A Metal Coordination-Based Supramolecular Elastomer with Shape Memory-Assisted Self-Healing Effect
Abstract
1. Introduction
2. Materials and Methods
2.1. Materials
2.2. Preparation of Polybutadiene-Polystyrene-Vinylpyridine Elastomer
2.3. Characterization
3. Results and Discussion
3.1. Molecular Structure of the Composite
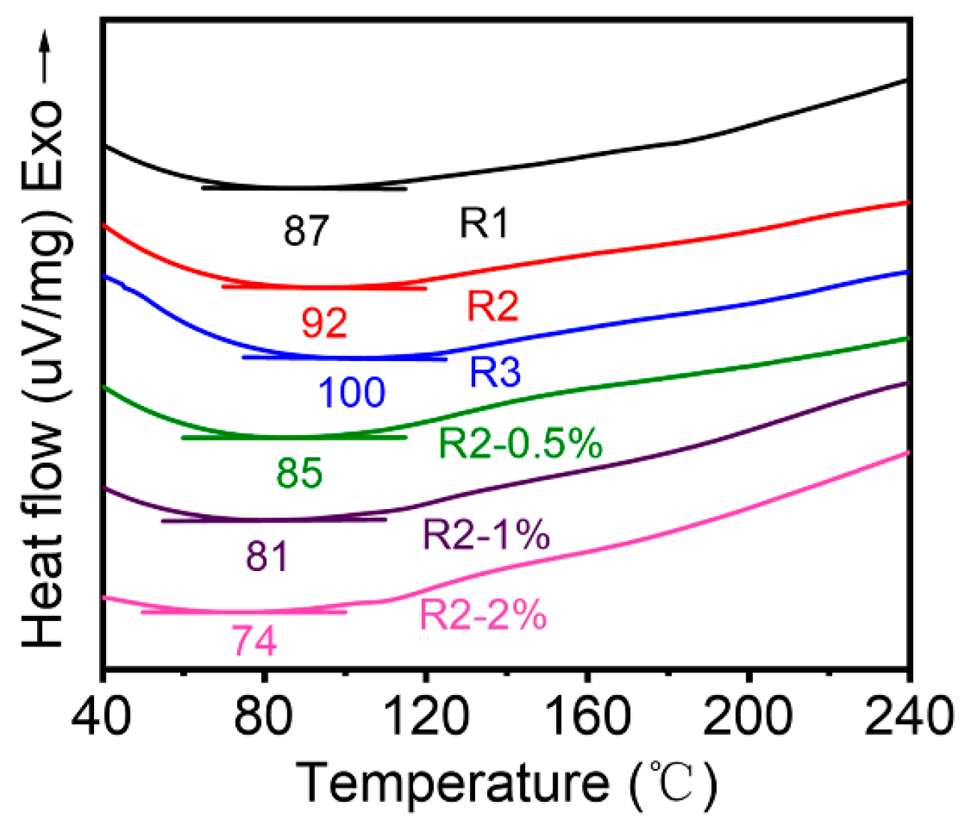
3.2. Thermodynamic Property
3.3. Mechanical Property
3.4. Self-Healing Ability
4. Conclusions
Supplementary Materials
Author Contributions
Funding
Institutional Review Board Statement
Informed Consent Statement
Data Availability Statement
Conflicts of Interest
References
- Idumah, C.I. Novel trends in self-healable polymer nanocomposites. J. Thermoplast. Compos. 2019, 34, 834–858. [Google Scholar] [CrossRef]
- Li, C.H.; Zuo, J.L. Self-Healing Polymers Based on Coordination Bonds. Adv. Mater. 2020, 32, e1903762. [Google Scholar] [CrossRef] [PubMed]
- Yang, J.C.; Mun, J.; Kwon, S.Y.; Park, S.; Bao, Z.; Park, S. Electronic Skin: Recent Progress and Future Prospects for Skin-Attachable Devices for Health Monitoring, Robotics, and Prosthetics. Adv. Mater. 2019, 31, e1904765. [Google Scholar] [CrossRef]
- Ji, X.; Ahmed, M.; Long, L.; Khashab, N.M.; Huang, F.; Sessler, J.L. Adhesive Supramolecular Polymeric Materials Constructed from Macrocycle-based Host-Guest Interactions. Chem. Soc. Rev. 2019, 48, 2682–2697. [Google Scholar] [CrossRef] [PubMed]
- Xia, D.; Wang, P.; Ji, X.; Khashab, N.M.; Sessler, J.L.; Huang, F. Functional Supramolecular Polymeric Networks: The Marriage of Covalent Polymers and Macrocycle-Based Host-Guest Interactions. Chem. Rev. 2020, 120, 6070–6123. [Google Scholar] [CrossRef] [PubMed]
- Yang, Y.; Urban, M.W. Self-Healing Polymeric Materials. Chem. Soc. Rev. 2013, 42, 7446–7467. [Google Scholar] [CrossRef]
- Wang, S.; Urban, M.W. Self-Healing Polymers. Nat. Rev. Mater. 2020, 5, 562–583. [Google Scholar] [CrossRef]
- Basak, S.; Bandyopadhyay, A. Tethering Smartness to the Metal Containing Polymers-Recent Trends in the Stimuli-Responsive Metal Containing Polymers. J. Organomet. Chem. 2021, 956, 122129–122145. [Google Scholar]
- Sandmann, B.; Bode, S.; Hager, M.D.; Schubert, U.S. Metallopolymers as an Emerging Class of Self-Healing Materials. In Advances in Polymer Science; Springer: Cham, Switzerland, 2013; pp. 239–257. [Google Scholar]
- Liu, J.; Liu, J.; Wang, S.; Huang, J.; Wu, S.; Tang, Z.; Guo, B.; Zhang, L. An Advanced Elastomer with an Unprecedented Combination of Excellent Mechanical Properties and High Self-Healing Capability. J. Mater. Chem. A 2017, 5, 25660–25671. [Google Scholar]
