pH-Driven Selective Adsorption of Multi-Dyes Solutions by Loofah Sponge and Polyaniline-Modified Loofah Sponge
Abstract
1. Introduction
2. Materials and Methods
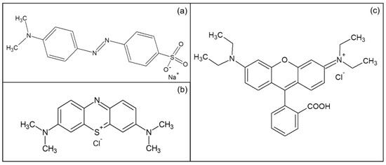
2.1. Materials
2.2. Sample Preparation
2.3. Characterization
2.4. Adsorption Tests
2.4.1. One-Step Adsorption Test for Dyes Removal
2.4.2. Two-Step pH-Triggered Adsorption of Dyes in a Mixture
2.4.3. Recycles, Desorption Tests, and Materials’ Regeneration
3. Results and Discussion
3.1. Materials Characterization
3.2. Adsorption Studies
3.2.1. Effect of Initial pH on Adsorption Properties
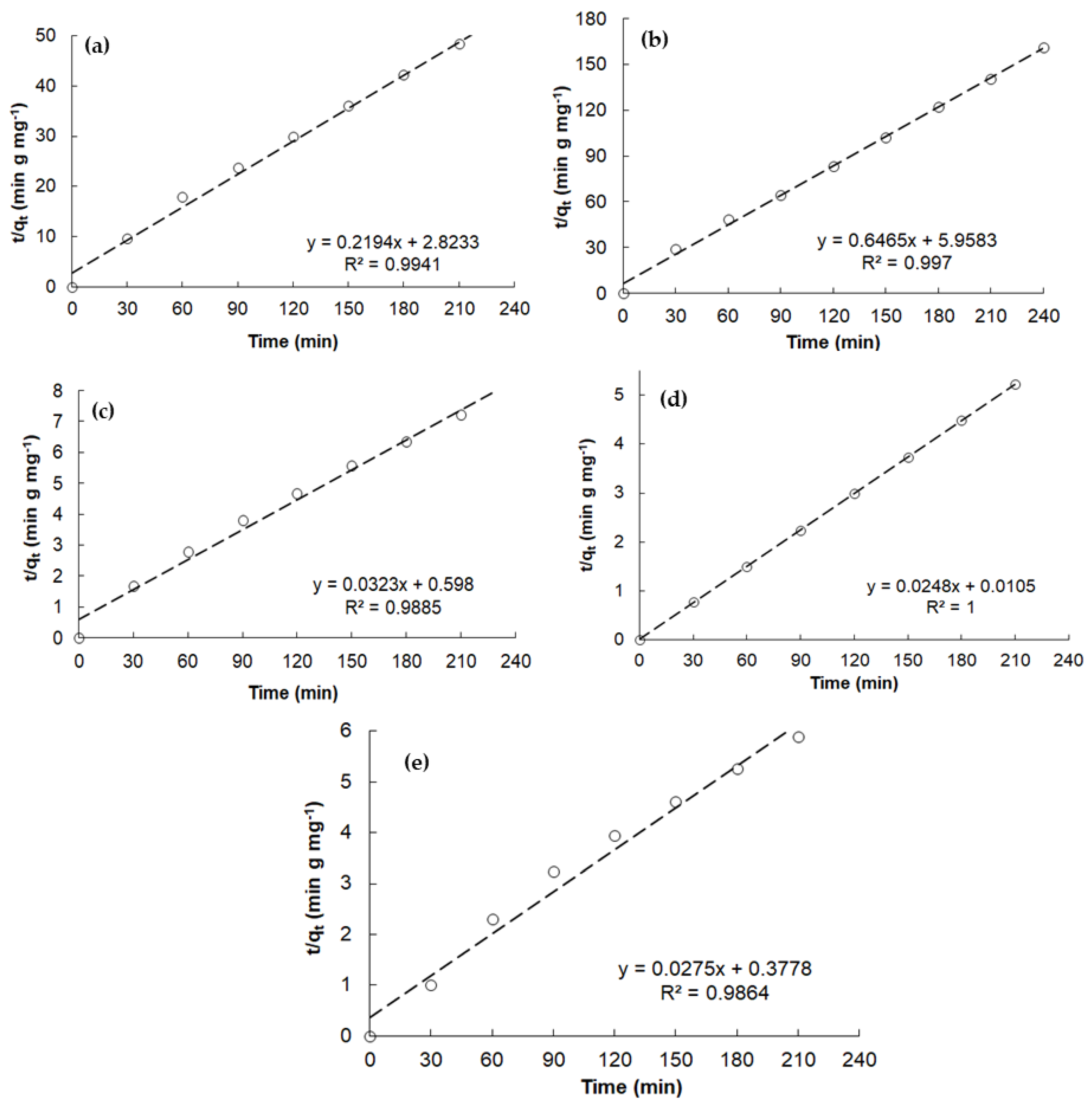
3.2.2. Adsorption Kinetics
3.2.3. Investigation of the Adsorption Properties of LS and P-LS towards Dyes in a Mixture
3.2.4. Two-Step Adsorption Process for the Selective Removal of Dyes Mixture
3.2.5. Recycle Tests and Materials’ Regeneration
4. Conclusions
Supplementary Materials
Author Contributions
Funding
Institutional Review Board Statement
Informed Consent Statement
Data Availability Statement
Conflicts of Interest
References
- Nasar, A.; Mashkoor, F. Application of polyaniline-based adsorbents for dye removal from water and wastewater—A review. Environ. Sci. Pollut. Res. 2019, 26, 5333–5356. [Google Scholar] [CrossRef] [PubMed]
- Deshannavar, U.B.; Ratnamala, G.M.; Kalburgi, P.B.; El-Harbawi, M.; Agarwal, A.; Shet, M.; Teli, M.; Bhandare, P. Optimization, kinetic and equilibrium studies of disperse yellow 22 dye removal from aqueous solutions using Malaysian teak wood sawdust as adsorbent. Indian Chem. Eng. 2016, 58, 12–28. [Google Scholar] [CrossRef]
- Nasar, A.; Shakoor, S. Remediation of dyes from industrial wastewater using low-cost adsorbents. In Applications of Adsorption and Ion Exchange Chromatography in Waste Water Treatment; Inamuddin, A.A.-A., Ed.; Materials Research Forum LLC: Millersville, PA, USA, 2017; pp. 1–33. [Google Scholar] [CrossRef]
- Mamdouh, N.M.; El-Geundi, M.S. Comparative cost of color removal from textile effluents using natural adsorbents. J. Chem. Technol. Biotechnol. 1991, 50, 257–264. [Google Scholar] [CrossRef]
- Katheresan, V.; Kansedo, J.; Lau, S.Y. Efficiency of various recent wastewater dye removal methods: A review. J. Environ. Chem. Eng. 2018, 6, 4676–4697. [Google Scholar] [CrossRef]
- Piaskowski, K.; Swiderska-Dabrowska, R.; Zarzycky, P.K. Dye Removal from Water and Wastewater Using Various Physical, Chemical, and Biological Processes. J. AOAC Int. 2018, 101, 1371–1384. [Google Scholar] [CrossRef]
- Morais, L.C.; Freitas, O.M.; Gonçalves, E.P.; Vasconcelos, L.T.; González Beçab, C.G. Reactive dyes removal from wastewaters by adsorption on eucalyptus bark: Variables that define the process. Water Res. 1999, 33, 979–988. [Google Scholar] [CrossRef]
- Chiou, M.-S.; Li, H.-Y. Equilibrium and kinetic modeling of adsorption of reactive dye on cross-linked chitosan beads. J. Hazard. Mater. 2002, 93, 233–248. [Google Scholar] [CrossRef]
