Sign in to use this feature.

Years

Between: -

Subjects

remove_circle_outline
remove_circle_outline
remove_circle_outline
remove_circle_outline
remove_circle_outline

Journals

Article Types

Countries / Regions

Search Results (17)

Search Parameters:
Keywords = oxidized carbon nano-onions

Order results
Result details
Results per page
Select all
Export citation of selected articles as:
29 pages, 3201 KB  
Review
Screen Printing for Energy Storage and Functional Electronics: A Review
by Juan C. Rubio and Martin Bolduc
Electron. Mater. 2025, 6(2), 7; https://doi.org/10.3390/electronicmat6020007 - 30 May 2025
Cited by 7 | Viewed by 4960
Abstract
Printed electronics employ established printing methods to create low-cost, mechanically flexible devices including batteries, supercapacitors, sensors, antennas and RFID tags on plastic, paper and textile substrates. This review focuses on the specific contribution of screen printing to that landscape, examining how ink viscosity, [...] Read more.
Printed electronics employ established printing methods to create low-cost, mechanically flexible devices including batteries, supercapacitors, sensors, antennas and RFID tags on plastic, paper and textile substrates. This review focuses on the specific contribution of screen printing to that landscape, examining how ink viscosity, mesh selection and squeegee dynamics govern film uniformity, pattern resolution and ultimately device performance. Recent progress in advanced ink systems is surveyed, highlighting carbon allotropes (graphene, carbon nano-onions, carbon nanotubes, graphite), silver and copper nanostructures, MXene and functional oxides that collectively enhance mechanical robustness, electrical conductivity and radio-frequency behavior. Parallel improvements in substrate engineering such as polyimide, PET, TPU, cellulose and elastomers demonstrate the technique’s capacity to accommodate complex geometries for wearable, medical and industrial applications while supporting environmentally responsible material choices such as water-borne binders and bio-based solvents. By mapping two decades of developments across energy-storage layers and functional electronics, the article identifies the key process elements, recurring challenges and emerging sustainable practices that will guide future optimization of screen-printing materials and protocols for high-performance, customizable and eco-friendly flexible devices. Full article
Show Figures

Figure 1

20 pages, 7568 KB  
Article
Carbon Nano-Onions–Polyvinyl Alcohol Nanocomposite for Resistive Monitoring of Relative Humidity
by Bogdan-Catalin Serban, Niculae Dumbravescu, Octavian Buiu, Marius Bumbac, Carmen Dumbravescu, Mihai Brezeanu, Cristina Pachiu, Cristina-Mihaela Nicolescu, Cosmin Romanitan and Oana Brincoveanu
Sensors 2025, 25(10), 3047; https://doi.org/10.3390/s25103047 - 12 May 2025
Cited by 4 | Viewed by 1310
Abstract
This paper reports several preliminary investigations concerning the relative humidity (RH) detection response of a chemiresistive sensor that uses a novel sensing layer based on pristine carbon nano-onions (CNOs) and polyvinyl alcohol (PVA) at a 1/1 and 2/1 w/w ratio. The [...] Read more.
This paper reports several preliminary investigations concerning the relative humidity (RH) detection response of a chemiresistive sensor that uses a novel sensing layer based on pristine carbon nano-onions (CNOs) and polyvinyl alcohol (PVA) at a 1/1 and 2/1 w/w ratio. The sensing device, including a Si/SiO2 substrate and gold electrodes, is obtained by depositing the CNOs–PVA aqueous suspension on the sensing structure by drop casting. The composition and morphology of the sensing film are explored by means of scanning electron microscopy, Raman spectroscopy, atomic force microscopy, and X-ray diffraction. The manufactured sensor’s room temperature RH detection performance is examined by applying a continuous flow of the electric current between the interdigitated electrodes and measuring the voltage as the RH varies from 5% to 95%. For RH below 82% (sensing layer based on CNOs–PVA at 1/1 w/w ratio) or below 50.5% (sensing layer based on CNOs–PVA at 2/1 w/w ratio), the resistance varies linearly with RH, with a moderate slope. The newly developed sensor, using CNOs–PVA at a 1:1 ratio (w/w), responded as well as or better than the reference sensor. At the same time, the recorded recovery time was about 30 s, which is half the recovery time of the reference sensor. Additionally, the changes in resistance (ΔR/ΔRH) for different humidity levels showed that the CNOs–PVA layer at 1:1 was more sensitive at humidity levels above 80%. The main RH sensing mechanisms considered and discussed are the decrease in the hole concentration in the CNOs during the interaction with an electron donor molecule, such as water, and the swelling of the hydrophilic PVA. The experimental RH detection data are analyzed and compared with the RH sensing results reported in previously published work on RH detectors employing sensing layers based on oxidized carbon nanohorns–polyvinylpirrolidone (PVP), oxidized carbon nanohorns–PVA and CNOs–polyvinylpyrrolidone. Full article
Show Figures

