One-Shot Synthesis of Thermoplastic Polyurethane Based on Bio-Polyol (Polytrimethylene Ether Glycol) and Characterization of Micro-Phase Separation
Abstract
1. Introduction
2. Materials and Methods
2.1. Synthesis of Bio-Based Thermoplastic Polyurethanes
2.2. Characterization
2.2.1. Molecular Characteristics
2.2.2. Fourier Transform Infrared Spectroscopy (FT-IR)
2.2.3. Atomic Force Microscopy (AFM)
2.2.4. X-ray Diffraction (XRD)
2.2.5. Dynamic Mechanical Analysis (DMA)
2.2.6. Differential Scanning Calorimetry (DSC)
2.2.7. Thermogravimetric Analysis (TGA)
2.2.8. Shore A Hardness
2.2.9. Mechanical Properties
3. Results and Discussion
3.1. Molecular Weight of Synthesized Thermoplastic Polyurethanes
3.2. Chemical Structure Characterization (FT-IR)
3.3. Atomic Force Microscopy (AFM) Analysis
3.4. X-ray Diffraction (XRD) Analysis
3.5. Thermal Analysis (DSC)
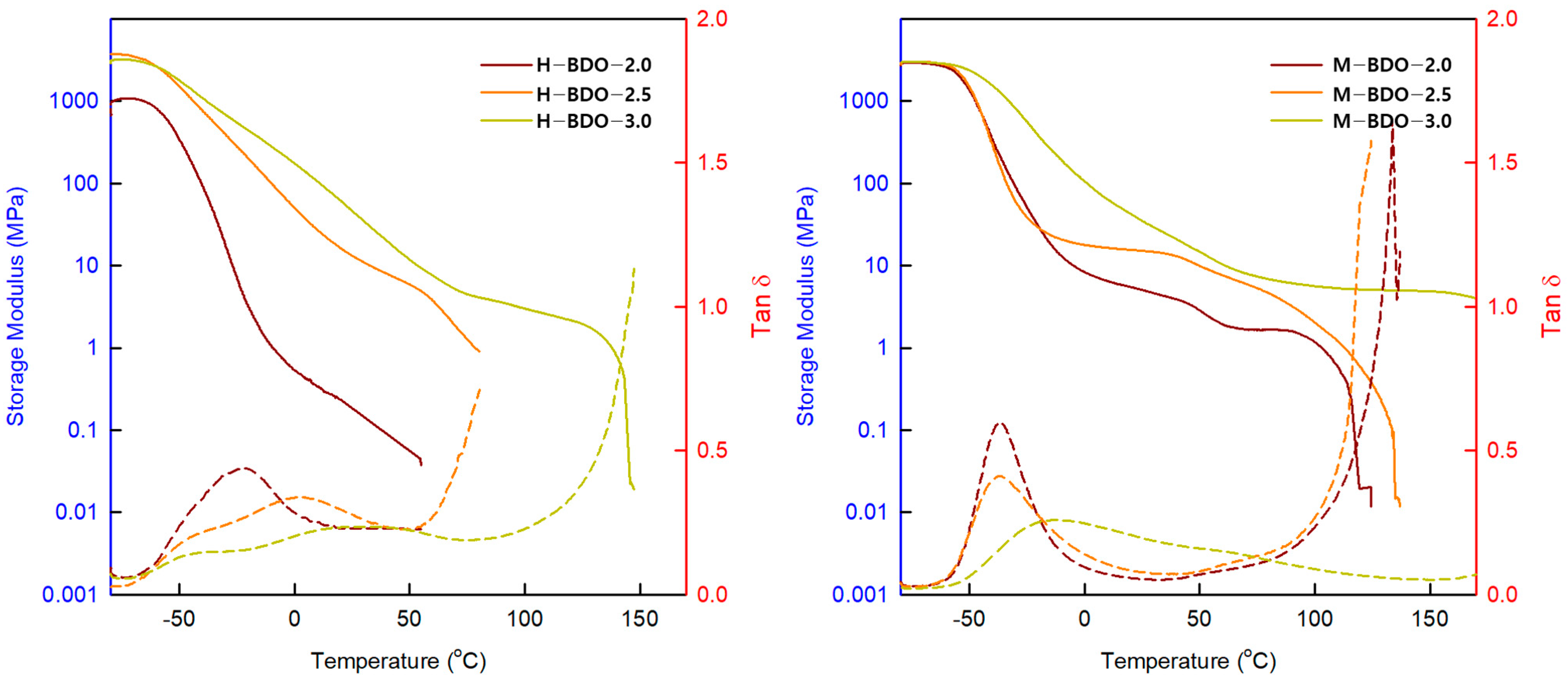
3.6. Dynamic Mechanical Analysis (DMA)
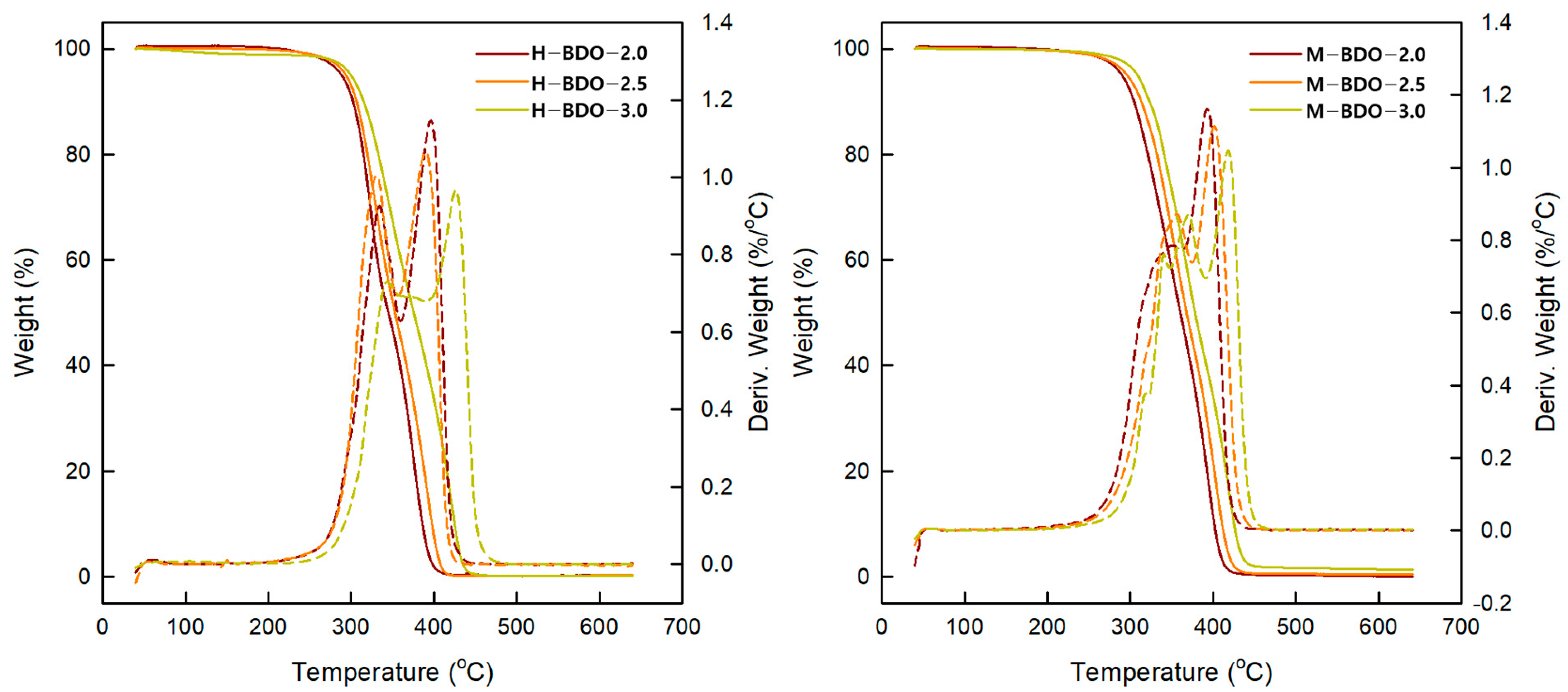
3.7. Thermogravimetric Analysis (TGA)
3.8. Mechanical Properties
3.9. Micro-Phase Separation Characteristics
4. Conclusions
Author Contributions
Funding
Institutional Review Board Statement
Informed Consent Statement
Data Availability Statement
Conflicts of Interest
References
- Oh, J.; Kim, Y.K.; Hwang, S.H.; Kim, H.C.; Jung, J.H.; Jeon, C.H.; Kim, J.; Lim, S.K. Synthesis of Thermoplastic Polyurethanes Containing Bio-Based Polyester Polyol and Their Fiber Property. Polymers 2022, 14, 2033. [Google Scholar] [CrossRef] [PubMed]
- Duval, A.; Sarbu, A.; Dalmas, F.; Albertini, D.; Averous, L. 2, 3-Butanediol as a Biobased Chain Extender for Thermoplastic Polyurethanes: Influence of Stereochemistry on Macromolecular Architectures and Properties. Macromolecules 2022, 55, 5371–5381. [Google Scholar] [CrossRef]
- Gao, Z.; Wang, Z.; Liu, Z.; Fu, L.; Li, X.; Eling, B.; Pöselt, E.; Schander, E.; Wang, Z. Hard block length distribution of thermoplastic polyurethane determined by polymerization-induced phase separation. Polymer 2022, 256, 125236. [Google Scholar] [CrossRef]
- Zhu, Y.; Romain, C.; Williams, C.K. Sustainable polymers from renewable resources. Nature 2016, 540, 354–362. [Google Scholar] [CrossRef]
- Yilgör, I.; Yilgor, E.; Das, S.; Wilkes, G.L. Time-dependent morphology development in segmented polyetherurea copolymers based on aromatic diisocyanates. J. Polym. Sci. Part B Polym. Phys. 2009, 47, 471–483. [Google Scholar] [CrossRef]
- Kasprzyk, P.; Głowińska, E.; Parcheta-Szwindowska, P.; Rohde, K.; Datta, J. Green TPUs from Prepolymer Mixtures Designed by Controlling the Chemical Structure of Flexible Segments. Int. J. Mol. Sci. 2021, 22, 7438. [Google Scholar] [CrossRef] [PubMed]