- Falletta, E.; Bruni, A.; Sartirana, M.; Djellabi, R.; Bianchi, C.L. Solar Light Photoactive Floating Polyaniline/TiO2 Composites for Water Remediation. Nanomaterials 2021, 11, 3071. [Google Scholar] [CrossRef]
- Behjati, S.; Sheibani, S.; Herritsch, J.; Gottfried, J.M. Photodegradation of dyes in batch and continuous reactors by Cu2O-CuO nano-photocatalyst on Cu foils prepared by chemical-thermal oxidation. Mater. Res. Bull. 2020, 130, 110920. [Google Scholar] [CrossRef]
- Khan, I.; Saeed, K.; Ali, N.; Khan, I.; Zhang, B.; Sadiq, M. Heterogeneous photodegradation of industrial dyes: An insight to different mechanisms and rate affecting parameters. J. Environ. Chem. Eng. 2020, 8, 104364. [Google Scholar] [CrossRef]
- Bhaumik, M.; McCrindle, R.I.; Maity, A.; Agarwal, S.; Gupta, V.K. Polyaniline nanofibers as highly effective reusable adsorbent for removal of reactive black 5 from aqueous solutions. J. Colloid Interface Sci. 2016, 466, 442–451. [Google Scholar] [CrossRef] [PubMed]
- Yönten, V.; Sanyürek, N.K.; Kivanç, M.R. A thermodynamic and kinetic approach to adsorption of methyl orange from aqueous solution using a low cost activated carbon prepared from Vitis vinifera L. Surf. Interfaces 2020, 20, 100529. [Google Scholar] [CrossRef]
- Jahan, K.; Tyeb, S.; Kumar, N.; Verma, V. Bacterial Cellulose-Polyaniline Porous Mat for Removal of Methyl Orange and Bacterial Pathogens from Potable Water. J. Polym. Environ. 2021, 29, 1257–1270. [Google Scholar] [CrossRef]
- Pargoletti, E.; Pifferi, V.; Falciola, L.; Facchinetti, G.; Re Depaolini, A.; Davoli, E.; Marelli, M.; Cappelletti, G. A detailed investigation of MnO2 nanorods to be grown onto activated carbon. High efficiency towards aqueous methyl orange adsorption/degradation. Appl. Surf. Sci. 2019, 472, 118–126. [Google Scholar] [CrossRef]
- Gupta, V.K.; Pathania, D.; Kothiyal, N.C.; Sharma, G. Polyaniline zirconium (IV) silicophosphate nanocomposite for remediation of methylene blue dye from wastewater. J. Mol. Liq. 2014, 190, 139–145. [Google Scholar] [CrossRef]
- Alatalo, S.-M.; Mäkilä, E.; Repo, E.; Heinonen, M.; Salonen, J.; Kukk, E.; Sillanpää, M.; Titirici, M.M. Meso- and microporous soft templated hydrothermal carbons for dye removal from water. Green Chem. 2016, 18, 1137–1146. [Google Scholar] [CrossRef]
- Mohan, D.; Singh, K.P.; Singh, V.K. Wastewater treatment using low cost activated carbons derived from agricultural byproducts—A case study. J. Hazard. Mater. 2008, 152, 1045–1053. [Google Scholar] [CrossRef]
- Wang, X.; Zhu, N.; Yin, B. Preparation of sludge-based activated carbon and its application in dye wastewater treatment. J. Hazard. Mater. 2008, 153, 22–27. [Google Scholar] [CrossRef]
- Azam, K.; Shezad, N.; Shafiq, I.; Akhter, P.; Akhtar, F.; Jamil, F.; Shafique, S.; Park, Y.K.; Hussain, M. A review on activated carbon modifications for the treatment of wastewater containing anionic dyes. Chemosphere 2022, 306, 135566. [Google Scholar] [CrossRef]
