Nano-Sized Calcium Copper Titanate for the Fabrication of High Dielectric Constant Functional Ceramic–Polymer Composites
Abstract
1. Introduction
2. Materials and Methods
2.1. Chemicals
2.2. Synthesis of CCTO Nanocrystals
2.3. Preparation of CCTO@PVDF Composite
2.4. Characterizations
3. Results and Discussion
3.1. Identification of the CCTO Powders
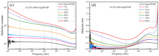
3.2. Microstructure and Dielectric Properties of CCTO@PVDF Composites
4. Conclusions
Author Contributions
Funding
Institutional Review Board Statement
Data Availability Statement
Acknowledgments
Conflicts of Interest
References
- Kajana, T.; Pirashanthan, A.; Velauthapillai, D.; Yuvapragasam, A.; Yohi, S.; Ravirajan, P.; Senthilnanthanan, M. Potential transition and post-transition metal sulfides as efficient electrodes for energy storage applications: Review. RSC Adv. 2022, 12, 18041. [Google Scholar] [CrossRef] [PubMed]
- Cao, M.; Yan, X.J.; Li, L.; Wu, S.Y.; Chen, X.M. Obtaining Greatly Improved Dielectric Constant in BaTiO3-Epoxy Composites with Low Ceramic Volume Fraction by Enhancing the Connectivity of Ceramic Phase. ACS Appl. Mater. Interfaces 2022, 14, 7039. [Google Scholar] [CrossRef]
- Li, Z.; Hou, J.-T.; Wang, S.; Zhu, L.; He, X.; Shen, J. Recent advances of luminescent sensors for iron and copper: Platforms, mechanisms, and bio-applications. Coord. Chem. Rev. 2022, 469, 214695. [Google Scholar] [CrossRef]
- Wu, D.; Yu, C.; Zhong, W. Bioinspired strengthening and toughening of carbon nanotube@polyaniline/graphene film using electroactive biomass as glue for flexible supercapacitors with high rate performance and volumetric capacitance, and low-temperature tolerance. J. Mater. Chem. A 2021, 9, 18356. [Google Scholar] [CrossRef]
- Ma, J.; Zhang, Y.; Zhang, Y.; Zhang, L.; Zhang, S.; Jiang, X.; Liu, H. Constructing nanocomposites with robust covalent connection between nanoparticles and polymer for high discharged energy density and excellent tensile properties. J. Energy Chem. 2022, 68, 195–205. [Google Scholar] [CrossRef]
- Luo, J.; Zhu, H.; Zheng, T.; Qian, H.; Liu, Y.; Lyu, Y. A slush-like polar structure for high energy storage performance in a Sr0.7Bi0.2TiO3 lead-free relaxor ferroelectric thin film. J. Mater. Chem. A 2022, 10, 7357–7365. [Google Scholar] [CrossRef]
- Zhang, Y.; Li, S.; Cong, X.; Zhang, C.; Feng, Y.; Zhang, Y.; Zhang, T.; Chi, Q.; Wang, X.; Lei, Q. Interesting Influence of Different Inorganic Particles on the Energy Storage Performance of a Polyethersulfone-Based Dielectric Composite. ACS Appl. Energ. Mater. 2022, 5, 3545–3557. [Google Scholar] [CrossRef]
- Jiang, J.; Li, J.; Zhang, Y.; Yuan, Y.; Liu, X.; Zuo, P.; Qian, J.; Zhuang, Q. Tuning the interfacial insulating shell characteristics in CaCu3Ti4O12 nanowires/polyetherimide nanocomposites for high-temperature capacitive energy storage. J. Mater. Chem. C 2022, 10, 7962–7969. [Google Scholar] [CrossRef]