- Zhang, C.; Garrison, T.F.; Madbouly, S.A.; Kessler, M.R. Recent advances in vegetable oil-based polymers and their composites. Prog. Polym. Sci. 2017, 71, 91–143. [Google Scholar] [CrossRef]
- Donati, I.; Travan, A.; Pelillo, C.; Scarpa, T. Polyol Synthesis of Silver Nanoparticles: Mechanism of Reduction by Alditol Bearing Polysaccharides. Biomacromolecules 2009, 10, 210–221. [Google Scholar] [CrossRef]
- Hakima, A.; Nassar, M.; Emam, A.; Sultan, M. Preparation and characterization of rigid polyurethane foam prepared from sugar-cane bagasse polyol. Mater. Chem. Phys. 2011, 129, 301–330. [Google Scholar] [CrossRef]
- Lu, M.Y.; Surányi, A.; Viskolcz, B.; Fiser, B. Molecular design of sugar-based polyurethanes. Croat. Chem. Acta 1991, 3, 299–308. [Google Scholar] [CrossRef]
- Li, Y.; Luo, X.; Hu, S. Lignocellulosic Biomass-Based Polyols for Polyurethane Applications Bio-Based Polyols and Polyurethanes; Springer Briefs in Molecular Science Book Series; Springer: Cham, Switzerland, 2015; pp. 45–64. [Google Scholar]
- Zlatanić, A.; Lava, C.; Zhang, W.; Petrović, Z.S. Effect of structure on properties of polyols and polyurethanes based on different vegetable oils. J. Polym. Sci. Part B Polym. Phys. 2004, 42, 809–819. [Google Scholar] [CrossRef]
- Sawpan, M. Polyurethanes from vegetable oils and applications: A review. J. Polym. Res. 2018, 25, 184. [Google Scholar] [CrossRef]
- Petrovic, Z.; Yang, L.; Zlatanic, A.; Zhang, W.; Javni, I. Network structure and properties of polyurethanes from soybean oil. J. Appl. Sci. 2007, 105, 2717–2727. [Google Scholar] [CrossRef]
- Gurunathan, T.; Mohanty, S.; Nayak, S.K. Isocyanate terminated castor oil-based polyurethane prepolymer: Synthesis and characterization. Prog. Org. Coat. 2015, 80, 39–48. [Google Scholar] [CrossRef]
- Alagi, P.; Hong, S.C. Vegetable oil-based polyols for sustainable polyurethanes. Macromol. Res. 2015, 23, 1079–1086. [Google Scholar] [CrossRef]
- Chuayjuljit, S.; Maungchareon, A.; Saravari, O. Preparation and properties of palm oil-based rigid polyurethane nanocomposite foams. J. Reinf. Plast. Compos. 2010, 29, 218–225. [Google Scholar] [CrossRef]
- Shen, Y.; He, J.; Xie, Z.; Zhou, X.; Fang, C.; Zhang, C. Synthesis and characterization of vegetable oil based polyurethanes with tunable thermomechanical performance. Ind. Crops Prod. 2019, 140, 711–717. [Google Scholar] [CrossRef]