- Santhy, K.; Selvapathy, P. Removal of reactive dyes from wastewater by adsorption on coir pith activated carbon. Bioresour. Technol. 2006, 97, 1329–1336. [Google Scholar] [CrossRef]
- Husien, S.; El-taweel, R.M.; Salim, A.I.; Fahim, I.S.; Said, L.A.; Radwan, A.G. Review of activated carbon adsorbent material for textile dyes removal: Preparation, and modelling. Curr. Res. Green Sustain. Chem. 2022, 5, 100325. [Google Scholar] [CrossRef]
- Xie, M.; Liu, X.; Wang, S. Degradation of methylene blue through Fenton-like reaction catalyzed by MoS2-doped sodium alginate/Fe hydrogel. Colloids Surf. B Biointerfaces 2022, 214, 113443. [Google Scholar] [CrossRef] [PubMed]
- Galloni, M.G.; Ferrara, E.; Falletta, E.; Bianchi, C.L. Olive Mill Wastewater Remediation: From Conventional Approaches to Photocatalytic Processes by Easily Recoverable Materials. Catalysts 2022, 12, 923. [Google Scholar] [CrossRef]
- Nouacer, S.; Djellabi, R. Easy-handling semi-floating TiO2-based aerogel for solar photocatalytic water depollution. Environ. Sci. Pollut. Res. 2022. [Google Scholar] [CrossRef] [PubMed]
- Della Pina, C.; De Gregorio, M.A.; Clerici, L.; Dellavedova, P.; Falletta, E. Polyaniline (PANI): An innovative support for sampling and removal of VOCs in air matrices. J. Hazard. Mater. 2018, 344, 1–8. [Google Scholar] [CrossRef]
- Bagheri, H.; Saraji, M. New polymeric sorbent for the solid-phase extraction of chlorophenols from water samples followed by gas chromatography–electron-capture detection. J. Chromatogr. A 2001, 910, 87–93. [Google Scholar] [CrossRef]
- Conde-Díaz, A.; Rodríguez-Ramos, R.; Socas-Rodríguez, B.; Salazar-Carballo, P.Á.; Rodríguez-Delgado, M.Á. Application of polyaniline-based magnetic-dispersive-solid-phase microextraction combined with liquid chromatography tandem mass spectrometry for the evaluation of plastic migrants in food matrices. J. Chromatogr. A 2022, 1670, 462988. [Google Scholar] [CrossRef]
- Dziedzic, D.; Nawała, J.; Gordon, D.; Dawidziuk, B.; Popiel, S. Nanostructured polyaniline SPME fiber coating for chemical warfare agents analysis. Anal. Chim. Acta 2022, 1202, 339649. [Google Scholar] [CrossRef]
- Cionti, C.; Della Pina, C.; Meroni, D.; Falletta, E.; Ardizzone, S. Triply green polyaniline: UV irradiation-induced synthesis of a highly porous PANI/TiO2 composite and its application in dye removal. Chem. Commun. 2018, 54, 10702. [Google Scholar] [CrossRef]
- Della Pina, C.; De Gregorio, M.A.; Dellavedova, P.; Falletta, E. Polyanilines as New Sorbents for Hydrocarbons Removal from Aqueous Solutions. Materials 2020, 13, 2161. [Google Scholar] [CrossRef]
- Cionti, C.; Della Pina, C.; Meroni, D.; Falletta, E.; Ardizzone, S. Photocatalytic and Oxidative Synthetic Pathways for Highly Efficient PANI-TiO2 Nanocomposites as Organic and Inorganic Pollutant Sorbents. Nanomaterials 2020, 10, 441. [Google Scholar] [CrossRef] [PubMed]
- Bianchi, C.L.; Djellabi, R.; Della Pina, C.; Falletta, E. Doped-polyaniline based sorbents for the simultaneous removal of heavy metals and dyes from water: Unravelling the role of synthesis method and doping agent. Chemosphere 2022, 286, 131941. [Google Scholar] [CrossRef] [PubMed]
