Recycled Multi-Material Packaging Reinforced with Flax Fibres: Thermal and Mechanical Behaviour
Abstract
1. Introduction
2. Materials and Methods
2.1. Raw Materials
2.2. Composite Processing
2.3. Mechanical Characterization of Composites
2.4. Thermal Characterization of Composites
2.5. Morphological Characterization
3. Results
3.1. Thermal Characterization of Composites
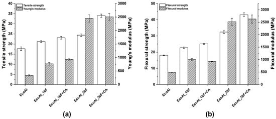
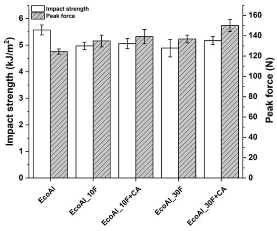
3.2. Mechanical and Dynamo-Mechanical Characterization of Composites
4. Conclusions
Author Contributions
Funding
Institutional Review Board Statement
Data Availability Statement
Acknowledgments
Conflicts of Interest
References
- Wohner, B.; Pauer, E.; Heinrich, V.; Tacker, M. Packaging-Related Food Losses and Waste: An Overview of Drivers and Issues. Sustainability 2019, 11, 264. [Google Scholar] [CrossRef]
- Stoica, M.; Marian Antohi, V.; Laura Zlati, M.; Stoica, D. The financial impact of replacing plastic packaging by biodegradable biopolymers—A smart solution for the food industry. J. Clean. Prod. 2020, 277, 124013. [Google Scholar] [CrossRef]
- Narancic, T.; Cerrone, F.; Beagan, N.; O’Connor, K.E. Recent Advances in Bioplastics: Application and Biodegradation. Polymers 2020, 12, 920. [Google Scholar] [CrossRef] [PubMed]
- Publications—European Bioplastics e.V. Available online: https://www.european-bioplastics.org/news/publications/ (accessed on 26 September 2022).
- Zhang, K.; Mohanty, A.K.; Misra, M. Fully biodegradable and biorenewable ternary blends from polylactide, poly(3-hydroxybutyrate-co-hydroxyvalerate) and poly(butylene succinate) with balanced properties. ACS Appl. Mater. Interfaces 2012, 4, 3091–3101. [Google Scholar] [CrossRef]
- Fredi, G.; Dorigato, A. Recycling of bioplastic waste: A review. Adv. Ind. Eng. Polym. Res. 2021, 4, 159–177. [Google Scholar] [CrossRef]
- Alaerts, L.; Augustinus, M.; Van Acker, K. Impact of Bio-Based Plastics on Current Recycling of Plastics. Sustainability 2018, 10, 1487. [Google Scholar] [CrossRef]
- Robertson, G.L. Recycling of Aseptic Beverage Cartons: A Review. Recycling 2021, 6, 20. [Google Scholar] [CrossRef]
- Lopes, C.M.A.; Do Carmo Gonçalves, M.; Felisberti, M.I. Blends of poly(ethylene terephthalate) and low density polyethylene containing aluminium: A material obtained from packaging recycling. J. Appl. Polym. Sci. 2007, 106, 2524–2535. [Google Scholar] [CrossRef]
- Lopes, C.M.A.; Felisberti, M.I. Composite of low-density polyethylene and aluminum obtained from the recycling of postconsumer aseptic packaging. J. Appl. Polym. Sci. 2006, 101, 3183–3191. [Google Scholar] [CrossRef]
- Lecce, R.; Cerutti, S. Method for Recycling Composite Material 2008. European Patent 212,341,8A1, 21 May 2008. [Google Scholar]
- Cravero, F.; Frache, A. Improving Fire Performances of PEAL: More Second-Life Options for Recycled Tetra Pak®. Polymers 2020, 12, 2357. [Google Scholar] [CrossRef]
- Hidalgo-Salazar, M.A.; Munõz, M.F.; Mina, J.H. Influence of Incorporation of Natural Fibers on the Physical, Mechanical, and Thermal Properties of Composites LDPE-Al Reinforced with Fique Fibers. Int. J. Polym. Sci. 2015, 2015, 386325. [Google Scholar] [CrossRef]
- Ayrilmis, N.; Kaymakci, A.; Akbulut, T.; Elmas, G.M. Mechanical performance of composites based on wastes of polyethylene aluminum and lignocellulosics. Compos. Part B Eng. 2013, 47, 150–154. [Google Scholar] [CrossRef]
