Comprehensive Analysis of the Influence of Expanded Vermiculite on the Foaming Process and Selected Properties of Composite Rigid Polyurethane Foams
Abstract
1. Introduction
2. Experimental
2.1. Materials
2.2. Filler Preparation
2.3. Preparation of Rigid Polyurethane Foams
2.4. Methods
3. Results
3.1. Filler Characterization
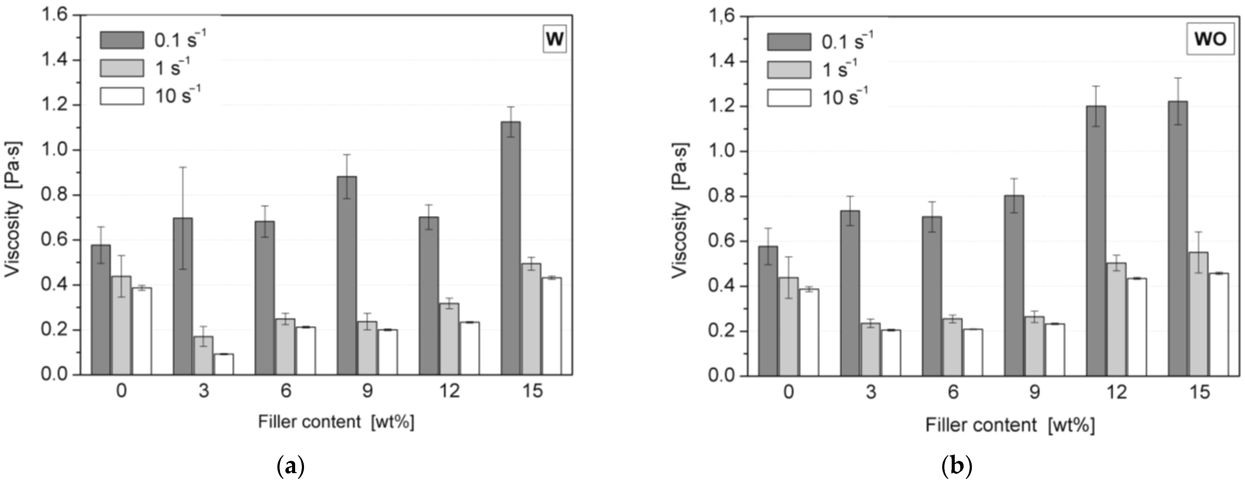
3.2. Rheological Properties
3.3. Foaming Process of PUR Systems Modified with Vermiculite
3.4. Properties of Rigid PUR Foams Modified with Vermiculite
4. Conclusions
Author Contributions
Funding
Institutional Review Board Statement
Informed Consent Statement
Data Availability Statement
Conflicts of Interest
References
- Gama, N.V.; Ferreira, A.; Barros-Timmons, A. Polyurethane Foams: Past, Present, and Future. Materials 2018, 11, 1841. [Google Scholar] [CrossRef] [PubMed]
- Demharter, A. Polyurethane Rigid Foam, a Proven Thermal Insulating Material for Applications between +130 °C and −196 °C. Cryogenics 1998, 38, 113–117. [Google Scholar] [CrossRef]
- Kurańska, M.; Prociak, A.; Michałowski, S.; Zawadzińska, K. The Influence of Blowing Agents Type on Foaming Process and Properties of Rigid Polyurethane Foams. Polimery 2018, 63, 672–678. [Google Scholar] [CrossRef]
- Park, Y.T.; Qian, Y.; Lindsay, C.I.; Nijs, C.; Camargo, R.E.; Stein, A.; Macosko, C.W. Polyol-Assisted Vermiculite Dispersion in Polyurethane Nanocomposites. ACS Appl. Mater. Interfaces 2013, 5, 3054–3062. [Google Scholar] [CrossRef] [PubMed]
- Miedzińska, K.; Członka, S.; Strąkowska, A.; Strzelec, K. Vermiculite Filler Modified with Casein, Chitosan, and Potato Protein as a Flame Retardant for Polyurethane Foams. Int. J. Mol. Sci. 2021, 22, 10825. [Google Scholar] [CrossRef]
- Patro, T.U.; Harikrishnan, G.; Misra, A.; Khakhar, D.V. Formation and Characterization of Polyurethane-Vermiculite Clay Nanocomposite Foams. Polym. Eng. Sci. 2008, 48, 1778–1784. [Google Scholar] [CrossRef]
- Zhang, T.; Zhang, F.; Dai, S.; Li, Z.; Wang, B.; Quan, H.; Huang, Z. Polyurethane/Organic Vermiculite Composites with Enhanced Mechanical Properties. J. Appl. Polym. Sci. 2016, 133, 43219. [Google Scholar] [CrossRef]
- Li, M.; Zhao, Y.; Ai, Z.; Bai, H.; Zhang, T.; Song, S. Preparation and Application of Expanded and Exfoliated Vermiculite: A Critical Review. Chem. Phys. 2021, 550, 111313. [Google Scholar] [CrossRef]
- Muiambo, H.F.; Focke, W.W. Ion Exchanged Vermiculites with Lower Expansion Onset Temperatures. Mol. Cryst. Liq. Cryst. 2012, 555, 65–75. [Google Scholar] [CrossRef]
- Muiambo, H.F.; Focke, W.W.; Atanasova, M.; van der Westhuizen, I.; Tiedt, L.R. Thermal Properties of Sodium-Exchanged Palabora Vermiculite. Appl. Clay Sci. 2010, 50, 51–57. [Google Scholar] [CrossRef]
- Wang, M.; Liao, L.; Zhang, X.; Li, Z.; Xia, Z.; Cao, W. Adsorption of Low-Concentration Ammonium onto Vermiculite from Hebei Province, China. Clays Clay Miner. 2011, 59, 459–465. [Google Scholar] [CrossRef]
