Failure Prediction and Surface Characterization of GFRP Laminates: A Study of Stepwise Loading
Abstract
1. Introduction
2. Materials and Methods
2.1. Materials
2.2. The Manufacturing Process and Sample Preparation
2.3. Theoretical Calculation
2.4. Loading Process
2.5. Evaluation Process
3. Results and Discussion
3.1. Theoretical Analysis
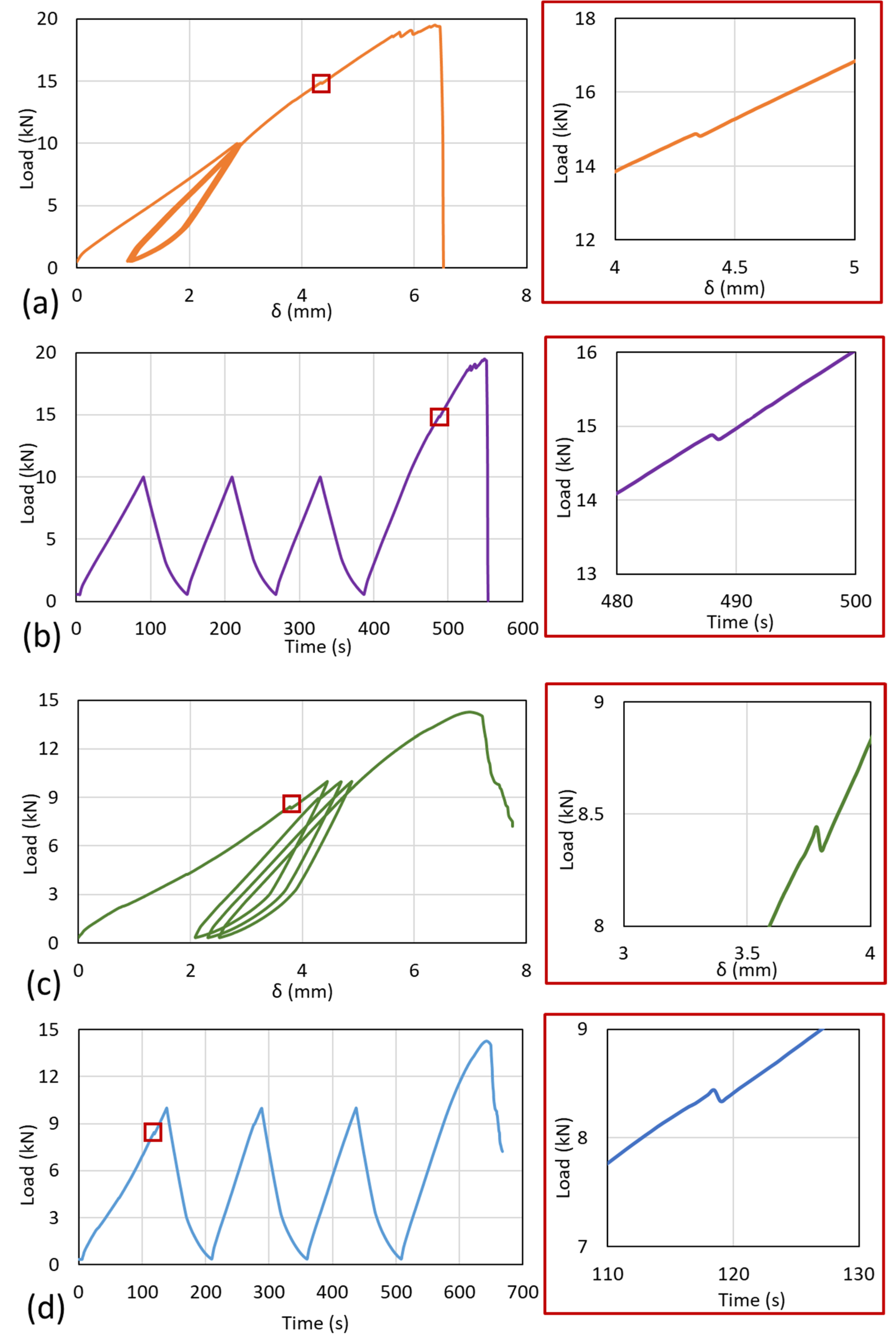