- Zhao, Z.; Zhuo, S.; Fang, R.; Zhang, L.; Zhou, X.; Xu, Y.; Zhang, J.; Dong, Z.; Jiang, L.; Liu, M. Dual-Programmable Shape-Morphing and Self-Healing Organohydrogels through Orthogonal Supramolecular Heteronetworks. Adv. Mater. 2018, 30, e1804435. [Google Scholar]
- Li, C.H.; Wang, C.; Keplinger, C.; Zuo, J.L.; Jin, L.; Sun, Y.; Zheng, P.; Cao, Y.; Lissel, F.; Linder, C.; et al. A Highly Stretchable Autonomous Self-Healing Elastomer. Nat. Chem. 2016, 8, 618–624. [Google Scholar] [CrossRef] [PubMed]
- Wu, X.; Wang, J.; Huang, J.; Yang, S. Robust, Stretchable, and Self-Healable Supramolecular Elastomers Synergistically Cross-Linked by Hydrogen Bonds and Coordination Bonds. ACS Appl. Mater. Interfaces 2019, 11, 7387–7396. [Google Scholar] [CrossRef] [PubMed]
- Götz, S.; Zechel, S.; Hager, M.D.; Newkome, G.R.; Schubert, U.S. Versatile Applications of Metallopolymers. Prog. Polym. Sci. 2021, 119, 101428. [Google Scholar] [CrossRef]
- Gohy, J.-F.; Lohmeijer, B.G.; Schubert, U.S. Metallo-Supramolecular Block Copolymer Micelles †. Macromolecules 2002, 35, 4560–4563. [Google Scholar] [CrossRef]
- Winter, A.; Schubert, U.S. Synthesis and Characterization of Metallo-Supramolecular Polymers. Chem. Soc. Rev. 2016, 45, 5311–5357. [Google Scholar] [CrossRef]
- Zhou, J.; Whittell, G.R.; Manners, I. Metalloblock Copolymers: New Functional Nanomaterials. Macromolecules 2014, 47, 3529–3543. [Google Scholar] [CrossRef]
- Kausar, A. Advances in Condensation Polymer Containing Zero-Dimensional Nanocarbon Reinforcement-Fullerene, Carbon Nano-Onion, and Nanodiamond. Polym.-Plast. Technol. Mat. 2020, 60, 695–713. [Google Scholar] [CrossRef]
- Mykhailiv, O.; Zubyk, H.; Plonska-Brzezinska, M.E. Carbon Nano-Onions: Unique Carbon Nanostructures with Fascinating Properties and Their Potential Applications. Inorg. Chim. Acta 2017, 468, 49–66. [Google Scholar] [CrossRef]
- Plonska-Brzezinska, M.E. Carbon Nano-Onions: A Review of Recent Progress in Synthesis and Applications. ChemNanoMat 2019, 5, 568–580. [Google Scholar] [CrossRef]
- Kuznetsov, O.V.; Pulikkathara, M.X.; Lobo, R.F.M.; Khabashesku, V.N. Solubilization of Carbon Nanoparticles, Nanotubes, Nanoonions, and Nanodiamonds through Covalent Functionalization with Sucrose. Russ. Chem. Bull. Int. Ed. 2010, 59, 1495–1505. [Google Scholar] [CrossRef]
- Liu, L.; Lu, Y.; Pu, Y.; Li, N.; Hu, Z.; Chen, S. Highly Sulfonated Carbon Nano-Onions as an Excellent Nanofiller for the Fabrication of Composite Proton Exchange Membranes with Enhanced Water Retention and Durability. J. Membr. Sci. 2021, 640, 119823. [Google Scholar] [CrossRef]