- Bortoluzzi, E.C.; Velde, B.; Pernes, M.; Dur, J.C.; Tessier, D. Vermiculite, with Hydroxy-Aluminium Interlayer, and Kaolinite Formation in a Subtropical Sandy Soil from South Brazil. Clay Miner. 2008, 43, 185–193. [Google Scholar] [CrossRef]
- Hillier, S.; Marwa, E.M.M.; Rice, C.M. On the Mechanism of Exfoliation of ’Vermiculite’. Clay Miner. 2013, 48, 563–582. [Google Scholar] [CrossRef]
- Feng, J.; Liu, M.; Fu, L.; Zhang, K.; Xie, Z.; Shi, D.; Ma, X. Enhancement and Mechanism of Vermiculite Thermal Expansion Modified by Sodium Ions. RSC Adv. 2020, 10, 7635–7642. [Google Scholar] [CrossRef]
- Barczewski, M.; Mysiukiewicz, O.; Hejna, A.; Biskup, R.; Szulc, J.; Michałowski, S.; Piasecki, A.; Kloziński, A. The Effect of Surface Treatment with Isocyanate and Aromatic Carbodiimide of Thermally Expanded Vermiculite Used as a Functional Filler for Polylactide-Based Composites. Polymers 2021, 13, 890. [Google Scholar] [CrossRef]
- Barczewski, M.; Hejna, A.; Sałasińska, K.; Aniśko, J.; Piasecki, A.; Skórczewska, K.; Andrzejewski, J. Thermomechanical and Fire Properties of Polyethylene-Composite-Filled Ammonium Polyphosphate and Inorganic Fillers: An Evaluation of Their Modification Efficiency. Polymers 2022, 14, 2501. [Google Scholar] [CrossRef]
- Obut, A.; Girgin, İ. Hydrogen Peroxide Exfoliation of Vermiculite and Phlogopite. Miner. Eng. 2002, 15, 683–687. [Google Scholar] [CrossRef]
- International Commission on Illumination. Recommendations on Uniform Color Spaces, Color-Difference Equations, Psychometric Color Terms; C.I.E.: Vienna, Austria, 1978. [Google Scholar]
- Grząbka-Zasadzińska, A.; Klapiszewski, Ł.; Borysiak, S.; Jesionowski, T. Thermal and Mechanical Properties of Silica—Lignin/Polylactide Composites Subjected to Biodegradation. Materials 2018, 11, 2257. [Google Scholar] [CrossRef]
- Marcos, C. Effect of Water Immersion on Raw and Expanded Ugandan Vermiculite. Minerals 2021, 12, 23. [Google Scholar] [CrossRef]
- Moraes, D.; Miranda, L.; Angélica, R.; Rocha Filho, G.; Zamian, J. Functionalization of Bentonite and Vermiculite after the Creation of Structural Defects through an Acid Leaching Process. J. Braz. Chem. Soc. 2018, 29, 320–327. [Google Scholar] [CrossRef]
- Tang, Q.; Wang, F.; Tang, M.; Liang, J.; Ren, C. Study on Pore Distribution and Formation Rule of Sepiolite Mineral Nanomaterials. J. Nanomater. 2012, 2012, 382603. [Google Scholar] [CrossRef]
- Kuranska, M.; Prociak, A.; Michalowski, S.; Cabulis, U.; Kirpluks, M. Microcellulose as a Natural Filler in Polyurethane Foams Based on the Biopolyol from Rapeseed Oil. Polimery 2016, 61, 625–632. [Google Scholar] [CrossRef]
- Barczewski, M.; Kurańska, M.; Sałasińska, K.; Michałowski, S.; Prociak, A.; Uram, K.; Lewandowski, K. Rigid Polyurethane Foams Modified with Thermoset Polyester-Glass Fiber Composite Waste. Polym. Test. 2020, 81, 106190. [Google Scholar] [CrossRef]