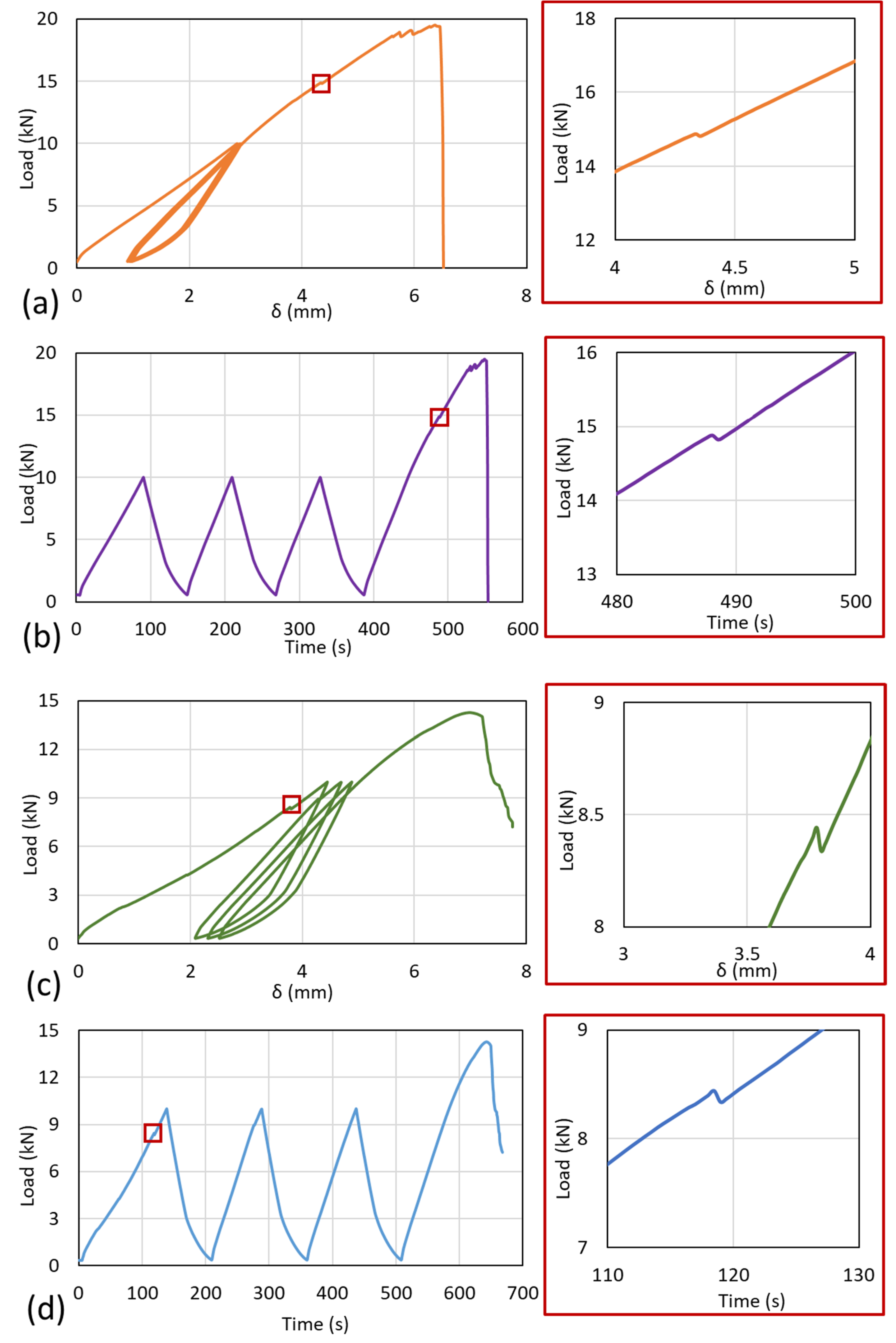
3.2. Loading Analysis
3.3. Failure Analysis
3.4. Surface Roughness
3.5. Hardness Analysis
3.6. Stress Analysis
3.7. Failure Mechanism
4. Conclusions
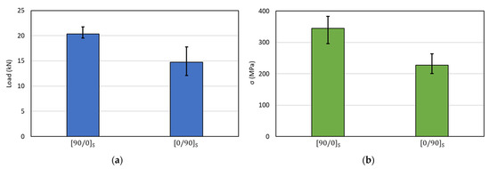
- The strength values of the laminates showed that the [90/0]S specimen has a higher average strength at 334.45 MPa compared to the [0/90]S laminates, at 227.8 MPa.