- Ruan, M.; Luan, H.; Wang, G.; Shen, M. Bio-polyols synthesized from bio-based 1,3-propanediol and applications on polyurethane reactive hot melt adhesives. Ind. Crops Prod. 2019, 128, 436–444. [Google Scholar] [CrossRef]
- Fakirov, S. Handbook of Condensation Thermoplastic Elastomer; Wiley-VHC Verlag: Weinheim, Germany, 2005. [Google Scholar]
- Holden, G.; Kricheldorf, R.; Quirk, P. Thermoplastic Elastomer, 3rd ed.; Hanser: Munich, Germany, 2004. [Google Scholar]
- Harrell, L.J. Segmented polyurethanes. Properties as function of segment size and distribution. Macromolecules 1969, 2, 607–612. [Google Scholar] [CrossRef]
- Delebecq, E.; Pascault, J.P.; Boutevin, B.; Ganachaud, F. On the versatility of urethane/urea bonds: Reversibility, blocked isocyanate, and non-isocyanate polyurethane. Chem. Rev. 2013, 113, 80–118. [Google Scholar] [CrossRef] [PubMed]
- Charlon, M.; Heinrich, B.; Matter, Y.; Couzigné, E.; Donnio, B.; Avérous, L. Synthesis, structure, and properties of fully biobased thermoplastic polyurethanes, obtained from a diisocyanate based on modified dimer fatty acids, and different renewable diols. Eur. Polym. J. 2014, 61, 197–205. [Google Scholar] [CrossRef]
- Gaymans, R.J. Segmented copolymers with monodisperse crystallizable hard segments: Novel semi-crystalline materials. Prog. Polym. Sci. 2011, 36, 713–748. [Google Scholar] [CrossRef]
- Wang, Y.; Ma, R.; Li, H.; Hu, S.; Gao, Y.; Liu, L.; Zhang, L. Effect of the content and strength of hard segment on the viscoelasticity of the polyurethane elastomer: Insights from molecular dynamics simulation. Soft Matter 2022, 18, 4090–4101. [Google Scholar] [CrossRef] [PubMed]
- Kang, S.; Ji, Z.; Tseng, L.; Turner, S.; Villanueva, D.; Johnson, R.; Albano, A.; Langer, R. Design and Synthesis of Waterborne Polyurethanes. Adv. Mater. 2018, 30, 1706237. [Google Scholar] [CrossRef] [PubMed]
- Biemond, G. Hydrogen Bonding in Segmented Block Copolymer. Ph.D. Thesis, University of Twentw, Enschede, The Netherlands, 2006. [Google Scholar]
- Kasprzyk, P.; Benes, H.; Donato, R.K.; Datta, J. The role of hydrogen bonding on tuning hard-soft segments in bio-based thermoplastic poly(ether-urethane)s. J. Clean. Prod. 2020, 274, 122678. [Google Scholar] [CrossRef]
- Niesten, M.; Feijen, J.; Gaymans, R.J. Synthesis and properties of segmented copolymers having aramid units of uniform length. Polymer 2000, 41, 8487–8500. [Google Scholar] [CrossRef]
- Van der Schuur, M.; Gaymans, R.J. Segmented block copolymers based on poly(propylene oxide) and monodisperse polyamide-6,T segments. J. Polym. Sci. Part A Polym. Chem. 2006, 44, 4769–4781. [Google Scholar] [CrossRef]