- Formela, K.; Hejna, A.; Zedler, Ł.; Przybysz, M.; Ryl, J.; Reza, M.; Piszczyk, Ł. Industrial Crops & Products Structural, Thermal and Physico-Mechanical Properties of Polyurethane/Brewers’ Spent Grain Composite Foams Modi Fi Ed with Ground Tire Rubber. Ind. Crops Prod. 2017, 108, 844–852. [Google Scholar] [CrossRef]
- Paciorek-Sadowska, J.; Borowicz, M.; Isbrandt, M. Effect of Evening Primrose (Oenothera Biennis) Oil Cake on the Properties of Polyurethane/Polyisocyanurate Bio-composites. Int. J. Mol. Sci. 2021, 22, 8950. [Google Scholar] [CrossRef]
- Cabulis, U.; Kirpluks, M. Rapeseed Oil as Main Component in Synthesis of Bio-Polyurethane-Polyisocyanurate Porous Materials Modi Fi Ed with Carbon Fi Bers. Polym. Test. 2017, 59, 478–486. [Google Scholar] [CrossRef]
- Członka, S.; Sienkiewicz, N.; Kairytė, A.; Vaitkus, S. Colored Polyurethane Foams with Enhanced Mechanical and Thermal Properties. Polym. Test. 2019, 78, 105986. [Google Scholar] [CrossRef]
- Bociaga, E.; Trzaskalska, M. Influence of Polymer Processing Parameters and Coloring Agents on Gloss and Color of Acrylonitrile-Butadiene-Styrene Terpolymer Moldings. Polimery 2016, 61, 544–550. [Google Scholar] [CrossRef]
- Jiao, L.; Xiao, H.; Wang, Q.; Sun, J. Thermal Degradation Characteristics of Rigid Polyurethane Foam and the Volatile Products Analysis with TG-FTIR-MS. Polym. Degrad. Stab. 2013, 98, 2687–2696. [Google Scholar] [CrossRef]
- Gu, R.; Sain, M.M. Effects of Wood Fiber and Microclay on the Performance of Soy Based Polyurethane Foams. J. Polym. Environ. 2013, 21, 30–38. [Google Scholar] [CrossRef]
- Cifarelli, A.; Boggioni, L.; Vignali, A.; Tritto, I.; Bertini, F.; Losio, S. Flexible Polyurethane Foams from Epoxidized Vegetable Oils and a Bio-Based Diisocyanate. Polymers 2021, 13, 612. [Google Scholar] [CrossRef] [PubMed]
- Schartel, B.; Hull, T.R. Development of Fire-Retarded Materials—Interpretation of Cone Calorimeter Data. Fire Mater. 2007, 31, 327–354. [Google Scholar] [CrossRef]
- Ren, Q.; Zhang, Y.; Li, J.; Li, J.C. Synergistic Effect of Vermiculite on the Intumescent Flame Retardance of Polypropylene. J. Appl. Polym. Sci. 2011, 120, 1225–1233. [Google Scholar] [CrossRef]
- Wang, F.; Gao, Z.; Zheng, M.; Sun, J. Thermal Degradation and Fire Performance of Plywood Treated with Expanded Vermiculite. Fire Mater. 2016, 40, 427–433. [Google Scholar] [CrossRef]
- Sałasińska, K.; Kirpluks, M.; Cabulis, P.; Kovalovs, A.; Skukis, E.; Kozikowski, P.; Celiński, M.; Mizera, K.; Gałecka, M.; Kalnins, K.; et al. Experimental Investigation of the Mechanical Properties and Fire Behavior of Epoxy Composites Reinforced by Fabrics and Powder Fillers. Processes 2021, 9, 738. [Google Scholar] [CrossRef]