- The surface roughness test showed that the Ra value increased by more than six times in the 0° direction and three times in the 90° direction. The Ra values increased by 0.038 in the 0° direction and 0.039 in the 90° direction before the test, and 0.26 for the [0/90]S specimen and 0.12 for the [90/0]S specimen after the test.
- The shore D hardness before was recorded with 85.6 then decreased to 70.4 for [0/90]S and 65.9 for [90/0]S.
- Matrix debonding, layer delamination, and fiber breakage were reported as the failure mode behaviors of the laminates. The failure of the [90/0]S specimens was caused by matrix debonding and then fiber breakage in the 0° layers. The failure did not occur during stepwise loading, and the debonding occurred before the final failure. Furthermore, the failure of the [0/90]S specimens was mainly due to the fiber breakage in the 0° layers during stepwise loading. This breakage creates system failure and reduces the strength of the laminates.
Author Contributions
Funding
Data Availability Statement
Acknowledgments
Conflicts of Interest
References
- Yang, G.; Park, M.; Park, S.J. Recent progresses of fabrication and characterization of fibers-reinforced composites: A review. Compos. Commun. 2019, 14, 34–42. [Google Scholar] [CrossRef]
- Zhang, D.; Zhang, Q.; Fan, X.; Zhao, S. Review on Joining Process of Carbon Fiber-reinforced Polymer and Metal: Applications and Outlook. Rare Met. Mater. Eng. 2019, 48, 44–54. [Google Scholar]
- Muflikhun, M.A. The Progressive Development Of Multifunctional Composite Materials In Different Applications. Angkasa J. Ilm. Bid. Teknol. 2020, 12, 9–18. [Google Scholar] [CrossRef]
- Muflikhun, M.A.; Yokozeki, T. Experimental and numerical analysis of CFRP-SPCC hybrid laminates for automotive and structural applications with cost analysis assessment. Compos. Struct. 2021, 263, 113707. [Google Scholar] [CrossRef]
- Altin Karataş, M.; Gökkaya, H. A review on machinability of carbon fiber reinforced polymer (CFRP) and glass fiber reinforced polymer (GFRP) composite materials. Def. Technol. 2018, 14, 318–326. [Google Scholar] [CrossRef]
- Muflikhun, M.A.; Higuchi, R.; Yokozeki, T.; Aoki, T. Delamination behavior and energy release rate evaluation of CFRP/SPCC hybrid laminates under ENF test: Corrected with residual thermal stresses. Compos. Struct. 2020, 236, 111890. [Google Scholar] [CrossRef]
- Miao, C.; Fernando, D.; Heitzmann, M.T.; Bailleres, H. GFRP-to-timber bonded joints: Adhesive selection. Int. J. Adhes. Adhes. 2019, 94, 29–39. [Google Scholar] [CrossRef]
- Muflikhun, M.A.; Yokozeki, T. Steel plate cold commercial-carbon fiber reinforce plastics hybrid laminates for automotive applications: Curing perspective with thermal residual effect. J. Mater. Res. Technol. 2021, 14, 2700–2714. [Google Scholar] [CrossRef]
- Muflikhun, M.A.; Higuchi, R.; Yokozeki, T.; Aoki, T. The evaluation of failure mode behavior of CFRP/Adhesive/SPCC hybrid thin laminates under axial and flexural loading for structural applications. Compos. Part B Eng. 2020, 185, 107747. [Google Scholar] [CrossRef]
- Taniguchi, N.; Arao, Y.; Nishiwaki, T.; Hirayama, N.; Nakamura, K.; Kawada, H. Experimental study on impact tensile property of glass fiber. Adv. Compos. Mater. 2012, 21, 165–175. [Google Scholar] [CrossRef]
- Tanabi, H.; Erdal, M. Development of strain monitoring system for glass fiber reinforced composites via embedded electrically conductive pathways. Adv. Compos. Mater. 2019, 28, 653–673. [Google Scholar] [CrossRef]
- Kotani, M.; Yamamoto, Y.; Shibata, Y.; Kawada, H. Strength prediction method for unidirectional GFRP after hydrothermal aging. Adv. Compos. Mater. 2011, 20, 519–535. [Google Scholar] [CrossRef]