- Sergi, C.; Tirillò, J.; Valente, T.; Sarasini, F. Effect of Basalt Fibres on Thermal and Mechanical Properties of Recycled Multi-Material Packaging. J. Compos. Sci. 2022, 6, 72. [Google Scholar] [CrossRef]
- Bourmaud, A.; Beaugrand, J.; Shah, D.U.; Placet, V.; Baley, C. Towards the design of high-performance plant fibre composites. Prog. Mater. Sci. 2018, 97, 347–408. [Google Scholar] [CrossRef]
- Blanchard, J.M.F.A.; Sobey, A.J. Comparative design of E-glass and flax structures based on reliability. Compos. Struct. 2019, 225, 111037. [Google Scholar] [CrossRef]
- Panzera, T.H.; Jeannin, T.; Gabrion, X.; Placet, V.; Remillat, C.; Farrow, I.; Scarpa, F. Static, fatigue and impact behaviour of an autoclaved flax fibre reinforced composite for aerospace engineering. Compos. Part B Eng. 2020, 197, 108049. [Google Scholar] [CrossRef]
- Goudenhooft, C.; Bourmaud, A.; Baley, C. Flax (Linum usitatissimum L.) fibers for composite reinforcement: Exploring the link between plant growth, cell walls development, and fiber properties. Front. Plant Sci. 2019, 10, 411. [Google Scholar] [CrossRef]
- Baley, C.; Bourmaud, A.; Davies, P. Eighty years of composites reinforced by flax fibres: A historical review. Compos. Part A Appl. Sci. Manuf. 2021, 144, 106333. [Google Scholar] [CrossRef]
- Baley, C.; Gomina, M.; Breard, J.; Bourmaud, A.; Davies, P. Variability of mechanical properties of flax fibres for composite reinforcement. A review. Ind. Crops Prod. 2020, 145, 111984. [Google Scholar] [CrossRef]
- Baley, C.; Gomina, M.; Breard, J.; Bourmaud, A.; Drapier, S.; Ferreira, M.; Le Duigou, A.; Liotier, P.J.; Ouagne, P.; Soulat, D.; et al. Specific features of flax fibres used to manufacture composite materials. Int. J. Mater. Form. 2019, 12, 1023–1052. [Google Scholar] [CrossRef]
- Georgiopoulou, I.; Pappa, G.D.; Vouyiouka, S.N.; Magoulas, K. Recycling of post-consumer multilayer Tetra Pak® packaging with the Selective Dissolution-Precipitation process. Resour. Conserv. Recycl. 2021, 165, 105268. [Google Scholar] [CrossRef]
- Van de Velde, K.; Baetens, E. Thermal and Mechanical Properties of Flax Fibres as Potential Composite Reinforcement. Macromol. Mater. Eng. 2001, 286, 342–349. [Google Scholar] [CrossRef]
- Mazian, B.; Bergeret, A.; Benezet, J.C.; Malhautier, L. Influence of field retting duration on the biochemical, microstructural, thermal and mechanical properties of hemp fibres harvested at the beginning of flowering. Ind. Crops Prod. 2018, 116, 170–181. [Google Scholar] [CrossRef]
- Seghini, M.C.; Touchard, F.; Sarasini, F.; Chocinski-Arnault, L.; Tirillò, J.; Bracciale, M.P.; Zvonek, M.; Cech, V. Effects of oxygen and tetravinylsilane plasma treatments on mechanical and interfacial properties of flax yarns in thermoset matrix composites. Cellulose 2019, 27, 511–530. [Google Scholar] [CrossRef]
- Poletto, M. Maleated soybean oil as coupling agent in recycled polypropylene/wood flour composites: Mechanical, thermal, and morphological properties. J. Thermoplast. Compos. Mater. 2019, 32, 1056–1067. [Google Scholar] [CrossRef]
- El-Sabbagh, A. Effect of coupling agent on natural fibre in natural fibre/polypropylene composites on mechanical and thermal behaviour. Compos. Part B Eng. 2014, 57, 126–135. [Google Scholar] [CrossRef]