- Odian, G. Step Polymerization, in Principles of Polymerization; John Wiley & Sons: Hoboken, NJ, USA, 2004; pp. 39–197. [Google Scholar]
- Kirpluks, M.; Cabulis, U.; Ivdre, A.; Kuranska, M.; Zieleniewska, M.; Auguscik, M. Mechanical and thermal properties of high-density rigid polyurethane foams from renewable resources. J. Renew. Mater. 2016, 4, 86–100. [Google Scholar] [CrossRef]
- Li, X.X.; Sohn, M.H.; Cho, U.R. Synthesis and Properties of Bio-Thermoplastic Polyurethanes with Different Isocyanate Contents. Elastomers Compos. 2019, 54, 225–231. [Google Scholar]
- Coleman, M.; Lee, K.; Skrovanek, D.; Painter, P. Hydrogen bonding in polymers. 4. Infrared temperature studies of a simple polyurethane. Macromolecules 1986, 19, 2149–2157. [Google Scholar] [CrossRef]
- Lei, W.; Fang, C.; Zhou, X.; Cheng, Y.; Yang, R.; Liu, D. Morphology and thermal properties of polyurethane elastomer based on representative structural chain extenders. Thermochim. Acta 2017, 653, 116–125. [Google Scholar] [CrossRef]
- Gorna, K.; Polowinski, S.; Gogolewski, S. Synthesis and characterization of biodegradable poly(e-caprolactone urethane)s. I. Effect of the polyol molecular weight, catalyst, and chain extender on the molecular and physical characteristics. J. Polym. Sci. Part A Polym. Chem. 2002, 40, 156–170. [Google Scholar] [CrossRef]
- Xiaozhen, Y.; Decai, Y.; Hsu, S.L.; Meuse, C.W. Spectroscopic analysis of ordering and phase-separation behavior of model polyurethanes in a restricted geometry. Macromolecules 1992, 25, 925–932. [Google Scholar]
- Elwell, M.J.; Ryan, A.J.; Grünbauer, H.C.; Lieshout, V. In-situ studies of structure development during the reactive processing of model flexible polyurethane foam systems using FT-IR spectroscopy, synchrotron SAXS, and rheology. Macromolecules 1996, 29, 2960–2968. [Google Scholar] [CrossRef]
- Głowińska, E.; Datta, J. Bio polyetherurethane composites with high content of natural ingredients: Hydroxylated soybean oil based polyol, bio glycol and microcrystalline cellulose. Cellulose 2016, 23, 581–592. [Google Scholar] [CrossRef]
- Ryan, A.J.; Willkomm, W.R.; Bergstrom, T.B.; Macosko, C.W.; Koberstein, J.T.; Yu, C.C.; Russell, T.P. Dynamics of (Micro)phase separation during fast, bulk copolymerization: Some synchrotron SAXS experiments. Macromolecules 1991, 24, 2883–2889. [Google Scholar] [CrossRef]
- Król, P. Synthesis methods, chemical structures and phase structures of linear polyurethanes. Properties and applications of linear polyurethanes in polyurethane elastomers, copolymers and ionomers. Prog. Mater. Sci. 2007, 52, 915–1015. [Google Scholar] [CrossRef]