- Lyu, W.; Yu, M.; Li, J.; Feng, J.; Yan, W. Adsorption of anionic acid red G dye on polyaniline nanofibers synthesized by FeCl3 oxidant: Unravelling the role of synthetic conditions. Colloids Surf. A Physicochem. Eng. Asp. 2022, 647, 129203. [Google Scholar] [CrossRef]
- Jain, N.; Basniwal, R.K.; Suman; Srivastava, A.K.; Jain, V.K. Reusable nanomaterial and plant biomass composites for the removal of Methylene Blue from water. Environ. Technol. 2010, 31, 755–760. [Google Scholar] [CrossRef]
- Sarat Chandra, T.; Mudliar, S.N.; Vidyashankar, S.; Mukherji, S.; Sarada, R.; Krishnamurthi, K.; Chauhan, V.S. Defatted algal biomass as a non-conventional low-cost adsorbent: Surface characterization and methylene blue adsorption characteristics. Bioresour. Technol. 2015, 184, 395–404. [Google Scholar] [CrossRef]
- Amin, M.T.; Alazba, A.A.; Shafiq, M. Comparative study for adsorption of methylene blue dye on biochar derived from orange peel and banana biomass in aqueous solutions. Environ. Monit. Assess. 2019, 191, 735. [Google Scholar] [CrossRef]
- Liu, Z.; Tian, D.; Hu, J.; Shen, F.; Long, L.; Zhang, Y.; Yang, G.; Zeng, Y.; Zhang, J.; He, J.; et al. Functionalizing bottom ash from biomass power plant for removing methylene blue from aqueous solution. Sci. Total Environ. 2018, 634, 760–768. [Google Scholar] [CrossRef]
- Altınışik, A.; Gür, E.; Seki, Y. A natural sorbent, Luffa cylindrica for the removal of a model basic dye. J. Hazard. Mater. 2010, 179, 658–664. [Google Scholar] [CrossRef]
- Mashkoor, F.; Nasar, A. Preparation, characterization and adsorption studies of the chemically modified Luffa aegyptica peel as a potential adsorbent for the removal of malachite green from aqueous solution. J. Mol. Liq. 2019, 274, 315–327. [Google Scholar] [CrossRef]
- Qiang, X.; Guo, X.; Quan, Q.; Su, H.; Huang, D. Improving the Adsorption Performance of Loofah Sponge towards Methylene Blue by Coating Ca2+ Crosslinked Sodium Alginate Layers on Its Fiber Surface. Coatings 2020, 10, 814. [Google Scholar] [CrossRef]
- Nadaroglu, H.; Cicek, S.; Gungor, A.A. Removing Trypan blue dye using nano-Zn modified Luffa sponge. Spectrochim. Acta A Mol. 2017, 172, 2–8. [Google Scholar] [CrossRef] [PubMed]
- Galloni, M.G.; Cerrato, G.; Falletta, E.; Bianchi, C.L. Sustainable Solar Light Photodegradation of Diclofenac by Nano- and Micro-Sized SrTiO3. Catalysts 2022, 12, 804. [Google Scholar] [CrossRef]
- Guo, Y.; Wang, L.; Chen, Y.; Luo, P.; Chen, T. Properties of Luffa Fiber Reinforced PHBV Biodegradable Composites. Polymers 2019, 11, 1765. [Google Scholar] [CrossRef] [PubMed]
- Quillard, S.; Louarn, G.; Lefrant, S.; MacDiarmid, A.G. Vibrational analysis of polyaniline: A comparative study of leucoemeraldine, emeraldine, and pernigraniline bases. Phys. Rev. B 1994, 50, 496–508. [Google Scholar] [CrossRef] [PubMed]