Figure 1

17 pages, 5669 KB  
Article
Stacking Fault Nucleation in Films of Vertically Oriented Multiwall Carbon Nanotubes by Pyrolysis of Ferrocene and Dimethyl Ferrocene at a Low Vapor Flow Rate
by Ayoub Taallah, Shanling Wang, Omololu Odunmbaku, Lin Zhang, Xilong Guo, Yixin Dai, Wenkang Li, Huanqing Ye, Hansong Wu, Jiaxin Song, Jian Guo, Jiqiu Wen, Yi He and Filippo S. Boi
C 2024, 10(4), 91; https://doi.org/10.3390/c10040091 - 12 Oct 2024
Viewed by 2220
Abstract
Recent observations of superconductivity in low-dimensional systems composed of twisted, untwisted, or rhombohedral graphene have attracted significant attention. One-dimensional moiré superlattices and flat bands have interestingly been identified in collapsed chiral carbon nanotubes (CNTs), opening up new avenues for the tunability of the [...] Read more.
Recent observations of superconductivity in low-dimensional systems composed of twisted, untwisted, or rhombohedral graphene have attracted significant attention. One-dimensional moiré superlattices and flat bands have interestingly been identified in collapsed chiral carbon nanotubes (CNTs), opening up new avenues for the tunability of the electronic properties in these systems. The nucleation of hexagonal moiré superlattices and other types of stacking faults has also been demonstrated in partially collapsed and uncollapsed carbon nano-onions (CNOs). Here, we report a novel investigation on the dynamics of stacking fault nucleation within the multilayered lattices of micrometer-scale vertically oriented films of multiwall CNTs (MWCNTs), resulting from the pyrolysis of molecular precursors consisting of ferrocene or dimethyl ferrocene, at low vapor flow rates of ~5–20 mL/min. Interestingly, local nucleation of moiré-like superlattices (as stacking faults) was found when employing dimethyl ferrocene as the pyrolysis precursor. The morphological and structural properties of these systems were investigated with the aid of scanning and transmission electron microscopies, namely SEM, TEM, and HRTEM, as well as X-ray diffraction (XRD) and Raman point/mapping spectroscopy. Deconvolution analyses of the Raman spectra also demonstrated a local surface oxidation, possibly occurring on defect-rich interfaces, frequently identified within or in proximity of bamboo-like graphitic caps. By employing high-temperature Raman spectroscopy, we demonstrate a post-growth re-graphitization, which may also be visualized as an alternative way of depleting the oxygen content within the MWCNTs’ interfaces through recrystallization. Full article
(This article belongs to the Special Issue Characterization of Disorder in Carbons (2nd Edition))
Show Figures