- Saralegi, A.; Rueda, L.; Fernández-D’Arlas, B.; Mondragon, A.; Eceiza, C. Thermoplastic polyurethanes from renewable resources: Effect of soft segment chemical structure and molecular weight on morphology and final properties. Polym. Int. 2013, 62, 106–115. [Google Scholar] [CrossRef]
- Suzuki, T.; Shibayama, M.; Hatano, K.; Ishii, M. [NCO]/[OH] and acryl-polyol concentration dependence of the gelation process and the microstructure analysis of polyurethane resin by dynamic light scattering. Polymer 2009, 50, 2503–2509. [Google Scholar] [CrossRef]
- Kasprzyk, P.; Datta, J. Effect of Molar Ratio [NCO]/[OH] Groups during Prepolymer Chains Extending Step on the Morphology and Selected Mechanical Properties of Final Bio-Based Thermoplastic Poly ( Ether-Urethane) Materials. Polym. Eng. Sci. 2018, 58, E119–E206. [Google Scholar] [CrossRef]
- Versteegen, M.; Sijbesma, P.; Meijer, W. Synthesis and characterization of segmented copoly(ether urea)s with uniform hard segments. Macromolecules 2005, 38, 3176–3184. [Google Scholar] [CrossRef]
- Flory, J. Thermodynamics of High Polymer Solutions. J. Chem. Phys. 1942, 10, 51. [Google Scholar] [CrossRef]
- Verstraete, G.; Van Renterghem, J.; Van Bockstal, P.J.; Kasmi, S.; De Geest, B.G.; De Beer, T.; Vervaet, C. Hydrophilic thermoplastic polyurethanes for the manufacturing of highly dosed oral sustained release matrices via hot melt extrusion and injection molding. Int. J. Pharm. 2016, 506, 214–221. [Google Scholar] [CrossRef]
- Kim, H.D.; Huh, J.H.; Kim, E.Y.; Park, C.C. Comparison of properties of thermoplastic polyurethane elastomers with two different soft segments. J. Appl. Polym. Sci. 1998, 69, 1349–1355. [Google Scholar] [CrossRef]
- Tao, Y.; Hasan, A.; Deeb, G.; Hu, C.; Han, H. Rheological and mechanical behavior of silk fibroin reinforced waterborne polyurethane. Polymers 2016, 8, 94. [Google Scholar] [CrossRef]
- Lluch, C.; Esteve-Zarzoso, B.; Bordons, A.; Lligadas, G.; Ronda, J.C.; Galia, M.; Cádiz, V. Antimicrobial polyurethane thermosets based on undecylenic acid: Synthesis and evaluation. Macromol. Biosci. 2014, 14, 1170–1180. [Google Scholar] [CrossRef]
- Li, H.; Mahmood, N.; Ma, Z.; Zhu, M.; Wang, J.; Zheng, J.; Yuan, Z.; Wei, Q.; Xu, C. Preparation and characterization of bio-polyol and bio-based flexible polyurethane foams from fast pyrolysis of wheat straw. Ind. Crops Prod. 2017, 103, 64–72. [Google Scholar] [CrossRef]
- Sheth, J.P.; Klinedinst, D.B.; Wilkes, G.L.; Yilgor, I.; Yilgor, E. Role of chain symmetry and hydrogen bonding in segmented copolymers with monodisperse hard segments. Polymer 2005, 46, 7317–7322. [Google Scholar] [CrossRef]