- Dang, H.T.T.; Dinh, C.V.; Nguyen, K.M.; Tran, N.T.H.; Pham, T.T.; Narbaitz, R.M. Loofah Sponges as Bio-Carriers in a Pilot-Scale Integrated Fixed-Film Activated Sludge System for Municipal Wastewater Treatment. Sustainability 2020, 12, 4758. [Google Scholar] [CrossRef]
- ISO 9277:2010; Determination of the Specific Surface Area of Solids by Gas Adsorption—BET Method. International Organization for Standardization: Geneva, Switzerland, 2010.
- Šeděnková, I.; Trchová, M.; Stejskal, J. Thermal degradation of polyaniline films prepared in solutions of strong and weak acids and in water—FTIR and Raman spectroscopic studies. Polym. Degrad. Stabil. 2008, 93, 2147–2157. [Google Scholar] [CrossRef]
- Kesraoui, A.; Moussa, A.; Ben Ali, G.; Seffen, M. Biosorption of alpacide blue from aqueous solution by lignocellulosic biomass: Luffa cylindrica fibers. Environ. Sci. Pollut. Res. 2016, 23, 15832–15840. [Google Scholar] [CrossRef] [PubMed]
- Wang, N.; Li, J.; Lv, W.; Feng, J.; Yan, W. Synthesis of polyaniline/TiO2 composite with excellent adsorption performance on acid red G. RSC Adv. 2015, 5, 21132–21141. [Google Scholar] [CrossRef]
- Javadian, H.; Sorkhrodi, F.Z.; Koutenaei, B.B. Experimental investigation on enhancing aqueous cadmium removal via nanostructure composite of modified hexagonal type mesoporous silica with polyaniline/polypyrrole nanoparticles. J. Ind. Eng. Chem. 2014, 20, 3678–3688. [Google Scholar] [CrossRef]
- Crini, G.; Peindy, H.N.; Gimbert, F.; Robert, C. Removal of C.I. Basic Green 4 (malachite green) from aqueous solutions by adsorption using cyclodextrin based adsorbent: Kinetic and equilibrium studies. Sep. Purif. Technol. 2007, 53, 97–110. [Google Scholar] [CrossRef]
- Wang, S.; Zhu, Z.H. Effects of acidic treatment of activated carbons on dye adsorption. Dyes Pigm. 2007, 75, 306–314. [Google Scholar] [CrossRef]
- Anandkumar, J.; Mandal, B. Adsorption of chromium(VI) and rhodamine B by surface modified tannery waste: Kinetic, mechanistic and thermodynamic studies. J. Hazard. Mater. 2011, 186, 1088–1096. [Google Scholar] [CrossRef] [PubMed]
- Del Nero, J.; de Araujo, R.E.; Gomes, A.S.L.; de Melo, C.P. Theoretical and experimental investigation of the second hyperpolarizabilities of methyl orange. J. Chem. Phys. 2005, 122, 104506. [Google Scholar] [CrossRef] [PubMed]
- Cionti, C.; Pargoletti, E.; Falletta, E.; Bianchi, C.L.; Meroni, D.; Cappelletti, G. Combining pH-triggered adsorption and photocatalysis for the remediation of complex water matrices. J. Environ. Chem. Eng. 2022, 10, 108468. [Google Scholar] [CrossRef]
- Avelar Dutra, F.V.; Carneiro Pires, B.; Aparecida Nascimento, T.; Mano, V.; Bastos Borges, K. Polyaniline-deposited cellulose fiber composite prepared via in situ polymerization: Enhancing adsorption properties for removal of meloxicam from aqueous media. RSC Adv. 2017, 7, 12639. [Google Scholar] [CrossRef]
- Ai, L.; Jiang, J.; Zhang, R. Uniform polyaniline microspheres: A novel adsorbent for dye removal from aqueous solution. Synth. Met. 2010, 160, 7–8. [Google Scholar] [CrossRef]