Figure 1

13 pages, 8334 KB  
Article
A Metal Coordination-Based Supramolecular Elastomer with Shape Memory-Assisted Self-Healing Effect
by Fang Xie, Zhongxin Ping, Wanting Xu, Fenghua Zhang, Yuzhen Dong, Lianjie Li, Chengsen Zhang and Xiaobo Gong
Polymers 2022, 14(22), 4879; https://doi.org/10.3390/polym14224879 - 12 Nov 2022
Cited by 11 | Viewed by 2857
Abstract
Rubber materials are widely used in aerospace, automotive, smart devices and artificial skin. It is significant to address the aging susceptibility of conventional vulcanized rubber and to impart it rapid self-healing performance for destructive crack damage. Herein, a novel supramolecular rubber elastomer is [...] Read more.
Rubber materials are widely used in aerospace, automotive, smart devices and artificial skin. It is significant to address the aging susceptibility of conventional vulcanized rubber and to impart it rapid self-healing performance for destructive crack damage. Herein, a novel supramolecular rubber elastomer is prepared by introducing metal coordination between carboxyl-terminated polybutadiene and polystyrene-vinylpyridine copolymer. Based on the metal coordination interaction, the elastomer exhibits shape memory and self-healing properties. Moreover, a rapid closure-repair process of destructive cracks is achieved by presetting temporary shapes. This shape memory-assisted self-repair model is shown to be an effective means for rapid repair of severe cracks. An approach to enhance the mechanical and self-healing properties of elastomer was demonstrated by adding appropriate amounts of oxidized carbon nano-onions (O-CNO) into the system. The tensile strength of the elastomer with an O-CNOs content of 0.5 wt% was restored to 83 ± 10% of the original sample after being repaired at 85 °C for 6 h. This study confirms that metal coordination interaction is an effective method for designing shape memory self-healing rubber elastomer. The shape memory-assisted self-healing effect provides a reference for the rapid self-repairing of severe cracks. Full article
(This article belongs to the Special Issue Smart and Functional Polymer Composites)
Show Figures

Figure 1

16 pages, 6433 KB  
Article
Recycling Nanoarchitectonics of Graphene Oxide from Carbon Fiber Reinforced Polymer by the Electrochemical Method
by Li Ling, Chao Wu, Feng Xing, Shazim Ali Memon and Hongfang Sun
Nanomaterials 2022, 12(20), 3657; https://doi.org/10.3390/nano12203657 - 18 Oct 2022
Cited by 5 | Viewed by 2240
Abstract
In this paper, an electrochemical method was proposed to recycle nanoarchitectonics of graphene oxide (GO) from carbon fiber reinforced polymer (CFRP). In the recycling process, NaCl solution with varied concentrations (3% and 10%) and tap water were used as electrolyte, while the impressed [...] Read more.
In this paper, an electrochemical method was proposed to recycle nanoarchitectonics of graphene oxide (GO) from carbon fiber reinforced polymer (CFRP). In the recycling process, NaCl solution with varied concentrations (3% and 10%) and tap water were used as electrolyte, while the impressed current density varied from 2.67 A/m2 to 20.63 A/m2. The results indicated that in NaCl electrolyte, the obtained nanoarchitectonics of GO contained a large amount of nano-carbon onions (NCO) produced by etching CFRP, while high purity GO was produced when tap water was used as electrolyte. The higher current density improved the production efficiency and resulted in a finer GO particle size. The proposed recycling method of GO is economical and simple to operate. It also provides an alternate approach to handle discarded CFRP. Full article
Show Figures

