Thermal Degradation Behavior of Thiol-ene Composites Loaded with a Novel Silicone Flame Retardant
Abstract
1. Introduction
2. Materials and Methods
2.1. Materials
2.2. Synthesis of Silicone (PMDA)
2.3. Preparation of Thiol-ene Composites
2.4. Characterization and Measurement
3. Results and Discussion
3.1. Flame Retardancy
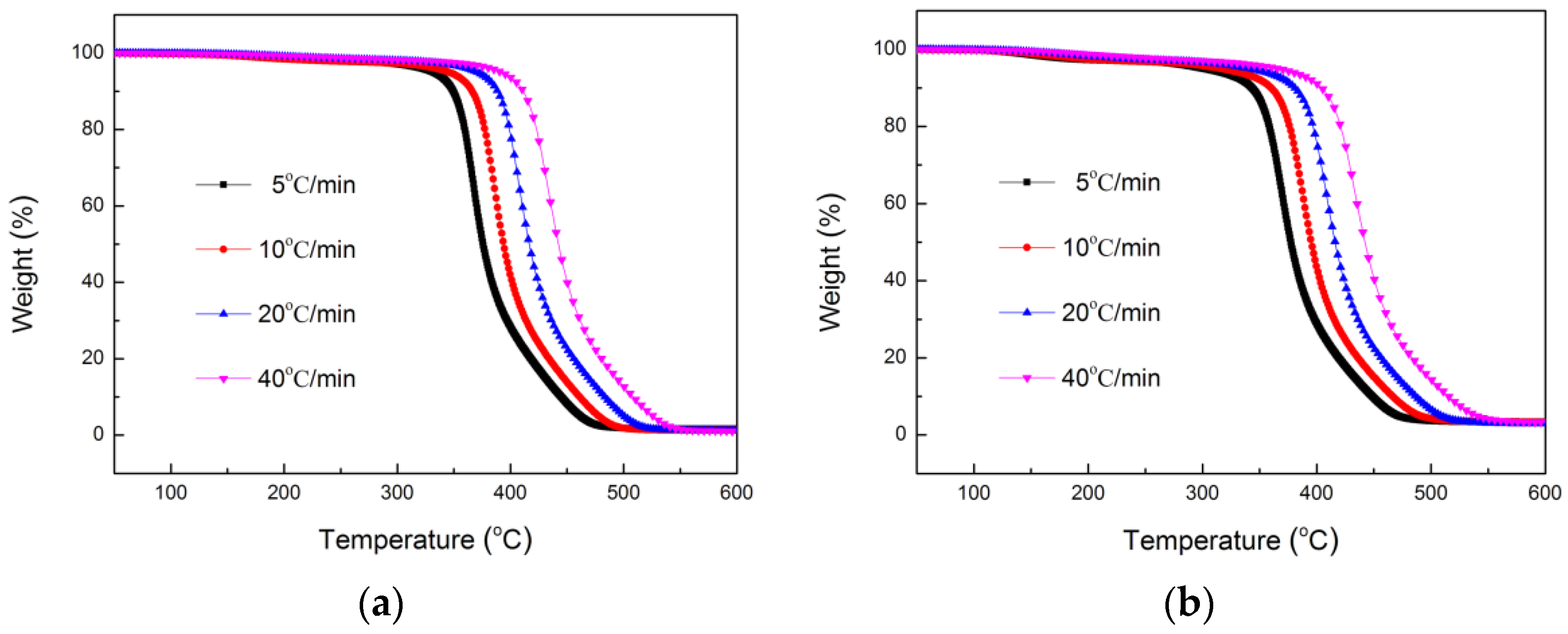
3.2. Thermal Stability
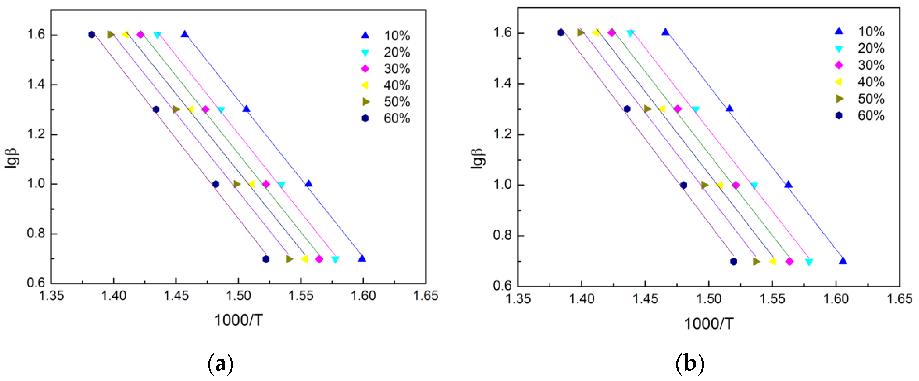
3.3. Thermal Degradation Kinetics
4. Conclusions
Author Contributions
Funding
Institutional Review Board Statement
Informed Consent Statement
Data Availability Statement
Acknowledgments
Conflicts of Interest
References
- Elsheikh, A.; Shanmugan, S.; Muthuramalingam, T.; El-Kassas, A.; Ramesh, B. Recent progresses in wood-plastic composites: Pre-processing treatments, manufacturing techniques, recyclability and eco-friendly assessment. Clean. Eng. Technol. 2022, 8, 100450. [Google Scholar] [CrossRef]
- Kamal, A.; Ashmawy, M.; Shanmugan, S.; Algazzar, A.; Elsheikh, A. Fabrication techniques of polymeric nanocomposites: A comprehensive review. J. Mech. Eng. Sci. 2021, 236, 4843–4861. [Google Scholar] [CrossRef]
- Showaib, E.; Elsheikh, A. Effect of surface preparation on the strength of vibration welded butt joint made from PBT composite. Polym. Test. 2020, 83, 106319. [Google Scholar] [CrossRef]
- Deker, C. Kinetic study and new applications of UV radiation curing. Macromol. Rapid Commun. 2002, 23, 1067–1093. [Google Scholar] [CrossRef]
- Yao, H.-Y.; Lin, H.-R.; Sue, G.-P.; Lin, Y.-J. Chitosan-based hydrogels prepared by UV polymerization for wound dressing. Polym. Polym. Compos. 2019, 27, 155–167. [Google Scholar] [CrossRef]
- Qian, J.; Li, Z.; Huang, N.; Lu, Q.; Xia, J. UV-Irradiation Polymerization of Bis-EDOT Methane Derivatives and Their Application for Br2 Detection. Polymer 2021, 226, 123808. [Google Scholar] [CrossRef]
- Shin, J.; Nazarenko, S.; Phillips, J.P.; Hoyle, C.E. Physical and chemical modifications of thiol-ene networks to control activation energy of enthalpy relaxation. Polymer 2009, 50, 6281–6286. [Google Scholar] [CrossRef]
- Kwisnek, L.; Nazarenko, S.; Hoyle, C. Oxygen transport properties of thiol-ene networks. Macromolecules 2009, 42, 7031–7041. [Google Scholar] [CrossRef]
- Hoyle, C.; Bowman, C. Thiol-ene click chemistry. Angew. Chem. Int. Ed. 2010, 49, 1540–1573. [Google Scholar] [CrossRef]
- Lee, J.; Lee, Y.; Park, S.; Ha, K. Preparation and Properties of Thiol-ene UV-cured Nanocomposites with Methacrylate-grafted Cellulose Nanocrystals as Fillers. Polym. Korea 2019, 43, 612–620. [Google Scholar] [CrossRef]