- Kultys, A.; Rogulska, M.; Pikus, S.; Skrzypiec, K. The synthesis and characterization of new thermoplastic poly(carbonate-urethane) elastomers derived from HDI and aliphatic-aromatic chain extenders. Eur. Polym. J. 2009, 45, 2629–2643. [Google Scholar] [CrossRef]
- Kojio, K.; Kugumiya, S.; Uchibaq, Y.; Nishino, Y.; Furukawa, M. The micro-separated structure of polyurethane bulk and thin films. Polym. J. 2009, 41, 118–124. [Google Scholar] [CrossRef]
- Špírková, M.; Strachota, A.; Urbanová, M.; Baldrian, J.; Brus, J.; Šlouf, M.; Kuta, A.; Hrdlička, Z. Structural and surface properties of novel polyurethane films. Mater. Manuf. Process. 2009, 24, 1214–1216. [Google Scholar] [CrossRef]
- Wang, C.; Ma, C.; Mu, C.; Lin, W. Tailor-made zwitterionic polyurethane coatings: Microstructure, mechanical property and their antimicrobial performance. RSC Adv. 2017, 7, 27522–27529. [Google Scholar] [CrossRef]
- Špírková, M.; Pavličević, J.; Strachota, A.; Poreba, R.; Bera, O.; Kaprálková, L.; Baldrian, J.; Šlouf, M.; Lazić, N.; Budinski-Simendić, J. Novel polycarbonate-based polyurethane elastomers: Composition–property relationship. Eur. Polym. J. 2011, 47, 959–972. [Google Scholar] [CrossRef]
- Fuensanta, M.; Jofre-Reche, J.A.; Rodríguez-Llansola, F.; Costa, V.; Iglesias, J.I.; Martín-Martínez, J.M. Structural characterization of polyurethane ureas and waterborne polyurethane urea dispersions made with mixtures of polyester polyol and polycarbonate diol. Prog. Org. Coat. 2017, 112, 141–152. [Google Scholar] [CrossRef]
- Jeffrey, T.K.; Adam, F. Galambos Multiple melting in segmented polyurethane block copolymers. Macromolecules 1992, 25, 5618–5624. [Google Scholar]
- Fernández-d’Arlas, B.; Jens, B.; Peter, R.; Pöselt, E.; Raphael; Berend, T.; Müller, A. Tailoring the Morphology and Melting Points of Segmented Thermoplastic Polyurethanes by Self-Nucleation. Macromolecules 2016, 49, 7952–7964. [Google Scholar] [CrossRef]
- Saiani, A.; Daunch, W.A.; Verbeke, H.; Leenslag, J.-W.; Higgins, J.S. Origin of Multiple Melting Endotherms in a High Hard Block Content Polyurethane. 1. Thermodynamic Investigation. Macromolecules 2001, 34, 9059–9068. [Google Scholar] [CrossRef]
- Saiani, A.; Rochas, C.; Eeckhaut, G.; Daunch, W.A.; Leenslag, J.-W.; Higgins, J.S. Origin of Multiple Melting Endotherms in a High Hard Block Content Polyurethane. 2. Structural Investigation. Macromolecules 2004, 37, 1411–1421. [Google Scholar] [CrossRef]