Figure 1

28 pages, 18351 KB  
Article
Controlled Growth of Unusual Nanocarbon Allotropes by Molten Electrolysis of CO2
by Xinye Liu, Gad Licht, Xirui Wang and Stuart Licht
Catalysts 2022, 12(2), 125; https://doi.org/10.3390/catal12020125 - 21 Jan 2022
Cited by 32 | Viewed by 5029
Abstract
This study describes a world of new carbon “fullerene” allotropes that may be synthesized by molten carbonate electrolysis using greenhouse CO2 as the reactant. Beyond the world of conventional diamond, graphite and buckyballs, a vast array of unique nanocarbon structures exist. Until [...] Read more.
This study describes a world of new carbon “fullerene” allotropes that may be synthesized by molten carbonate electrolysis using greenhouse CO2 as the reactant. Beyond the world of conventional diamond, graphite and buckyballs, a vast array of unique nanocarbon structures exist. Until recently, CO2 was thought to be unreactive. Here, we show that CO2 can be transformed into distinct nano-bamboo, nano-pearl, nano-dragon, solid and hollow nano-onion, nano-tree, nano-rod, nano-belt and nano-flower morphologies of carbon. The capability to produce these allotropes at high purity by a straightforward electrolysis, analogous to aluminum production splitting of aluminum oxide, but instead nanocarbon production by splitting CO2, opens an array of inexpensive unique materials with exciting new high strength, electrical and thermal conductivity, flexibility, charge storage, lubricant and robustness properties. Commercial production technology of nanocarbons had been chemical vapor deposition, which is ten-fold more expensive, generally requires metallo-organics reactants and has a highly carbon-positive rather than carbon-negative footprint. Different nanocarbon structures were prepared electrochemically by variation of anode and cathode composition and architecture, electrolyte composition, pre-electrolysis processing and current ramping and current density. Individual allotrope structures and initial growth mechanisms are explored by SEM, TEM, HAADF EDX, XRD and Raman spectroscopy. Full article
(This article belongs to the Special Issue New Trends in Catalysis for Sustainable CO2 Conversion)
Show Figures

Figure 1

21 pages, 2945 KB  
Review
Hyaluronic Acid-Conjugated Carbon Nanomaterials for Enhanced Tumour Targeting Ability
by Oisin Kearns, Adalberto Camisasca and Silvia Giordani
Molecules 2022, 27(1), 48; https://doi.org/10.3390/molecules27010048 - 22 Dec 2021
Cited by 23 | Viewed by 6325
Abstract
Hyaluronic acid (HA) has been implemented for chemo and photothermal therapy to target tumour cells overexpressing the CD44+ receptor. HA-targeting hybrid systems allows carbon nanomaterial (CNM) carriers to efficiently deliver anticancer drugs, such as doxorubicin and gemcitabine, to the tumour sites. Carbon [...] Read more.
Hyaluronic acid (HA) has been implemented for chemo and photothermal therapy to target tumour cells overexpressing the CD44+ receptor. HA-targeting hybrid systems allows carbon nanomaterial (CNM) carriers to efficiently deliver anticancer drugs, such as doxorubicin and gemcitabine, to the tumour sites. Carbon nanotubes (CNTs), graphene, graphene oxide (GO), and graphene quantum dots (GQDs) are grouped for a detailed review of the novel nanocomposites for cancer therapy. Some CNMs proved to be more successful than others in terms of stability and effectiveness at removing relative tumour volume. While the literature has been focused primarily on the CNTs and GO, other CNMs such as carbon nano-onions (CNOs) proved quite promising for targeted drug delivery using HA. Near-infrared laser photoablation is also reviewed as a primary method of cancer therapy—it can be used alone or in conjunction with chemotherapy to achieve promising chemo-photothermal therapy protocols. This review aims to give a background into HA and why it is a successful cancer-targeting component of current CNM-based drug delivery systems. Full article
(This article belongs to the Special Issue The Application of Hyaluronic Acid in Drug Delivery)
Show Figures

Figure 1

13 pages, 3816 KB  
Article
In Vitro and In Vivo Biocompatibility of Boron/Nitrogen Co-Doped Carbon Nano-Onions
by Marta d’Amora, Adalberto Camisasca, Raul Arenal and Silvia Giordani
Nanomaterials 2021, 11(11), 3017; https://doi.org/10.3390/nano11113017 - 10 Nov 2021
Cited by 8 | Viewed by 3547
Abstract
Boron/nitrogen, co-doped, carbon nano-onions (BN-CNOs) have recently shown great promise as catalysts for the oxygen reduction reaction, due to the improved electronic properties imparted by the dopant atoms; however, the interactions of BN-CNOs with biological systems have not yet been explored. In this [...] Read more.
Boron/nitrogen, co-doped, carbon nano-onions (BN-CNOs) have recently shown great promise as catalysts for the oxygen reduction reaction, due to the improved electronic properties imparted by the dopant atoms; however, the interactions of BN-CNOs with biological systems have not yet been explored. In this study, we examined the toxicological profiles of BN-CNOs and oxidized BN-CNOs (oxi-BN-CNOs) in vitro in both healthy and cancer cell lines, as well as on the embryonic stages of zebrafish (Danio rerio) in vivo. The cell viabilities of both cell lines cells were not affected after treatment with different concentrations of both doped CNO derivatives. On the other hand, the analysis of BN-CNOs and oxidized BN-CNO interactions with zebrafish embryos did not report any kind of perturbations, in agreement with the in vitro results. Our results show that both doped CNO derivatives possess a high biocompatibility and biosafety in cells and more complex systems. Full article
(This article belongs to the Special Issue Advances in Toxicity of Nanoparticles)
Show Figures