- Xie, X.; Yang, C.; Qi, X.-D.; Yang, J.-H.; Zhou, Z.-W.; Wang, Y. Constructing polymeric interlayer with dual effects toward high dielectric constant and low dielectric loss. Chem. Eng. J. 2019, 366, 378–389. [Google Scholar] [CrossRef]
- Wang, Y.; Chen, J.; Li, Y.; Niu, Y.; Wang, Q.; Wang, H. Multilayered hierarchical polymer composites for high energydensity capacitors. J. Mater. Chem. A 2019, 7, 2965–2980. [Google Scholar] [CrossRef]
- Sun, D.; Huang, S.; Gao, Y.; Ma, B.; Wang, Y. PVDF composites with spherical polymer-derived SiCN ceramic particles have significantly enhanced low-frequency dielectric constants. J. Alloys Compd. 2019, 783, 256–262. [Google Scholar] [CrossRef]
- Liu, F.; Li, Q.; Li, Z.; Dong, L.; Xiong, C.; Wang, Q. Ternary PVDF-based terpolymer nanocomposites with enhanced energy density and high power density. Compos. Part A 2018, 109, 597–603. [Google Scholar] [CrossRef]
- Bi, M.; Hao, Y.; Zhang, J.; Lei, M.; Bi, K. Particle size effect of BaTiO3 nanofillers on the energy storage performance of polymer nanocomposites. Nanoscale 2017, 9, 16386–16395. [Google Scholar] [CrossRef]
- Siddabattuni, S.; Schuman, T.P.; Dogan, F. Dielectric properties of polymer-particle nanocomposites influenced by electronic nature of filler surfaces. ACS Appl. Mater. Interfaces 2013, 5, 1917–1927. [Google Scholar] [CrossRef]
- Bouharras, F.E.; Raihane, M.; Ameduri, B. Recent progress on core-shell structured BaTiO3@polymer/fluorinated polymers nanocomposites for high energy storage: Synthesis, dielectric properties and applications. Prog. Mater Sci. 2020, 113, 100670. [Google Scholar] [CrossRef]
- Yan, J.; Han, Y.; Xia, S.; Wang, X.; Zhang, Y.; Yu, J.; Ding, B. Polymer Template Synthesis of Flexible BaTiO3 Crystal Nanofibers. Adv. Funct. Mater. 2019, 29, 1907919. [Google Scholar] [CrossRef]
- Jesus, L.M.; Santos, J.C.A.; Sampaio, D.V.; Barbosa, L.B.; Silva, R.S.; M’Peko, J.C. Polymeric synthesis and conventional versus laser sintering of CaCu3Ti4O12 electroceramics: (Micro)Structures, phase development and dielectric properties. J. Alloys Compd. 2016, 654, 482–490. [Google Scholar] [CrossRef]
- Niu, Y.; Bai, Y.; Yu, K.; Wang, Y.; Xiang, F.; Wang, H. Effect of the Modifier Structure on the Performance of Barium Titanate/Poly(vinylidene fluoride) Nanocomposites for Energy Storage Applications. ACS Appl. Mater. Interfaces 2015, 7, 24168–24176. [Google Scholar] [CrossRef]
- Iijima, M.; Sato, N.; Wuled Lenggoro, I.; Kamiya, H. Surface modification of BaTiO3 particles by silane coupling agents in different solvents and their effect on dielectric properties of BaTiO3/epoxy composites. Colloids Surf. A 2009, 352, 88–93. [Google Scholar] [CrossRef]
- Dang, Z.-M.; Zhou, T.; Yao, S.-H.; Yuan, J.-K.; Zha, J.-W.; Song, H.-T.; Li, J.-Y.; Chen, Q.; Yang, W.-T.; Bai, J. Advanced Calcium Copper Titanate/Polyimide Functional Hybrid Films with High Dielectric Permittivity. Adv. Mater. 2009, 21, 2077–2082. [Google Scholar] [CrossRef]