- Saiani, A.; Novak, A.; Rodier, L.; Eeckhaut, G.; Leenslag, J.-W. Higgins, J.S. Origin of Multiple Melting Endotherms in a High Hard Block Content Polyurethane: Effect of Annealing Temperature. Macromolecules 2007, 40, 7252–7262. [Google Scholar] [CrossRef]
- Zhang, L.; Huang, M.R.; Yu, J.; Huang, X.; Dong, R.; Zhu, J. Bio-based shape memory polyurethanes (Bio-SMPUs) with short side chains in the soft segment. J. Mater. Chem. A 2014, 2, 11490. [Google Scholar] [CrossRef]
- Parcheta, P.; Datta, J. Structure-rheology relationship of fully bio-based linear polyester polyols for polyurethane-Synthesis and investigation. Polym. Test. 2018, 67, 110–121. [Google Scholar] [CrossRef]
- Chattopadhyay, D.K.; Webster, D.C. Thermal stability and flame retardancy of polyurethanes. Prog. Polym. Sci. 2009, 34, 1068–1113. [Google Scholar] [CrossRef]
- Sohn, M.H.; Li, X.X.; Cho, U.R. Synthesis of Biomass-derived Polyurethane by Chain Extender Type. Elastomers Compos. 2019, 54, 279–285. [Google Scholar]
- Bueno-Ferrer, C.; Hablot, E.; del Carmen Garrigós, M.; Bocchini, S.; Averous, L.; Jiménez, A. Relationship between morphology, properties and degradation parameters of novative biobased thermoplastic polyurethanes obtained from dimer fatty acids. Polym. Degrad. Stab. 2012, 97, 1964–1969. [Google Scholar] [CrossRef]
- Paulina, P.; Ewa, G.; Janusz, D. Effect of bio-based components on the chemical structure, thermal stability and mechanical properties of green thermoplastic polyurethane elastomers. Eur. Polym. J. 2020, 123, 109422. [Google Scholar]










| Sample | Diisocyanate | OH/NCO/OH | Hard Segment (HS) Content (wt%) a | Content of Bio-Based Sources (wt%) b |
|---|---|---|---|---|
| H-BDO-2.0 | H12MDI | 1:2.0:1 | 36.9 | 63 |
| H-BDO-2.5 | H12MDI | 1:2.5:1 | 41.5 | 59 |
| H-BDO-3.0 | H12MDI | 1:3.0:1 | 45.5 | 55 |
| M-BDO-2.0 | MDI | 1:2.0:1 | 33.3 | 67 |
| M-BDO-2.5 | MDI | 1:2.5:1 | 37.6 | 62 |
| M-BDO-3.0 | MDI | 1:3.0:1 | 41.4 | 59 |
| Reagent Name | Supplier | Description | Molecular Structure |
|---|---|---|---|
| Polytrimethylene ether glycol (PO3G) | SK chemical, Korea | 100% bio-based polyether polyol (1,3-propanediol based) by corn oil Mw 1000 g/mol, hydroxyl number = 53.4–59.0, Tm = 16–18 °C | ![]() |
| Dicyclohexylmethane diisocyanate (H12MDI) | Sigma Aldrich, Germany | Aliphatic diisocyanate, Mw 262.35 g/mol | ![]() |
| 4,4′-Diphenylmethane diisocyanate (MDI) | Sigma Aldrich, Germany | Aromatic diisocyanate, Mw 250.25 g/mol | ![]() |
| 1,4-Butanediol (BDO) | Sigma Aldrich, Germany | Chain extender, Mw 90.122 g/mol | ![]() |
| Dibutylin dilaurate (DBTDL) | Sigma Aldrich, Germany | Catalyst, Mw 631.56 g/mol | ![]() |