Graphical abstract

19 pages, 4609 KB  
Article
Effect of Sn Doping on Pd Electro-Catalysts for Enhanced Electro-Catalytic Activity towards Methanol and Ethanol Electro-Oxidation in Direct Alcohol Fuel Cells
by Cyril Tlou Selepe, Sandile Surprise Gwebu, Thabo Matthews, Tebogo Abigail Mashola, Ludwe Luther Sikeyi, Memory Zikhali and Nobanathi Wendy Maxakato
Nanomaterials 2021, 11(10), 2725; https://doi.org/10.3390/nano11102725 - 15 Oct 2021
Cited by 28 | Viewed by 3862
Abstract
Carbon nano-onions (CNOs) were successfully synthesized by employing the flame pyrolysis (FP) method, using flaxseed oil as a carbon source. The alcohol reduction method was used to prepare Pd/CNOs and Pd-Sn/CNOs electro-catalysts, with ethylene glycol as the solvent and reduction agent. The metal-nanoparticles [...] Read more.
Carbon nano-onions (CNOs) were successfully synthesized by employing the flame pyrolysis (FP) method, using flaxseed oil as a carbon source. The alcohol reduction method was used to prepare Pd/CNOs and Pd-Sn/CNOs electro-catalysts, with ethylene glycol as the solvent and reduction agent. The metal-nanoparticles were supported on the CNO surface without adjusting the pH of the solution. High-resolution transmission electron microscopy (HRTEM) images reveal CNOs with concentric graphite ring morphology, and also PdSn nanoparticles supported on the CNOs. X-ray diffractometry (XRD) patterns confirm that CNOs are amorphous and show the characteristic diffraction peaks of Pd. There is a shifting of Pd diffraction peaks to lower angles upon the addition of Sn compared to Pd/CNOs. X-ray photoelectron spectroscopy (XPS) results also confirm the doping of Pd with Sn to form a PdSn alloy. Fourier transform infrared spectroscopy (FTIR) displays oxygen, hydroxyl, carboxyl, and carbonyl, which facilitates the dispersion of Pd and Sn nanoparticles. Raman spectrum displays two prominent peaks of carbonaceous materials which correspond to the D and G bands. The Pd-Sn/CNOs electro-catalyst demonstrates improved electro-oxidation of methanol and ethanol performance compared to Pd/CNOs and commercial Pd/C electro-catalysts under alkaline conditions. Full article
(This article belongs to the Special Issue Nanomaterials for Energy Conversion and Catalytic Applications)
Show Figures