- Chao, X.L.; Wu, P.; Zhao, Y.; Liang, P.F.; Yang, Z.P. Effect of CaCu3Ti4O12 Powders Prepared by the Different Synthetic Methods on Dielectric Properties of CaCu3Ti4O12/Polyvinylidene Fluoride Composites. J. Mater. Sci. Mater. Electron. 2015, 26, 3044–3051. [Google Scholar] [CrossRef]
- Hu, C.H.; Zha, J.W.; Yang, Y.; Zheng, M.S.; Dang, Z.M. Enhanced Dielectric Properties of Polyvinylidene Fluoride Nanocomposites via Calcium Copper Titanate Nanofibers. In Proceedings of the 2017 1st International Conference on Electrical Materials and Power Equipment, Xi’an, China, 14–17 May 2017; pp. 258–261. [Google Scholar]
- Liu, Y.P.; Li, L.Y.; Guo, M.J.; Zhou, Z.; Chen, G.X.; Li, Q.F. Improving Dielectric and Mechanical Properties of CaCu3Ti4O12 Nanowire/Epoxy Composites through a Surface-Polymerized Hyperbranched Macromolecule. ACS Appl. Electron. Mater. 2019, 1, 346–353. [Google Scholar] [CrossRef]
- Guo, Y.; Meng, N.; Zhang, Y.; Xu, J.; Pawlikowska, E.; Wu, C.; Szafran, M.; Gao, F. Characterization and performance of plate-like Ba0.6Sr0.4TiO3/Poly(vinylidene fluoride—Trifluoroethylene -chlorotrifluoroethylene) composites with high permittivity and low loss. Polymer 2020, 203, 122777. [Google Scholar] [CrossRef]
- Zhang, Q.; Gao, F.; Zhang, C.; Wang, L.; Wang, M.; Qin, M.; Hu, G.; Kong, J. Enhanced dielectric tunability of Ba0.6Sr0.4TiO3/Poly(vinylidene fluoride) composites via interface modification by silane coupling agent. Compos. Sci. Technol. 2016, 129, 93–100. [Google Scholar] [CrossRef]
- Su, Y.; Gu, Y.; Li, H.; Geng, F. Ag-NBCTO-PVDF composites with enhanced dielectric properties. Mater. Lett. 2016, 185, 208–210. [Google Scholar] [CrossRef]
- Zhang, Q.; Gao, F.; Hu, G.; Zhang, C.; Wang, M.; Qin, M.; Wang, L. Characterization and dielectric properties of modified Ba0.6Sr0.4TiO3/poly(vinylidene fluoride) composites with high dielectric tunability. Compos. Sci. Technol. 2015, 118, 94–100. [Google Scholar] [CrossRef]
- Han, S.A.; Seung, W.; Kim, J.H.; Kim, S.-W. Ultrathin Noncontact-Mode Triboelectric Nanogenerator Triggered by Giant Dielectric Material Adaption. ACS Energy Lett. 2021, 6, 1189–1197. [Google Scholar] [CrossRef]
- Jiang, J.; Li, J.; Qian, J.; Liu, X.; Zuo, P.; Yuan, Y.; Zhuang, Q. Benzoxazole-polymer@CCTO hybrid nanoparticles prepared via RAFT polymerization: Toward poly(p-phenylene benzobisoxazole) nanocomposites with enhanced high-temperature dielectric properties. J. Mater. Chem. A 2021, 9, 26010–26018. [Google Scholar] [CrossRef]
- Schmidt, R.; Pandey, S.; Fiorenza, P.; Sinclair, D.C. Non-Stoichiometry in “CaCu3Ti4O12” (CCTO) Ceramics. RSC Adv. 2013, 3, 14580–14589. [Google Scholar] [CrossRef]
- Luo, S.J.; Yang, D.N.; Feng, J.Y.; Ng, K.M. Synthesis and application of non-agglomerated ITO nanocrystals via pyrolysis of indium-tin stearate without using additional organic solvents. J. Nanopart. Res. 2014, 16, 2561. [Google Scholar] [CrossRef]
