | M−1s−1 | 3.2.1.3 |
| kaddP (kadd) | 1.0 × 108 | 1.0 × 108 | M−1s−1 | 3.2.1.3 |
| kβP (kβ) | 1.0 × 104 | 1.0 × 104 | s−1 | 3.2.1.3 |
| kaddI (ka,I) | 1.0 × 105 | 1.0 × 105 | M−1s−1 | 3.2.1.3 |
| kβI (kβ,I) | 1.0 × 104 | 1.0 × 104 | s−1 | 3.2.1.3 |
| kt,IRT | see text | see text | M−1s−1 | 3.2.1.5 |
Publisher’s Note: MDPI stays neutral with regard to jurisdictional claims in published maps and institutional affiliations. |
© 2022 by the authors. Licensee MDPI, Basel, Switzerland. This article is an open access article distributed under the terms and conditions of the Creative Commons Attribution (CC BY) license (https://creativecommons.org/licenses/by/4.0/).
Share and Cite
Johnson, C.H.J.; Spurling, T.H.; Moad, G. Evolution of Molar Mass Distributions Using a Method of Partial Moments: Initiation of RAFT Polymerization. Polymers 2022, 14, 5013. https://doi.org/10.3390/polym14225013
Johnson CHJ, Spurling TH, Moad G. Evolution of Molar Mass Distributions Using a Method of Partial Moments: Initiation of RAFT Polymerization. Polymers. 2022; 14(22):5013. https://doi.org/10.3390/polym14225013
Chicago/Turabian StyleJohnson, Charles H. J., Thomas H. Spurling, and Graeme Moad. 2022. "Evolution of Molar Mass Distributions Using a Method of Partial Moments: Initiation of RAFT Polymerization" Polymers 14, no. 22: 5013. https://doi.org/10.3390/polym14225013
APA StyleJohnson, C. H. J., Spurling, T. H., & Moad, G. (2022). Evolution of Molar Mass Distributions Using a Method of Partial Moments: Initiation of RAFT Polymerization. Polymers, 14(22), 5013. https://doi.org/10.3390/polym14225013