Figure 1

23 pages, 38900 KB  
Article
Biocompatibility Study of Electrospun Nanocomposite Membranes Based on Chitosan/Polyvinyl Alcohol/Oxidized Carbon Nano-Onions
by Jorge Iván Castro, Manuel N. Chaur, Carlos Humberto Valencia Llano, Mayra Eliana Valencia Zapata, José Herminsul Mina Hernandez and Carlos David Grande-Tovar
Molecules 2021, 26(16), 4753; https://doi.org/10.3390/molecules26164753 - 6 Aug 2021
Cited by 19 | Viewed by 3150
Abstract
In recent decades, the number of patients requiring biocompatible and resistant implants that differ from conventional alternatives dramatically increased. Among the most promising are the nanocomposites of biopolymers and nanomaterials, which pretend to combine the biocompatibility of biopolymers with the resistance of nanomaterials. [...] Read more.
In recent decades, the number of patients requiring biocompatible and resistant implants that differ from conventional alternatives dramatically increased. Among the most promising are the nanocomposites of biopolymers and nanomaterials, which pretend to combine the biocompatibility of biopolymers with the resistance of nanomaterials. However, few studies have focused on the in vivo study of the biocompatibility of these materials. The electrospinning process is a technique that produces continuous fibers through the action of an electric field imposed on a polymer solution. However, to date, there are no reports of chitosan (CS) and polyvinyl alcohol (PVA) electrospinning with carbon nano-onions (CNO) for in vivo implantations, which could generate a resistant and biocompatible material. In this work, we describe the synthesis by the electrospinning method of four different nanofibrous membranes of chitosan (CS)/(PVA)/oxidized carbon nano-onions (ox-CNO) and the subdermal implantations after 90 days in Wistar rats. The results of the morphology studies demonstrated that the electrospun nanofibers were continuous with narrow diameters (between 102.1 nm ± 12.9 nm and 147.8 nm ± 29.4 nm). The CS amount added was critical for the diameters used and the successful electrospinning procedure, while the ox-CNO amount did not affect the process. The crystallinity index was increased with the ox-CNO introduction (from 0.85% to 12.5%), demonstrating the reinforcing effect of the nanomaterial. Thermal degradation analysis also exhibited reinforcement effects according to the DSC and TGA analysis, with the higher ox-CNO content. The biocompatibility of the nanofibers was comparable with the porcine collagen, as evidenced by the subdermal implantations in biological models. In summary, all the nanofibers were reabsorbed without a severe immune response, indicating the usefulness of the electrospun nanocomposites in biomedical applications. Full article
(This article belongs to the Special Issue Green Chemistry and Biomaterials)
Show Figures

Figure 1

32 pages, 38823 KB  
Review
Carbon-Based Nanomaterials for Delivery of Biologicals and Therapeutics: A Cutting-Edge Technology
by Alok Mahor, Prem Prakash Singh, Peeyush Bharadwaj, Neeraj Sharma, Surabhi Yadav, Jessica M. Rosenholm and Kuldeep K. Bansal
C 2021, 7(1), 19; https://doi.org/10.3390/c7010019 - 5 Feb 2021
Cited by 83 | Viewed by 18987
Abstract
After hydrogen and oxygen, carbon is the third most abundant component present in the cosmos with excellent characteristic features of binding to itself and nearly all elements. Since ancient times, carbon-based materials such as graphite, charcoal, and carbon black have been utilized for [...] Read more.
After hydrogen and oxygen, carbon is the third most abundant component present in the cosmos with excellent characteristic features of binding to itself and nearly all elements. Since ancient times, carbon-based materials such as graphite, charcoal, and carbon black have been utilized for writing and drawing materials. As these materials possess excellent chemical, mechanical, electrical, and thermal features, they have been readily engineered into carbon-based nanomaterials (CNMs) such as carbon nanotubes, graphene oxide, graphene quantum dots, nanodiamonds, fullerenes, carbon nano-onions, and so forth. These materials are now widely explored in biomedical applications. Thus, the emergence of CNMs has opened up a gateway for the detection, delivery, and treatment of a multitude of diseases. They are being actively researched for applications within tissue engineering, as vaccine vectors, and for the delivery of therapeutics to the immune system. This review focuses on the recent advances in various types of CNMs, their fabrication techniques, and their application in the delivery of therapeutics both in vitro and in vivo. The review also focuses on the toxicity concern of the CNMs and the possible remedies to tackle the toxicity issues. Concluding remarks emphasize all the CNMs discussed in the review over their possible biomedical applications, while the future perspectives section discusses the approaches to bring CNMs into the mainstream of clinical trials and their therapeutic applications. Full article
(This article belongs to the Special Issue Functional Carbons and Carbides: Bioapplications and Beyond)
Show Figures