- Ma, S.; Wang, Y.; Zhang, H.; Li, Y.; Ou, J.; Wei, Y.; Ye, M. One-step fabrication of cinchona-based hybrid monolithic chiral stationary phases via photo-initiated thiol-ene polymerization for cLC enantioseparation. Talanta 2019, 198, 432–439. [Google Scholar] [CrossRef] [PubMed]
- Çakmakçı, E.; Mülazim, Y.; Kahraman, M.; Apohan, N. Flame retardant thiol-ene photocured coatings. React. Funct. Polym. 2011, 71, 36–41. [Google Scholar] [CrossRef]
- Çakmakçı, E.; Mülazim, Y.; Kahraman, M.; Apohan, N. Preparation and characterization of boron containing thiol-ene photocured. Prog. Org. Coat. 2012, 75, 28–32. [Google Scholar] [CrossRef]
- Wang, W.; Peng, L.; Hsiue, G. Characterization and properties of new silicone-containing epoxy resin. Polymer 2000, 41, 6113–6120. [Google Scholar] [CrossRef]
- Liu, S.; Ye, H.; Zhou, Y.; He, J.; Jiang, Z.; Zhao, J.; Huang, X. Study on flame-retardant mechanism of polycarbonate containing sulfonate-silsesquioxane-fluoro retardants by TGA and FTIR. Polym. Degrad. Stab. 2006, 91, 1808–1814. [Google Scholar] [CrossRef]
- Wang, J.; Xin, Z. Flame retardancy, thermal, rheological and mechanical properties of polycarbonate/polysilsesquioxane system. J. Appl. Polym. Sci. 2010, 115, 330–337. [Google Scholar] [CrossRef]
- Wu, K.; Song, L.; Hu, Y.; Lu, H.; Kandola, B.; Kandare, E. Synthesis and characterization of a functional polyhedral oligomeric silsesquioxane and its flame retardancy in epoxy resin. Prog. Org. Coat. 2009, 65, 490–497. [Google Scholar] [CrossRef]
- Achar, B.; Fohlen, G.; Lokesh, K. Degradation study on the thermally stable nickel phthalocyanine sheet polymer. Polym. Degrad. Stab. 2003, 80, 427–433. [Google Scholar] [CrossRef]
- Achar, B.; Lokesh, K.; Fohlen, G.; Kumar, T. Characterization of cobalt phthalocyanine sheet polymer by gas chromatography mass spectrometry on its pyrolysis products. React. Funct. Polym. 2005, 63, 63–69. [Google Scholar] [CrossRef]
- Ecochard, Y.; Decostanzi, M.; Negrell, C.; Sonnier, R.; Caillol, S. Cardanol and Eugenol Based Flame Retardant Epoxy Monomers for Thermostable Networks. Molecules 2019, 24, 1818. [Google Scholar] [CrossRef]
- Staszko, S.; Półka, M.; Kozikowski, P. Analysis of the Influence of Organophosphorus Compounds and of Aluminium and Magnesium Hydroxides on Combustion Properties of Epoxy Materials. Energies 2022, 15, 6696. [Google Scholar] [CrossRef]
- Kissinger, H. Reaction kinetics in differential thermal analysis. Anal. Chem. 1957, 29, 1702–1706. [Google Scholar] [CrossRef]