- Scharte, B. Phosphorus-Based Flame Retardancy Mechanisms-Old Hat or a Starting Point for Future Development? Materials 2010, 3, 4710–4745. [Google Scholar] [CrossRef] [PubMed]
- Nie, S.; Zhang, M.; Yuan, S.; Dai, G.; Hong, N.; Song, L.; Hu, Y.; Liu, X. Thermal and Flame Retardant Properties of Novel Intumescent Flame Retardant Low-Density Polyethylene (LDPE) Composites. J. Therm. Anal. Calorim. 2012, 109, 999–1004. [Google Scholar] [CrossRef]
- Konecki, M.; Półka, M. Analiza Zasiȩgu Widzialności w Dymie Powstałym w Czasie Spalania Materiałów Poliestrowych. Polimery 2006, 51, 293–300. [Google Scholar] [CrossRef][Green Version]
- Liu, L.; Qian, M.; Song, P.; Huang, G.; Yu, Y.; Fu, S. Fabrication of Green Lignin-Based Flame Retardants for Enhancing the Thermal and Fire Retardancy Properties of Polypropylene/Wood Composites. ACS Sustain. Chem. Eng. 2016, 4, 2422–2431. [Google Scholar] [CrossRef]













| Component | Mass, g |
|---|---|
| Rokopol RF-551 | 100 |
| PMDI | 181 |
| L6633 | 1.5 |
| Polycat 9 | 2 |
| Water | 4 |
| TEP | 20 |
| Vermiculite | 3, 6, 9, 12, 15% of the mass of the polyol |
| Material | SBET, m2/g | SEXT, m2/g | SMIC, m2/g | 4V/A, nm | VP, cm3/g | VMIC, cm3/g |
|---|---|---|---|---|---|---|
| W | 12.58 | 12.77 | 0.81 | 14.29 | 0.048556 | 0.000257 |
| WO | 17.09 | 16.56 | 0.53 | 12.64 | 0.054028 | 0.000072 |
| Symbol | Parallel Direction, µm | Perpendicular Direction, µm | AI * |
|---|---|---|---|
| PUR | 309.4 ± 105.6 | 281.3 ± 89.2 | 1.10 |
| PUR3W | 287.4 ± 112.4 | 248.1 ± 83.9 | 1.16 |
| PUR6W | 303.8 ± 122.4 | 254.2 ± 94.5 | 1.19 |
| PUR9W | 317.7 ± 119.3 | 273.7 ± 95.9 | 1.16 |
| PUR12W | 285.7 ± 105.6 | 260.9 ± 92.4 | 1.10 |
| PUR15W | 299.2 ± 107.1 | 264.6 ± 91.3 | 1.13 |
| PUR15WO | 291.1 ± 104.4 | 277.5 ± 103.6 | 1.05 |
| Sample | L* | a* | b* | ΔE |
|---|---|---|---|---|
| PUR | 85.62 ± 0.93 | −3.05 ± 0.39 | 13.94 ± 0.85 | - |
| PUR3W | 79.08 ± 1.13 | 1.24 ± 0.16 | 14.44 ± 0.64 | 7.86 |
| PUR6W | 74.92 ± 1.74 | 3.29 ± 0.26 | 14.30 ± 0.64 | 12.46 |
| PUR9W | 70.97 ± 1.56 | 4.48 ± 0.34 | 14.89 ± 0.59 | 16.61 |
| PUR12W | 69.89 ± 1.06 | 5.42 ± 0.32 | 14.27 ± 0.50 | 17.89 |
| PUR15W | 65.61 ± 1.51 | 6.66 ± 0.40 | 15.03 ± 0.59 | 22.29 |
| PUR15WO | 65.46 ± 1.25 | 7.05 ± 0.36 | 16.29 ± 0.61 | 22.69 |
| Sample | T5%, °C | T10%, °C | T25%, °C | T50%, °C | Residue at 900 °C, % | DTG 1st Peak, %/min; °C | DTG 2nd Peak, %/min; °C | DTG 3rd Peak, %/min; °C |
|---|---|---|---|---|---|---|---|---|
| PUR | 198.7 | 263.8 | 304.2 | 339.7 | 13.76 | −0.98; 190.5 | −8.16; 332.2 | −1.33; 481.6 |
| PUR3W | 199.8 | 266.7 | 307.6 | 341.0 | 13.49 | −1.03; 190.0 | −8.73; 333.5 | −1.27; 472.7 |
| PUR6W | 181.7 | 270.9 | 319.0 | 356.7 | 17.38 | −0.88; 170.2 | −7.23; 343.0 | −1.40; 493.0 |
| PUR9W | 205.1 | 271.4 | 312.4 | 345.5 | 16.91 | −0.94; 190.2 | −8.39; 335.1 | −1.38; 486.8 |
| PUR12W | 199.7 | 266.8 | 308.6 | 344.1 | 17.86 | −0.94; 188.2 | −7.83; 335 | −1.31; 481.9 |