Graphical abstract

12 pages, 3150 KB  
Article
Carbon Nano Onions–Polystyrene Composite for Sensing S-Containing Amino Acids
by Dipak Gorakh Babar, Nidhi Rani Gupta, Goutam Nandi and Sabyasachi Sarkar
J. Compos. Sci. 2020, 4(3), 90; https://doi.org/10.3390/jcs4030090 - 10 Jul 2020
Cited by 6 | Viewed by 3025
Abstract
A carbon nano-onions (CNOs)–polystyrene (PS) composite-based Pt electrode was used for the voltammetric detection of cysteine (Cys) and methionine (Met). The electrochemical behaviors of Cys and Met were analyzed with Cyclic Voltammetry (CV) and Differential Pulse (DP) Voltammetry at different pHs. The modified [...] Read more.
A carbon nano-onions (CNOs)–polystyrene (PS) composite-based Pt electrode was used for the voltammetric detection of cysteine (Cys) and methionine (Met). The electrochemical behaviors of Cys and Met were analyzed with Cyclic Voltammetry (CV) and Differential Pulse (DP) Voltammetry at different pHs. The modified CNOs–PS/Pt electrode shows an oxidation peak at +0.4V for Cys and +0.8V for Met, respectively. Admirable sensitivity, easy fabrication, and reproducible performance make the proposed electrode well functional and useful for the qualitative and quantitative detection of sulphur-containing amino acids. Full article
(This article belongs to the Special Issue Composite Nanostructures for Energy and Environment Applications)
Show Figures

Figure 1

18 pages, 5316 KB  
Article
Evaluation of the Covalent Functionalization of Carbon Nano-Onions with Pyrene Moieties for Supercapacitor Applications
by José D. Velásquez, Monika Tomczykowa, Marta E. Plonska-Brzezinska and Manuel N. Chaur
Materials 2020, 13(5), 1141; https://doi.org/10.3390/ma13051141 - 4 Mar 2020
Cited by 19 | Viewed by 3723
Abstract
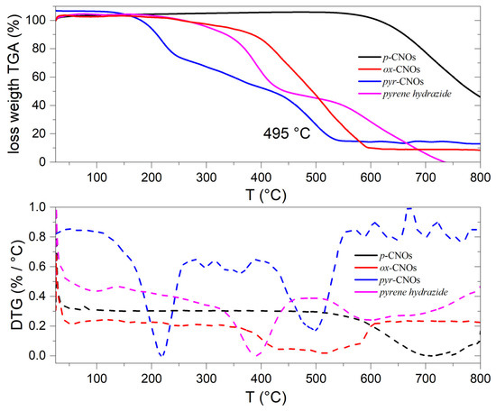
Herein, we report the surface functionalization of carbon nano-onions (CNOs) through an amidation reaction that occurs between the oxidized CNOs and 4-(pyren-4-yl)butanehydrazide. Raman and Fourier transform infrared spectroscopy methods were used to confirm the covalent functionalization. The percentage or number of groups in [...] Read more.
Herein, we report the surface functionalization of carbon nano-onions (CNOs) through an amidation reaction that occurs between the oxidized CNOs and 4-(pyren-4-yl)butanehydrazide. Raman and Fourier transform infrared spectroscopy methods were used to confirm the covalent functionalization. The percentage or number of groups in the outer shell was estimated with thermal gravimetric analysis. Finally, the potential applications of the functionalized CNOs as electrode materials in supercapacitors were evaluated by cyclic voltammetry and electrochemical impedance spectroscopy. Functionalization increased the specific capacitance by approximately 138% in comparison to that of the pristine CNOs, while acid-mediated oxidation reduced the specific capacitance of the nanomaterial by 24%. Full article
(This article belongs to the Section Carbon Materials)
Show Figures