- Porkodi, P.; Abhilash, J.; Shukla, H. On the structural changes, mechanism and kinetics of stabilization of lignin blended polyacrylonitrile copolymer fiber. J. Polym. Res. 2022, 29, 436. [Google Scholar] [CrossRef]
- Flynn, J. A quick, direct method for the determination of activation energy from thermogravimetric data. J. Polym. Sci. Polym. Lett. 1966, 4, 323–328. [Google Scholar] [CrossRef]
- Flynn, J. Initial kinetic parameters from thermogravimetric rate and conversion data. J. Polym. Sci. Polym. Lett. 1967, 5, 191–196. [Google Scholar] [CrossRef]







| Sample | Temperature (°C) | Peak Rate (wt%/°C) | Residue Char (wt%) | |
|---|---|---|---|---|
| T5wt% | Tmax | |||
| TE | 345.7 | 385.9 | 1.95 | 1.33 |
| FRTE | 316.1 | 387.8 | 1.73 | 3.37 |
| Temperature (°C) | E (kJ/mol) | lnA (1/min) | ||||
|---|---|---|---|---|---|---|
| 5 °C/min | 10 °C/min | 20 °C/min | 40 °C/min | |||
| TE | 367.5 | 385.9 | 407.5 | 433.4 | 107.4 | 11.4 |
| FRTE | 369.6 | 387.8 | 408.7 | 433.0 | 112.5 | 12.4 |
| E (kJ/mol) | ||
|---|---|---|
| TE | FRTE | |
| 0.10 | 114.8 | 117.6 |
| 0.20 | 114.8 | 117.1 |
| 0.30 | 114.3 | 117.5 |
| 0.40 | 113.9 | 118.0 |
| 0.50 | 114.5 | 118.8 |
| 0.60 | 116.9 | 120.5 |
| Average values | 114.9 | 118.2 |
Publisher’s Note: MDPI stays neutral with regard to jurisdictional claims in published maps and institutional affiliations. |
© 2022 by the authors. Licensee MDPI, Basel, Switzerland. This article is an open access article distributed under the terms and conditions of the Creative Commons Attribution (CC BY) license (https://creativecommons.org/licenses/by/4.0/).
Share and Cite
Chen, H.; Zhu, S.; Zhou, R.; Wu, X.; Zhang, W.; Han, X.; Wang, J. Thermal Degradation Behavior of Thiol-ene Composites Loaded with a Novel Silicone Flame Retardant. Polymers 2022, 14, 4335. https://doi.org/10.3390/polym14204335
Chen H, Zhu S, Zhou R, Wu X, Zhang W, Han X, Wang J. Thermal Degradation Behavior of Thiol-ene Composites Loaded with a Novel Silicone Flame Retardant. Polymers. 2022; 14(20):4335. https://doi.org/10.3390/polym14204335
Chicago/Turabian StyleChen, Haonan, Sheng Zhu, Rongfan Zhou, Xintong Wu, Wangyang Zhang, Xiaoshuai Han, and Jiangbo Wang. 2022. "Thermal Degradation Behavior of Thiol-ene Composites Loaded with a Novel Silicone Flame Retardant" Polymers 14, no. 20: 4335. https://doi.org/10.3390/polym14204335
APA StyleChen, H., Zhu, S., Zhou, R., Wu, X., Zhang, W., Han, X., & Wang, J. (2022). Thermal Degradation Behavior of Thiol-ene Composites Loaded with a Novel Silicone Flame Retardant. Polymers, 14(20), 4335. https://doi.org/10.3390/polym14204335