| PUR15W | 204.8 | 266.6 | 307.1 | 343.8 | 17.61 | −0.81; 187.4 | −7.70; 329.2 | −1.24; 460;8 |
| PUR15WO | 217.8 | 277.1 | 318.5 | 358.4 | 21.06 | −0.75; 194.6 | −6.88; 343.0 | −1.37; 481.6 |
| Sample | TTI, | pHRR, | MARHE, | THR, | EHC, | SEA, | TSR, | Residue, | LOI, |
|---|---|---|---|---|---|---|---|---|---|
| s | kW/m2 | kW/m2 | MJ/m2 | MJ/kg | m2/kg | m2/m2 | % | % | |
| PUR | 4 ±1 | 288 ± 19 | 233 ± 11 | 15 ± 1 | 16 ± 0 | 811 ± 22 | 768 ± 61 | 15.2 ± 2 | 21.5 ± 0.1 |
| PUR3W | 6 ± 3 | 237 ± 42 | 188 ± 34 | 13 ± 1 | 16 ± 0 | 787 ± 55 | 666 ± 78 | 13.3 ± 1 | 21.5 ± 0.1 |
| PUR9W | 4 ± 1 | 284 ± 19 | 222 ± 5 | 14 ± 0 | 16 ± 0 | 822 ± 25 | 707 ± 32 | 16.5 ± 3 | 21.5 ± 0.1 |
| PUR15W | 5 ± 1 | 266 ± 6 | 207 ± 11 | 13 ± 1 | 16 ± 0 | 824 ± 14 | 668 ± 39 | 21.4 ± 2 | 21.5 ± 0.1 |
| PUR15WO | 4 ± 1 | 274 ± 27 | 222 ± 24 | 14 ± 0 | 16 ± 0 | 810 ± 30 | 699 ± 10 | 19.6 ± 0 | 21.5 ± 0.1 |
Publisher’s Note: MDPI stays neutral with regard to jurisdictional claims in published maps and institutional affiliations. |
© 2022 by the authors. Licensee MDPI, Basel, Switzerland. This article is an open access article distributed under the terms and conditions of the Creative Commons Attribution (CC BY) license (https://creativecommons.org/licenses/by/4.0/).
Share and Cite
Barczewski, M.; Kurańska, M.; Sałasińska, K.; Aniśko, J.; Szulc, J.; Szafraniak-Wiza, I.; Prociak, A.; Polaczek, K.; Uram, K.; Surmacz, K.; et al. Comprehensive Analysis of the Influence of Expanded Vermiculite on the Foaming Process and Selected Properties of Composite Rigid Polyurethane Foams. Polymers 2022, 14, 4967. https://doi.org/10.3390/polym14224967
Barczewski M, Kurańska M, Sałasińska K, Aniśko J, Szulc J, Szafraniak-Wiza I, Prociak A, Polaczek K, Uram K, Surmacz K, et al. Comprehensive Analysis of the Influence of Expanded Vermiculite on the Foaming Process and Selected Properties of Composite Rigid Polyurethane Foams. Polymers. 2022; 14(22):4967. https://doi.org/10.3390/polym14224967
Chicago/Turabian StyleBarczewski, Mateusz, Maria Kurańska, Kamila Sałasińska, Joanna Aniśko, Joanna Szulc, Izabela Szafraniak-Wiza, Aleksander Prociak, Krzysztof Polaczek, Katarzyna Uram, Karolina Surmacz, and et al. 2022. "Comprehensive Analysis of the Influence of Expanded Vermiculite on the Foaming Process and Selected Properties of Composite Rigid Polyurethane Foams" Polymers 14, no. 22: 4967. https://doi.org/10.3390/polym14224967
APA StyleBarczewski, M., Kurańska, M., Sałasińska, K., Aniśko, J., Szulc, J., Szafraniak-Wiza, I., Prociak, A., Polaczek, K., Uram, K., Surmacz, K., & Piasecki, A. (2022). Comprehensive Analysis of the Influence of Expanded Vermiculite on the Foaming Process and Selected Properties of Composite Rigid Polyurethane Foams. Polymers, 14(22), 4967. https://doi.org/10.3390/polym14224967