- Li, D.; Zhou, L.; Wang, X.; He, L.; Yang, X. Effect of Crystallinity of Polyethylene with Different Densities on Breakdown Strength and Conductance Property. Matererials 2019, 12, 1746. [Google Scholar] [CrossRef]
- Puglia, D.; Santulli, C.; Sarasini, F.; Kenny, J.; Valente, T. Thermal and mechanical characterisation of Phormium tenax-reinforced polypropylene composites. J. Thermoplast. Compos. Mater. 2014, 27, 1493–1503. [Google Scholar] [CrossRef]
- Wu, X.; Chen, J.; Zeng, X. The application of DSC in identification of LDPE/LLDPE blends mulching film. Die Angew. Makromol. Chemie 1991, 189, 183–193. [Google Scholar] [CrossRef]
- Liu, X.; Wu, Q. PP/clay nanocomposites prepared by grafting-melt intercalation. Polymer 2001, 42, 10013–10019. [Google Scholar] [CrossRef]
- Barczewski, M.; Sałasińska, K.; Kloziński, A.; Skórczewska, K.; Szulc, J.; Piasecki, A. Application of the Basalt Powder as a Filler for Polypropylene Composites With Improved Thermo-Mechanical Stability and Reduced Flammability. Polym. Eng. Sci. 2019, 59, E71–E79. [Google Scholar] [CrossRef]
- Arbelaiz, A.; Fernández, B.; Ramos, J.A.; Mondragon, I. Thermal and crystallization studies of short flax fibre reinforced polypropylene matrix composites: Effect of treatments. Thermochim. Acta 2006, 440, 111–121. [Google Scholar] [CrossRef]
- Garkhail, S.; Wieland, B.; George, J.; Soykeabkaew, N.; Peijs, T. Transcrystallisation in PP/flax composites and its effect on interfacial and mechanical properties. J. Mater. Sci. 2009, 44, 510–519. [Google Scholar] [CrossRef]
- Hughes, M. Defects in natural fibres: Their origin, characteristics and implications for natural fibre-reinforced composites. J. Mater. Sci. 2011, 47, 599–609. [Google Scholar] [CrossRef]
- Xie, Y.; Hill, C.A.S.; Xiao, Z.; Militz, H.; Mai, C. Silane coupling agents used for natural fiber/polymer composites: A review. Compos. Part A Appl. Sci. Manuf. 2010, 41, 806–819. [Google Scholar] [CrossRef]
- Felix, J.M.; Gatenholm, P. The nature of adhesion in composites of modified cellulose fibers and polypropylene. J. Appl. Polym. Sci. 1991, 42, 609–620. [Google Scholar] [CrossRef]
- Matkó, S.; Anna, P.; Marosi, G.; Szép, A.; Keszei, S.; Czigány, T.; Pölöskei, K. Use of reactive surfactants in basalt fiber reinforced polypropylene composites. Macromol. Symp. 2003, 202, 255–268. [Google Scholar] [CrossRef]
- Sergi, C.; Tirillò, J.; Seghini, M.C.; Sarasini, F.; Fiore, V.; Scalici, T. Durability of basalt/hemp hybrid thermoplastic composites. Polymers 2019, 11, 603. [Google Scholar] [CrossRef]
- Mazur, K.; Jakubowska, P.; Romańska, P.; Kuciel, S. Green high density polyethylene (HDPE) reinforced with basalt fiber and agricultural fillers for technical applications. Compos. Part B Eng. 2020, 202, 108399. [Google Scholar] [CrossRef]
- Mu, B.; Tang, W.; Liu, T.; Hao, X.; Wang, Q.; Ou, R. Comparative study of high-density polyethylene-based biocomposites reinforced with various agricultural residue fibers. Ind. Crops Prod. 2021, 172, 114053. [Google Scholar] [CrossRef]
- Panthapulakkal, S.; Sain, M. Agro-residue reinforced high-density polyethylene composites: Fiber characterization and analysis of composite properties. Compos. Part A Appl. Sci. Manuf. 2007, 38, 1445–1454. [Google Scholar] [CrossRef]