- Luszczyn, J.; Plonska-Brzezinska, M.E.; Palkar, A.; Dubis, A.T.; Simionescu, A.; Simionescu, D.T.; Kalska-Szostko, B.; Winkler, K.; Echegoyen, L. Small Noncytotoxic Carbon Nano-Fnions: First Covalent Functionalization with Biomolecules. Chemistry 2010, 16, 4870–4880. [Google Scholar] [CrossRef] [PubMed]
- Borgohain, R.; Li, J.; Selegue, J.P.; Cheng, Y.T. Electrochemical Study of Functionalized Carbon Nano-Onions for High-Performance Supercapacitor Electrodes. J. Phys. Chem. C 2012, 116, 15068–15075. [Google Scholar]
- Dhand, V.; Yadav, M.; Kim, S.H.; Rhee, K.Y. A comprehensive review on the prospects of multi-functional carbon nano onions as an effective, high- performance energy storage material. Carbon 2021, 175, 534–575. [Google Scholar] [CrossRef]
- Gu, W.; Peters, N.; Yushin, G. Functionalized Carbon Onions, Detonation Nanodiamond and Mesoporous Carbon as Cathodes in Li-ion Electrochemical Energy Storage Devices. Carbon 2013, 53, 292–301. [Google Scholar] [CrossRef]
- Zuaznabar-Gardona, J.C.; Fragoso, A. Electrochemistry of Redox Probes at Thin Films of Carbon Nano-Onions Produced by Thermal Annealing of Nanodiamonds. Electrochim. Acta 2020, 353, 136495. [Google Scholar]
- Zhu, X.; Zhang, W.; Lu, G.; Zhao, H.; Wang, L. Ultrahigh Mechanical Strength and Robust Room-Temperature Self-Healing Properties of a Polyurethane-Graphene Oxide Network Resulting from Multiple Dynamic Bonds. ACS Nano 2022, 16, 16724–16735. [Google Scholar]
- Sreeramoju, M.K.; Selegue, J.P.; Podila, R.; Rao, A.M. Surface Functional Group Investigation of Oxidized, Nanodiamond-Derived Carbon Nano-Onions. Mater. Today Commun. 2021, 26, 101966. [Google Scholar] [CrossRef]
- Wu, K.H.; Wang, Y.R.; Hwu, W.H. FTIR and TGA Studies of Poly(4-vinylpyridine-co-divinylbenzene)-Cu (II) Complex. Polym. Degrad. Stabil. 2003, 79, 195–200. [Google Scholar] [CrossRef]
- Papageorgiou, S.K.; Kouvelos, E.P.; Favvas, E.P.; Sapalidis, A.A.; Romanos, G.E.; Katsaros, F.K. Metal-Carboxylate Interactions in Metal-Alginate Complexes Studied with FTIR Spectroscopy. Carbohydr. Res. 2010, 345, 469–473. [Google Scholar] [CrossRef]
- Liu, S.-F.; Hou, Z.-W.; Lin, L.; Li, F.; Zhao, Y.; Li, X.-Z.; Zhang, H.; Fang, H.-H.; Li, Z.; Sun, H.-B. 3D Nanoprinting of Semiconductor Quantum Dots by Photoexcitation-induced Chemical Bonding. Science 2022, 377, 1112–1116. [Google Scholar] [CrossRef] [PubMed]
- Krishnakumar, B.; Sanka, R.V.S.P.; Binder, W.H.; Park, C.; Jung, J.; Parthasarthy, V.; Rana, S.; Yun, G.J. Catalyst Free Self-Healable Vitrimer/Graphene Oxide Nanocomposites. Compos. Part B 2020, 184, 107647. [Google Scholar]