- Liang, P.; Li, F.; Chao, X.; Yang, Z. Effects of Cu stoichiometry on the microstructure, electrical conduction, and dielectric responses of Y2/3Cu3Ti4O12. Ceram. Int. 2015, 41, 11314–11322. [Google Scholar] [CrossRef]
- Fang, T.; Mei, L.; Ho, H. Effects of Cu stoichiometry on the microstructures, barrier-layer structures, electrical conduction, dielectric responses, and stability of CaCu3Ti4O12. Acta Mater. 2006, 54, 2867–2875. [Google Scholar] [CrossRef]
- Fang, T.-T.; Mei, L.-T. Evidence of Cu Deficiency: A Key Point for the Understanding of the Mystery of the Giant Dielectric Constant in CaCu3Ti4O12. J. Am. Ceram. Soc. 2007, 90, 638–640. [Google Scholar] [CrossRef]
- Rani, S.; Ahlawat, N.; Punia, R.; Sangwan, K.M.; Khandelwal, P. Dielectric and impedance studies of La and Zn co-doped complex perovskite CaCu3Ti4O12 ceramic. Ceram. Int. 2018, 44, 23125–23136. [Google Scholar] [CrossRef]
- Yadav, B.; Kar, K.K.; Ghorai, M.K.; Kumar, D.; Yadav, D. Impact of defect migration on electrical and dielectric properties in molten salt synthesized CaCu3Ti4O12 and customizing the properties by compositional engineering with Mg doping. Mater. Chem. Phys. 2022, 281, 125893. [Google Scholar] [CrossRef]
- Thomas, P.; Dwarakanath, K.; Varma, K.B.R. Effect of Calcium Stoichiometry on the Dielectric Response of CaCu3Ti4O12 ceramics. J. Eur. Ceram. Soc. 2012, 32, 1681–1690. [Google Scholar] [CrossRef]
- Sangwong, N.; Yamwong, T.; Thongbai, P. Synthesis, Characterization and Giant Dielectric Properties of CaCu3Ti4O12 Ceramics Prepared by a Polyvinyl Pyrrolidone-Dimethylformamide Solution Route. J. Electroceram. 2013, 31, 181–188. [Google Scholar] [CrossRef]
- Skwarek, A.; Socha, R.P.; Szwagierczak, D.; Zachariasz, P. Investigation of the Microstructure and Chemical Composition of CaCu3Ti4O12 Multilayer Elements using SEM, EDS, and XPS. Acta Phys. Pol. A 2018, 134, 318–321. [Google Scholar] [CrossRef]
- Zhuk, N.A.; Nekipelov, S.V.; Sivkov, V.N.; Sekushin, N.A.; Lutoev, V.P.; Makeev, B.A.; Koroleva, A.V.; Fedorova, A.V.; Koksharova, L.A.; Ignatova, M.M.; et al. Magnetic and electric properties, ESR, XPS and NEXAFS spectroscopy of CaCu3Ti4O12 ceramics. Ceram. Int. 2020, 46, 21410–21420. [Google Scholar] [CrossRef]
- Jumpatam, J.; Boonlakhorn, J.; Phromviyo, N.; Chanlek, N.; Thongbai, P. Electrical responses and dielectric properties of (Zn2+ + F−) co–doped CaCu3Ti4O12 ceramics. Materialia 2022, 23, 101441. [Google Scholar] [CrossRef]
- Felix, A.A.; Spreitzer, M.; Vengust, D.; Suvorov, D.; Orlandi, M.O. Probing the effects of oxygen-related defects on the optical and luminescence properties in CaCu3Ti4O12 ceramics. J. Eur. Ceram. Soc. 2018, 38, 5002–5006. [Google Scholar] [CrossRef]
- Wang, M.; Liu, J.; Xu, C.; Feng, L. Sonocatalysis and sono-photocatalysis in CaCu3Ti4O12 ceramics. Ceram. Int. 2022, 48, 11338–11345. [Google Scholar] [CrossRef]