- Merkel, K.; Rydarowski, H.; Kazimierczak, J.; Bloda, A. Processing and characterization of reinforced polyethylene composites made with lignocellulosic fibres isolated from waste plant biomass such as hemp. Compos. Part B Eng. 2014, 67, 138–144. [Google Scholar] [CrossRef]
- Barczewski, M.; Mysiukiewicz, O.; Kloziński, A. Complex modification effect of linseed cake as an agricultural waste filler used in high density polyethylene composites. Iran. Polym. J. (English Ed.) 2018, 27, 677–688. [Google Scholar] [CrossRef]
- Fr, W.; Janowski, G.; Fernandes, P.; Aldin Faroughi, S.; Ferrás, L.L.; Afonso, A.M. Influence of the Alkali Treatment of Flax and Hemp Fibers on the Properties of PHBV Based Biocomposites. Polymers 2021, 13, 1965. [Google Scholar]
- Bledzki, A.K.; Jaszkiewicz, A. Mechanical performance of biocomposites based on PLA and PHBV reinforced with natural fibres—A comparative study to PP. Compos. Sci. Technol. 2010, 70, 1687–1696. [Google Scholar] [CrossRef]
- Madathinal Kunjappan, A.; Reghunadhan, A.; Ramachandran, A.A.; Mathew, L.; Padmanabhan, M.; Laroze, D.; Thomas, S. Discussion on degree of entanglement, chain confinement, and reinforcement efficiency factor of PTT/PE blend nanocomposite embedded with MWCNTs. Polym. Adv. Technol. 2021, 32, 2916–2928. [Google Scholar] [CrossRef]
- Pothan, L.A.; Oommen, Z.; Thomas, S. Dynamic mechanical analysis of banana fiber reinforced polyester composites. Compos. Sci. Technol. 2003, 63, 283–293. [Google Scholar] [CrossRef]
- Pracella, M.; Haque, M.M.U.; Puglia, D. Morphology and properties tuning of PLA/cellulose nanocrystals bio-nanocomposites by means of reactive functionalization and blending with PVAc. Polymer 2014, 55, 3720–3728. [Google Scholar] [CrossRef]
- Hejna, A.; Barczewski, M.; Kosmela, P.; Mysiukiewicz, O.; Kuzmin, A. Coffee Silverskin as a Multifunctional Waste Filler for High-Density Polyethylene Green Composites. J. Compos. Sci. 2021, 5, 44. [Google Scholar] [CrossRef]
- Abdalla, M.; Dean, D.; Adibempe, D.; Nyairo, E.; Robinson, P.; Thompson, G. The effect of interfacial chemistry on molecular mobility and morphology of multiwalled carbon nanotubes epoxy nanocomposite. Polymer 2007, 48, 5662–5670. [Google Scholar] [CrossRef]









| Specimen ID | EcoAllene (wt.%) | Flax Fibres (wt.%) | CA (wt.%) |
|---|---|---|---|
| EcoAl_neat | 100 | - | - |
| EcoAl_10F | 90 | 10 | - |
| EcoAl_10F + CA | 85 | 10 | 5 |
| EcoAl_30F | 70 | 30 | - |
| EcoAl_30F + CA | 65 | 30 | 5 |
| Specimen ID | T5% (°C) | T10% (°C) | Tmax (°C) |
|---|---|---|---|
| EcoAl_neat | 438.1 ± 0.6 | 452.5 ± 1.1 | 484.6 ± 0.8 |
| EcoAl_10F | 319.5 ± 0.8 | 379.1 ± 0.7 | 482.3 ± 0.9 |
| EcoAl_10F + CA | 327.3 ± 0.7 | 398.5 ± 0.6 | 481.4 ± 0.7 |
| EcoAl_30F | 306.7 ± 0.8 | 326.1 ± 0.6 | 482.1 ± 0.7 |
| EcoAl_30F + CA | 310.8 ± 0.5 | 326.6 ± 0.7 | 483.2 ± 0.8 |
| Specimen ID | Tm1 (°C) | Tm2 (°C) | Tm3 (°C) | Tc1 (°C) | Tc2 (°C) | Tc3 (°C) |
|---|---|---|---|---|---|---|
| EcoAl_neat | 108.6 ± 0.2 | 128.0 ± 0.1 | 163.9 ± 0.1 | 112.8 ± 0.1 | 92.7 ± 0.4 | 76.6 ± 0.3 |
| EcoAl_10F | 107.6 ± 0.1 | 128.4 ± 0.5 | 163.8 ± 0.1 | 113.4 ± 0.5 | 93.5 ± 0.1 | 76.5 ± 0.1 |
| EcoAl_10F + CA | 109.3 ± 0.9 | 129.4 ± 1.3 | 164.4 ± 0.6 | 112.4 ± 0.8 | 93.3 ± 1.1 | 75.8 ± 0.6 |
| EcoAl_30F | 108.9 ± 0.1 | 129.0 ± 0.1 | 164.3 ± 0.1 | 112.1 ± 0.1 | 92.1 ± 0.1 | 75.0 ± 0.3 |