Figure 1

16 pages, 4606 KB  
Article
Photocatalytic Performance of SiO2/CNOs/TiO2 to Accelerate the Degradation of Rhodamine B under Visible Light
by Weike Zhang, Yanrong Zhang, Kai Yang, Yanqing Yang, Jia Jia and Lijun Guo
Nanomaterials 2019, 9(12), 1671; https://doi.org/10.3390/nano9121671 - 22 Nov 2019
Cited by 34 | Viewed by 4453
Abstract
A silicon dioxide/carbon nano onions/titanium dioxide (SiO2/CNOs/TiO2) composite was synthesized by a simple sol-gel method and characterized by the methods of X-ray diffraction (XRD), scanning electronic microscope (SEM), X-ray photoelectron spectroscopy (XPS), Brunauer–Emmett–Teller (BET), Fourier transform infrared (FTIR), thermogravimetric [...] Read more.
A silicon dioxide/carbon nano onions/titanium dioxide (SiO2/CNOs/TiO2) composite was synthesized by a simple sol-gel method and characterized by the methods of X-ray diffraction (XRD), scanning electronic microscope (SEM), X-ray photoelectron spectroscopy (XPS), Brunauer–Emmett–Teller (BET), Fourier transform infrared (FTIR), thermogravimetric analysis (TG), differential scanning calorimeter (DSC) and UV-Vis diffuse reflectance spectra (UV-Vis DRS). In this work, the photocatalytic activity of the SiO2/CNOs/TiO2 photocatalyst was assessed by testing the degradation rate of Rhodamine B (RhB) under visible light. The results indicated that the samples exhibited the best photocatalytic activity when the composite consisted of 3% CNOs and the optimum dosage of SiO2/CNOs/TiO2(3%) was 1.5 g/L as evidenced by the highest RhB degradation rate (96%). The SiO2/CNOs/TiO2 composite greatly improved the quantum efficiency of TiO2. This work provides a new option for the modification of subsequent nanocomposite oxide nanoparticles. Full article
Show Figures

Figure 1

24 pages, 8916 KB  
Article
Preparation of Chitosan/Poly(Vinyl Alcohol) Nanocomposite Films Incorporated with Oxidized Carbon Nano-Onions (Multi-Layer Fullerenes) for Tissue-Engineering Applications
by Carlos David Grande Tovar, Jorge Iván Castro, Carlos Humberto Valencia, Diana Paola Navia Porras, José Herminsul Mina Hernandez, Mayra Eliana Valencia, José Daniel Velásquez and Manuel N. Chaur
Biomolecules 2019, 9(11), 684; https://doi.org/10.3390/biom9110684 - 1 Nov 2019
Cited by 36 | Viewed by 7061
Abstract
Recently, tissue engineering became a very important medical alternative in patients who need to regenerate damaged or lost tissues through the use of scaffolds that support cell adhesion and proliferation. Carbon nanomaterials (carbon nanotubes, fullerenes, multi-wall fullerenes, and graphene) became a very important [...] Read more.
Recently, tissue engineering became a very important medical alternative in patients who need to regenerate damaged or lost tissues through the use of scaffolds that support cell adhesion and proliferation. Carbon nanomaterials (carbon nanotubes, fullerenes, multi-wall fullerenes, and graphene) became a very important alternative to reinforce the mechanical, thermal, and antimicrobial properties of several biopolymers. In this work, five different formulations of chitosan/poly(vinyl alcohol)/oxidized carbon nano-onions (CS/PVA/ox-CNO) were used to prepare biodegradable scaffolds with potential biomedical applications. Film characterization consisted of Fourier-transform infrared (FTIR) spectroscopy, thermogravimetric analysis (TGA), differential scanning calorimetry (DSC), tension strength, Young’s modulus, X-ray diffraction spectroscopy (XRD), scanning electron microscopy (SEM), and energy-dispersive spectroscopy (EDS). The degradation in a simulated body fluid (FBS) demonstrated that all the formulations lost between 75% and 80% of their weight after 15 days of treatment, but the degradation decreased with the ox-CNO content. In vivo tests after 90 days of subdermal implantation of the nanocomposite films in Wistar rats’ tissue demonstrated good biocompatibility without allergenic reactions or pus formation. There was a good correlation between FBS hydrolytic degradation and degradation in vivo for all the samples, since the ox-CNO content increased the stability of the material. All these results indicate the potential of the CS/PVA/ox-CNO nanocomposite films in tissue engineering, especially for long-term applications. Full article
Show Figures

Figure 1

Back to TopTop