- Kuboki, T.; Jar, P.Y.B.; Cheng, J.J.R. Damage development in glass-fibre-reinforced polymers (GFRP) under transverse loading. Adv. Compos. Mater. Off. J. Jpn. Soc. Compos. Mater. 2005, 14, 131–145. [Google Scholar] [CrossRef]
- Ravi, S.; Iyengar, N.G.R.; Kishore, N.N.; Shukla, A. Influence of fiber volume fraction on dynamic damage in woven glass fabric composites: An experimental study. Adv. Compos. Mater. 2000, 9, 319–334. [Google Scholar] [CrossRef]
- Tanabi, H.; Atasoy, A.G.; Demiral, M.; Sabuncuoglu, B. Stress analysis of vascularized glass fiber composites exposed to bending loading. Adv. Compos. Mater. 2021, 31, 208–220. [Google Scholar] [CrossRef]
- Li, C.; Yin, X.; Wang, Y.; Zhang, L.; Zhang, Z.; Liu, Y.; Xian, G. Mechanical property evolution and service life prediction of pultruded carbon/glass hybrid rod exposed in harsh oil-well condition. Compos. Struct. 2020, 246, 112418. [Google Scholar] [CrossRef]
- Li, C.; Guo, R.; Xian, G.; Li, H. Innovative compound-type anchorage system for a large-diameter pultruded carbon/glass hybrid rod for bridge cable. Mater. Struct. Constr. 2020, 53, 73. [Google Scholar] [CrossRef]
- Nair, A.; Cai, C.S.; Kong, X. Studying Failure Modes of GFRP Laminate Coupons Using AE Pattern-Recognition Method. J. Aerosp. Eng. 2019, 32, 04019031. [Google Scholar] [CrossRef]
- Zhang, F.; Xu, J.; Esther, B.; Lu, H.; Fang, H.; Liu, W. Effect of shear span-to-depth ratio on the mechanical behavior of composite sandwich beams with GFRP ribs and balsa wood core materials. Thin Walled Struct. 2020, 154, 106799. [Google Scholar] [CrossRef]
- Bedon, C.; Louter, C. Numerical investigation on structural glass beams with GFRP-embedded rods, including effects of pre-stress. Compos. Struct. 2018, 184, 650–661. [Google Scholar] [CrossRef]
- De Giorgi, M.; Nobile, R.; Palano, F. Kf evaluation in GFRP composites by thermography. Appl. Sci. 2021, 11, 5200. [Google Scholar] [CrossRef]
- Cadavid, M.O.; Al-Khudairi, O.; Hadavinia, H.; Goodwin, D.; Liaghat, G.H. Experimental studies of stiffness degradation and dissipated energy in glass fibre reinforced polymer composite under fatigue loading. Polym. Polym. Compos. 2017, 25, 435–446. [Google Scholar] [CrossRef]
- Xian, G.; Guo, R.; Li, C.; Wang, Y. Mechanical performance evolution and life prediction of prestressed CFRP plate exposed to hygrothermal and freeze-thaw environments. Compos. Struct. 2022, 293, 115719. [Google Scholar] [CrossRef]
- Saloo, M.; Kabir, M.Z. Evaluation of Shear-Deficient RC Beams Strengthened by Externally Bonded FRP Sheets Subjected to Impact Loading. In Proceedings of the 5th National and 1st International Conference on Modern Materials and Structures in Civil Engineering, Tehran, Iran, 26–27 October 2016. [Google Scholar]
- Barbezat, M.; Brunner, A.J.; Flueler, P.; Huber, C.; Kornmann, X. Acoustic emission sensor properties of active fibre composite elements compared with commercial acoustic emission sensors. Sens. Actuat. A Phys. 2004, 114, 13–20. [Google Scholar] [CrossRef]
- Bhatnagar, N.; Nayak, D.; Singh, I.; Chouhan, H.; Mahajan, P. Determination of machining-induced damage characteristics of fiber reinforced plastic composite laminates. Mater. Manuf. Process. 2004, 19, 1009–1023. [Google Scholar] [CrossRef]
- Mkaddem, A.; Demirci, I.; Mansori, M. El A micro-macro combined approach using FEM for modelling of machining of FRP composites: Cutting forces analysis. Compos. Sci. Technol. 2008, 68, 3123–3127. [Google Scholar] [CrossRef]