- Ayad, M.; Zghlol, S. Nanostructured crosslinked polyaniline with high surface area: Synthesis, characterization and adsorption for organic dye. Chem. Eng. J. 2012, 204–206, 79–86. [Google Scholar] [CrossRef]
- Demir, H.; Top, A.; Balkose, D.; Ulku, S. Dye adsorption behavior of Luffa cylindrica fibers. J. Hazard. Mater. 2008, 153, 389–394. [Google Scholar] [CrossRef]
- Abdelwahab, O. Evaluation of the use of loofa activated carbons as potential adsorbents for aqueous solutions containing dye. Desalination 2008, 222, 357–367. [Google Scholar] [CrossRef]
- Ng, H.W.; Lee, L.Y.; Chan, W.L.; Gan, S.; Chemmangattuvalappil, N. Luffa acutangula peel as an effective natural biosorbent for malachite green removal in aqueous media: Equilibrium, kinetic and thermodynamic investigations. Desalin. Water Treat. 2016, 57, 7302–7311. [Google Scholar] [CrossRef]















| Adsorbent | Dye | Qmax (mg·g−1) | Reference |
|---|---|---|---|
| PANI | Methyl orange | 154.56 | [58] |
| PANI-loofah cylindrica | Methyl orange | 40.2 | Present work |
| Crosslinked PANI | Methylene blue | 13.85 | [59] |
| Loofah cylindrica | 47.00 | [60] | |
| Loofah cylindrica | 1.5 | Present work | |
| PANI-loofah cylindrica | 34.8 | Present work | |
| Loofah sponge | Trypan blue | 114.94 | [42] |
| ZnO-modified loofah sponge | 129.87 | ||
| Loofah cylindrica | Reactive orange | 50.00 | [61] |
| Loofah cylindrica | Congo red | 17.39 | [16] |
| Loofah cylindrica | Malachite green | 29.39 | [39] |
| Loofah acutangula peel | 50 | [62] | |
| Loofah aegyptica peel | 166.67 | [40] | |
| NaOH-treated loofah aegyptica peel | 161.29 |
Publisher’s Note: MDPI stays neutral with regard to jurisdictional claims in published maps and institutional affiliations. |
© 2022 by the authors. Licensee MDPI, Basel, Switzerland. This article is an open access article distributed under the terms and conditions of the Creative Commons Attribution (CC BY) license (https://creativecommons.org/licenses/by/4.0/).
Share and Cite
Galloni, M.G.; Bortolotto, V.; Falletta, E.; Bianchi, C.L. pH-Driven Selective Adsorption of Multi-Dyes Solutions by Loofah Sponge and Polyaniline-Modified Loofah Sponge. Polymers 2022, 14, 4897. https://doi.org/10.3390/polym14224897
Galloni MG, Bortolotto V, Falletta E, Bianchi CL. pH-Driven Selective Adsorption of Multi-Dyes Solutions by Loofah Sponge and Polyaniline-Modified Loofah Sponge. Polymers. 2022; 14(22):4897. https://doi.org/10.3390/polym14224897
Chicago/Turabian StyleGalloni, Melissa G., Veronica Bortolotto, Ermelinda Falletta, and Claudia L. Bianchi. 2022. "pH-Driven Selective Adsorption of Multi-Dyes Solutions by Loofah Sponge and Polyaniline-Modified Loofah Sponge" Polymers 14, no. 22: 4897. https://doi.org/10.3390/polym14224897
APA StyleGalloni, M. G., Bortolotto, V., Falletta, E., & Bianchi, C. L. (2022). pH-Driven Selective Adsorption of Multi-Dyes Solutions by Loofah Sponge and Polyaniline-Modified Loofah Sponge. Polymers, 14(22), 4897. https://doi.org/10.3390/polym14224897