- Olowojoba, G.B.; Kopsidas, S.; Eslava, S.; Gutierrez, E.S.; Kinloch, A.J.; Mattevi, C.; Rocha, V.G.; Taylor, A.C. A Facile Way to Produce Epoxy Nanocomposites Having Excellent Thermal Conductivity with Low Contents of Reduced Graphene Oxide. J. Mater. Sci. 2017, 52, 7323–7344. [Google Scholar] [CrossRef] [PubMed]
- Ouyang, H.; Fang, C.; Xu, Z.; Li, L.; Xiao, G. Coordinated Single-Molecule Micelles: Self-Template Approach for Preparing Mesoporous Doped Carbons. Nanoscale 2022, 14, 11298–11304. [Google Scholar] [CrossRef] [PubMed]
- Valkama, S.; Lehtonen, O.; Lappalainen, K.; Kosonen, H.; Castro, P.; Repo, T.; Torkkeli, M.; Serimaa, R.; Brinke, G.t.; Leskelä, M.; et al. Multicomb Polymeric Supramolecules and Their Self-Organization: Combination of Coordination and Ionic Interactions. Macromol. Rapid Commun. 2003, 24, 556–560. [Google Scholar] [CrossRef]
- Rodgers, M.T.; Stanley, J.R.; Amunugama, R. Periodic Trends in the Binding of Metal Ions to Pyridine Studied by Threshold Collision-Induced Dissociation and Density Functional Theory. J. Am. Chem. Soc. 2000, 122, 10969–10978. [Google Scholar] [CrossRef]
- Kliber, M.; Broda, M.A.; Nackiewicz, J. Interactions of zinc octacarboxyphthalocyanine with selected amino acids and with albumin. Spectrochim. Acta A Mol. Biomol. Spectrosc. 2016, 155, 54–60. [Google Scholar] [CrossRef]
- Behera, P.K.; Raut, S.K.; Mondal, P.; Sarkar, S.; Singha, N.K. Self-Healable Polyurethane Elastomer Based on Dual Dynamic Covalent Chemistry Using Diels–Alder “Click” and Disulfide Metathesis Reactions. ACS Appl. Polym. Mater. 2021, 3, 847–856. [Google Scholar] [CrossRef]
- Li, X.; Yu, R.; He, Y.; Zhang, Y.; Yang, X.; Zhao, X.; Huang, W. Self-Healing Polyurethane Elastomers Based on a Disulfide Bond by Digital Light Processing 3D Printing. ACS Macro Lett. 2019, 8, 1511–1516. [Google Scholar] [CrossRef]
- Nurhamiyah, Y.; Amir, A.; Finnegan, M.; Themistou, E.; Edirisinghe, M.; Chen, B. Wholly Biobased, Highly Stretchable, Hydrophobic, and Self-healing Thermoplastic Elastomer. ACS Appl. Mater. Interfaces 2021, 13, 6720–6730. [Google Scholar] [CrossRef]
- Shi, J.; Zhao, N.; Yan, D.; Song, J.; Fu, W.; Li, Z. Design of a Mechanically Strong and Highly Stretchable Thermoplastic Silicone Elastomer based on Coulombic Interactions. J. Mater. Chem. A 2020, 8, 5943–5951. [Google Scholar] [CrossRef]
- Wang, Q.; He, Y.; Li, Q.; Wu, C. SBS Thermoplastic Elastomer Based on Dynamic Metal-Ligand Bond: Structure, Mechanical Properties, and Shape Memory Behavior. Macromol. Mater. Eng. 2021, 306, 556–560. [Google Scholar] [CrossRef]