- Moreno, H.; Cortés, J.A.; Praxedes, F.M.; Freitas, S.M.; Rezende, M.V.S.; Simões, A.Z.; Teixeira, V.C.; Ramirez, M.A. Tunable photoluminescence of CaCu3Ti4O12 based ceramics modified with tungsten. J. Alloys Compd. 2021, 850, 156652. [Google Scholar] [CrossRef]
- Luo, B.; Wang, X.; Zhao, Q.; Li, L. Synthesis, Characterization and Dielectric Properties of Surface Functionalized Ferroelectric Ceramic/Epoxy Resin Composites with High Dielectric Permittivity. Compos. Sci. Technol. 2015, 112, 1–7. [Google Scholar] [CrossRef]
- Liu, P.; Lai, Y.; Zeng, Y.; Wu, S.; Huang, Z.; Han, J. Influence of Sintering Conditions on Microstructure and Electrical Properties of CaCu3Ti4O12 (CCTO) Ceramics. J. Alloys Compd. 2015, 650, 59–64. [Google Scholar] [CrossRef]
- Xiao, M.; Huang, H. Effects of Cu content on non-Ohmic properties of CaCu3Ti4O12. Appl. Phys. A 2016, 122, 924. [Google Scholar] [CrossRef]
- Wang, J.; Lu, Z.; Chen, Z. The novel effects of Cu-deficient on the dielectric properties and voltage–current nonlinearity in CaCu3Ti4O12 ceramics. Mater. Sci. Eng. B Adv. 2019, 243, 1–7. [Google Scholar]
- Yang, R.; Jianmin, Q.; Marinis, T.; Wong, C.P. A precise numerical prediction of effective dielectric constant for polymer-ceramic composite based on effective-medium theory. IEEE Trans. Compon. Packag. Technol. 2000, 23, 680–683. [Google Scholar]
- Yang, Y.; Sun, H.; Yin, D.; Lu, Z.; Wei, J.; Xiong, R.; Shi, J.; Wang, Z.; Liu, Z.; Lei, Q. High performance of polyimide/CaCu3Ti4O12@Ag hybrid films with enhanced dielectric permittivity and low dielectric loss. J. Mater. Chem. A 2015, 3, 4916–4921. [Google Scholar] [CrossRef]












Publisher’s Note: MDPI stays neutral with regard to jurisdictional claims in published maps and institutional affiliations. |
© 2022 by the authors. Licensee MDPI, Basel, Switzerland. This article is an open access article distributed under the terms and conditions of the Creative Commons Attribution (CC BY) license (https://creativecommons.org/licenses/by/4.0/).
Share and Cite
Ou, J.; Chen, Y.; Zhao, J.; Luo, S.; Wong, K.W.; Ng, K.M. Nano-Sized Calcium Copper Titanate for the Fabrication of High Dielectric Constant Functional Ceramic–Polymer Composites. Polymers 2022, 14, 4328. https://doi.org/10.3390/polym14204328
Ou J, Chen Y, Zhao J, Luo S, Wong KW, Ng KM. Nano-Sized Calcium Copper Titanate for the Fabrication of High Dielectric Constant Functional Ceramic–Polymer Composites. Polymers. 2022; 14(20):4328. https://doi.org/10.3390/polym14204328
Chicago/Turabian StyleOu, Jinfa, Yonghui Chen, Jiafu Zhao, Shaojuan Luo, Ka Wai Wong, and Ka Ming Ng. 2022. "Nano-Sized Calcium Copper Titanate for the Fabrication of High Dielectric Constant Functional Ceramic–Polymer Composites" Polymers 14, no. 20: 4328. https://doi.org/10.3390/polym14204328
APA StyleOu, J., Chen, Y., Zhao, J., Luo, S., Wong, K. W., & Ng, K. M. (2022). Nano-Sized Calcium Copper Titanate for the Fabrication of High Dielectric Constant Functional Ceramic–Polymer Composites. Polymers, 14(20), 4328. https://doi.org/10.3390/polym14204328