| EcoAl_30F + CA | 109.9 ± 0.3 | 130.4 ± 0.4 | 165.0 ± 0.1 | 117.7 ± 0.1 | 92.4 ± 0.1 | 75.2 ± 0.2 |
| Matrix Type | Fiber Type | Coupling Agent | Tensile Modulus (GPa) | Tensile Strength (MPa) | Flexural Strength (MPa) | Flexural Modulus (GPa) | Fiber Content (wt.%) | Reference |
|---|---|---|---|---|---|---|---|---|
| HDPE | Hemp | yes | 3.8 | 36.0 | - | - | 30 | [40] |
| HDPE | Flax | no | 4.6 | 21.6 | 43.6 | 5.1 | 40 | [41] |
| HDPE | Moso bamboo | yes | 4.7 | 29.5 | 52.5 | 5.3 | 60 | [42] |
| HDPE | Wheat straw | yes | 4.5 | 26.3 | 44.5 | 4.8 | 60 | [42] |
| HDPE | Rice straw | yes | 3.4 | 22.5 | 45.0 | 4.3 | 60 | [42] |
| HDPE | Rice husk | yes | 3.0 | 21.0 | 39.2 | 3.2 | 60 | [42] |
| HDPE | Sugarcane bagasse | yes | 3.4 | 23.5 | 48.0 | 4.1 | 60 | [42] |
| HDPE | Cotton stalk | yes | 3.6 | 26.5 | 48.1 | 4.3 | 60 | [42] |
| HDPE | Wood flour | yes | 2.5 | 18.6 | 37.1 | 2.7 | 65 | [43] |
| HDPE | Hemp pomace | no | 1.4 | 17.6 | - | - | 30 | [44] |
| HDPE | Hemp pomace | yes | 1.7 | 21.6 | - | - | 30 | [44] |
| HDPE | Hemp straw | no | 1.8 | 18.7 | - | - | 30 | [44] |
| HDPE | Hemp straw | yes | 2.2 | 24.7 | - | - | 30 | [44] |
| HDPE | Linseed cake | no | 0.7 | 17.5 | - | - | 20 | [45] |
| PHBV | Hemp | no | 3.8 | 37.6 | - | - | 15 | [46] |
| PHBV | Hemp | yes | 3.9 | 38.1 | - | - | 15 | [46] |
| PHBV | Flax | no | 3.5 | 36.3 | - | - | 15 | [46] |
| PHBV | Flax | yes | 3.9 | 36.9 | - | - | 15 | [46] |
| PP | Abaca | yes | 4.9 | 42.0 | - | - | 30 | [47] |
| PP | Jute | yes | 5.8 | 47.9 | - | - | 30 | [47] |
| PHBV/Ecoflex | Abaca | no | 4.4 | 28.0 | - | - | 30 | [47] |
| PHBV/Ecoflex | Jute | no | 7.0 | 35.2 | - | - | 30 | [47] |
| Specimen ID | (MPa) at −150 °C | (MPa) at 30 °C | C |
|---|---|---|---|
| EcoAl_neat | 6420.75 | 658.99 | - |
| EcoAl_10F | 6647.76 | 988.39 | 0.69 |
| EcoAl_10F + CA | 7448.36 | 1207.78 | 0.63 |
| EcoAl_30F | 10,353.66 | 2481.93 | 0.43 |
| EcoAl_30F + CA | 10,990.59 | 2981.77 | 0.38 |
Publisher’s Note: MDPI stays neutral with regard to jurisdictional claims in published maps and institutional affiliations. |
© 2022 by the authors. Licensee MDPI, Basel, Switzerland. This article is an open access article distributed under the terms and conditions of the Creative Commons Attribution (CC BY) license (https://creativecommons.org/licenses/by/4.0/).
Share and Cite
Bavasso, I.; Sergi, C.; Valente, T.; Tirillò, J.; Sarasini, F. Recycled Multi-Material Packaging Reinforced with Flax Fibres: Thermal and Mechanical Behaviour. Polymers 2022, 14, 4423. https://doi.org/10.3390/polym14204423
Bavasso I, Sergi C, Valente T, Tirillò J, Sarasini F. Recycled Multi-Material Packaging Reinforced with Flax Fibres: Thermal and Mechanical Behaviour. Polymers. 2022; 14(20):4423. https://doi.org/10.3390/polym14204423
Chicago/Turabian StyleBavasso, Irene, Claudia Sergi, Teodoro Valente, Jacopo Tirillò, and Fabrizio Sarasini. 2022. "Recycled Multi-Material Packaging Reinforced with Flax Fibres: Thermal and Mechanical Behaviour" Polymers 14, no. 20: 4423. https://doi.org/10.3390/polym14204423
APA StyleBavasso, I., Sergi, C., Valente, T., Tirillò, J., & Sarasini, F. (2022). Recycled Multi-Material Packaging Reinforced with Flax Fibres: Thermal and Mechanical Behaviour. Polymers, 14(20), 4423. https://doi.org/10.3390/polym14204423