- Wu, Y.; Fei, M.; Chen, T.; Li, C.; Fu, T.; Qiu, R.; Liu, W. H-Bonds and Metal-Ligand Coordination-enabled Manufacture of Palm Oil-based Thermoplastic Elastomers by Photocuring 3D Printing. Addit. Manuf. 2021, 47, 102268. [Google Scholar] [CrossRef]
- Zhang, Y.; Yu, Y.; Zhao, X.; Yang, X.; Yu, R.; Zhang, Y.; Huang, W. A High Strength but Fast Fracture-Self-Healing Thermoplastic Elastomer. Macromol. Rapid Commun. 2021, 42, e2100135. [Google Scholar] [PubMed]











| Samples | PB-COOH | PS-b-P4VP | Zn(AC)2 | Zn2+:COO−:VP | mO-CNOs | mO-CNOs/mtotal |
|---|---|---|---|---|---|---|
| R1 | 5 g | 0.46 g | 0.24 g | 1:2:2 | - | - |
| R2 | 5 g | 0.92 g | 0.24 g | 1:2:4 | - | - |
| R3 | 5 g | 1.84 g | 0.24 g | 1:2:8 | - | - |
| R2-0.5% | 5 g | 0.92 g | 0.24 g | 1:2:4 | 30.8 mg | 0.5% |
| R2-1% | 5 g | 0.92 g | 0.24 g | 1:2:4 | 61.6 mg | 1% |
| R2-2% | 5 g | 0.92 g | 0.24 g | 1:2:4 | 123.2 mg | 2% |
| Samples | R1 | R2 | R3 | R2-0.5% | R2-1% | R2-2% |
|---|---|---|---|---|---|---|
| Tg | 87 °C | 92 °C | 100 °C | 85 °C | 81 °C | 74 °C |
Publisher’s Note: MDPI stays neutral with regard to jurisdictional claims in published maps and institutional affiliations. |
© 2022 by the authors. Licensee MDPI, Basel, Switzerland. This article is an open access article distributed under the terms and conditions of the Creative Commons Attribution (CC BY) license (https://creativecommons.org/licenses/by/4.0/).
Share and Cite
Xie, F.; Ping, Z.; Xu, W.; Zhang, F.; Dong, Y.; Li, L.; Zhang, C.; Gong, X. A Metal Coordination-Based Supramolecular Elastomer with Shape Memory-Assisted Self-Healing Effect. Polymers 2022, 14, 4879. https://doi.org/10.3390/polym14224879
Xie F, Ping Z, Xu W, Zhang F, Dong Y, Li L, Zhang C, Gong X. A Metal Coordination-Based Supramolecular Elastomer with Shape Memory-Assisted Self-Healing Effect. Polymers. 2022; 14(22):4879. https://doi.org/10.3390/polym14224879
Chicago/Turabian StyleXie, Fang, Zhongxin Ping, Wanting Xu, Fenghua Zhang, Yuzhen Dong, Lianjie Li, Chengsen Zhang, and Xiaobo Gong. 2022. "A Metal Coordination-Based Supramolecular Elastomer with Shape Memory-Assisted Self-Healing Effect" Polymers 14, no. 22: 4879. https://doi.org/10.3390/polym14224879
APA StyleXie, F., Ping, Z., Xu, W., Zhang, F., Dong, Y., Li, L., Zhang, C., & Gong, X. (2022). A Metal Coordination-Based Supramolecular Elastomer with Shape Memory-Assisted Self-Healing Effect. Polymers, 14(22), 4879. https://doi.org/10.3390/polym14224879