- Hajiloo, H.; Green, M.F.; Gales, J. Mechanical properties of GFRP reinforcing bars at high temperatures. Constr. Build. Mater. 2018, 162, 142–154. [Google Scholar] [CrossRef]
- Koloor, S.S.R.; Karimzadeh, A.; Yidris, N.; Petrů, M.; Ayatollahi, M.R.; Tamin, M.N. An energy-based concept for yielding of multidirectional FRP composite structures using a mesoscale lamina damage model. Polymers 2020, 12, 157. [Google Scholar] [CrossRef]
- Jones, R.M. Mechanics of Composite Materials; CRC Press: Boca Raton, FL, USA, 2014. [Google Scholar]













| Glass Fiber Properties | Value | Epoxy Properties | Value |
|---|---|---|---|
| Density—bulk (g/cm3) | 2.54–2.62 | Viscosity at 25 °C (mPa·s) | 13.000 ± 2.000 |
| Coefficient of Thermal Expansion—bulk (m/m/K) | 4.9–6.0 × 10–6 | Epoxy number (%) | 22.7 ± 0.6 |
| Specific Heat—bulk (kJ/kg K) | 0.8 | Epoxy equivalent (g/equiv.) | 189 ± 5 |
| Melting Temp. (°C) | 830–916 | Epoxy value (equiv./100 g) | 0.53 ± 0.01 |
| Thermal conductivity—bulk (W/m K) | 1 | Total chlorine content (%) | <0.2 |
| Refractive index—bulk | 1.547–1.560 | Hydrolyzable chlorine content (%) | <0.05 |
| Tensile strength—filament (GPa) | 3.1–3.8 | Colour according to the gardner scale | <1 |
| Modulus—filament (GPa) | 76–81 | Density at 25 °C (g/cm³) | 1.17 ± 0.01 |
| Elongation at break—filament (%) | 4.5–4.9 | Refractive index at 25 °C | 1.572 ± 0.003 |
| Poisson’s ratio | 0.18 | Volatile content at 3 h, 140 °C (%) | <0.2 |
| Dielectric strength—bulk (kV/mm) | 10.3 | Vapour pressure at 80 °C (mbar) | <0.1 |
| Resistivity volume—bulk (ohm cm) | 1015 | Flashpoint according to DIN 51584 (°C) | >250 |
| Parameter | GFRP Values | |||||||
|---|---|---|---|---|---|---|---|---|
| [22] | [24] | [25] | [26] | [27] | [28] | [29] | Unit | |
| Longitudinal Modulus E11 | 36 | 40 | 43 | 48 | 48 | 64.1 | 36.9 | GPa |
| Transverse Modulus E12 | 13 | 8 | 13 | 12 | 12 | - | 10 | GPa |
| Poisson’s ratio ν12 | 0.22 | 0.25 | - | - | 0.19 | - | 0.32 | - |
| Shear Modulus G12 | 4.3 | 4 | - | 6 | 6 | - | 3.3 | GPa |
| Shear Strength | 48.7 | 40 | - | 25 | 12.5 | - | 54.5 | MPa |
| Tensile Strength in Fiber Direction | 626 | 1000 | - | 1200 | 550 | 1700 | 820 | MPa |
| Tensile Strength in Transverse Direction | 180 | 30 | - | 59 | 30 | - | 80.6 | MPa |
| Compressive Strength in Fiber Direction | 230 | 600 | - | 800 | 400 | - | 500 | MPa |
| Compressive Strength in Transverse Direction | 180 | 110 | - | 128 | 64 | - | 322 | MPa |
| Volume Fraction | 61 | - | 51 | - | - | 81 | - | - |
Publisher’s Note: MDPI stays neutral with regard to jurisdictional claims in published maps and institutional affiliations. |
© 2022 by the authors. Licensee MDPI, Basel, Switzerland. This article is an open access article distributed under the terms and conditions of the Creative Commons Attribution (CC BY) license (https://creativecommons.org/licenses/by/4.0/).
Share and Cite
Muflikhun, M.A.; Fiedler, B. Failure Prediction and Surface Characterization of GFRP Laminates: A Study of Stepwise Loading. Polymers 2022, 14, 4322. https://doi.org/10.3390/polym14204322
Muflikhun MA, Fiedler B. Failure Prediction and Surface Characterization of GFRP Laminates: A Study of Stepwise Loading. Polymers. 2022; 14(20):4322. https://doi.org/10.3390/polym14204322
Chicago/Turabian StyleMuflikhun, Muhammad Akhsin, and Bodo Fiedler. 2022. "Failure Prediction and Surface Characterization of GFRP Laminates: A Study of Stepwise Loading" Polymers 14, no. 20: 4322. https://doi.org/10.3390/polym14204322
APA StyleMuflikhun, M. A., & Fiedler, B. (2022). Failure Prediction and Surface Characterization of GFRP Laminates: A Study of Stepwise Loading. Polymers, 14(20), 4322. https://doi.org/10.3390/polym14204322