| Sample | Mn | Mw | PDI |
|---|---|---|---|
| H-BDO-2.0 | 37,723 | 70,953 | 1.88 |
| H-BDO-2.5 | 40,375 | 72,013 | 1.78 |
| H-BDO-3.0 | 112,117 | 236,689 | 2.11 |
| M-BDO-2.0 | 57,476 | 112,220 | 1.95 |
| M-BDO-2.5 | 60,829 | 153,285 | 2.51 |
| M-BDO-3.0 | n.m. a | n.m. | n.m. |
| Sample | Hard Segment (HS) | Absorption Intensity of C=O Band | R | Degree of Phase Separation (DPS) | Degree of Phase Mixing (DPM) | |
|---|---|---|---|---|---|---|
| Free C=O 1730 cm−1 | H-Bonded C=O 1700 cm−1 | |||||
| H-BDO-2.0 | 36.9 | 29.37 | 35.88 | 1.22 | 0.550 | 0.450 |
| H-BDO-2.5 | 41.5 | 27.87 | 35.53 | 1.24 | 0.553 | 0.447 |
| H-BDO-3.0 | 45.5 | 29.80 | 37.16 | 1.25 | 0.555 | 0.445 |
| M-BDO-2.0 | 33.3 | 30.12 | 40.53 | 1.35 | 0.574 | 0.426 |
| M-BDO-2.5 | 37.6 | 30.55 | 41.89 | 1.37 | 0.578 | 0.422 |
| M-BDO-3.0 | 41.4 | 30.08 | 42.00 | 1.40 | 0.583 | 0.417 |
| Sample | Surface Area (μm2) | Rq (nm) a | Ra (nm) b | Rmax (nm) c |
|---|---|---|---|---|
| H-BDO-2.0 | 401 | 29 | 23 | 277 |
| H-BDO-2.5 | 437 | 257 | 177 | 1604 |
| H-BDO-3.0 | 441 | 294 | 228 | 2177 |
| M-BDO-2.0 | 414 | 227 | 178 | 1872 |
| M-BDO-2.5 | 415 | 305 | 248 | 2328 |
| M-BDO-3.0 | 408 | 417 | 347 | 4243 |
| Sample | Peak 1 (θ = 19.40) | Peak 2 (θ = 23.46) | ||
|---|---|---|---|---|
| Intensity | FWHM a | Intensity | FWHM | |
| H-BDO-2.0 | 4858.01 | 6.00 | 752.15 | 4.44 |
| H-BDO-2.5 | 4664.34 | 5.85 | 713.71 | 4.98 |
| H-BDO-3.0 | 5046.76 | 5.96 | 609.42 | 6.53 |
| M-BDO-2.0 | 3354.74 | 6.55 | 914.39 | 4.07 |
| M-BDO-2.5 | 5069.32 | 6.23 | 820.04 | 6.16 |
| M-BDO-3.0 | 5291.63 | 5.97 | 591.92 | 6.36 |
| Sample | SS Tg (°C) | SS Tm (°C) | HS Tg (°C) | HS Tm (°C) |
|---|---|---|---|---|
| H-BDO-2.0 | −55.4 | 71.6 | - | 195.8 |
| H-BDO-2.5 | −55.0 | 80.3 | 145.6 | 217.4 |
| H-BDO-3.0 | −52.4 | 83.5 | 166.0 | 219.6 |
| M-BDO-2.0 | −47.7 | 67.1 | 136.3 | 160.1 |
| M-BDO-2.5 | −46.0 | 69.3 | 151.8 | 183.8 |
| M-BDO-3.0 | −44.3 | 80.4 | 157.3 | 231.6 |
| Sample | Tg (°C) | G′25(MPa) | Tflex (°C) | Tflow (°C) |
|---|---|---|---|---|
| H-BDO-2.0 | −54.8 | 0.65 | - | - |
| H-BDO-2.5 | −49.3 | 13.18 | - | 77.7 |
| H-BDO-3.0 | −40.6 | 46.34 | 80.1 | 138.0 |
| M-BDO-2.0 | −37.2 | 1.20 | 60.2 | 92.5 |
| M-BDO-2.5 | −37.2 | 5.05 | 94.2 | 102.0 |
| M-BDO-3.0 | −36.8 | 54.39 | 73.9 | 170.0 |
| Sample | T5% (°C) | T10% (°C) | T50% (°C) | THS (°C) | TSS (°C) |
|---|---|---|---|---|---|
| H-BDO-2.0 | 288.8 | 302.4 | 345.3 | 334.7 | 396.4 |
| H-BDO-2.5 | 294.0 | 306.7 | 353.2 | 332.4 | 390.5 |
| H-BDO-3.0 | 300.0 | 315.3 | 375.8 | 344.2 | 426.0 |
| M-BDO-2.0 | 290.0 | 304.7 | 360.7 | 351.3 | 391.6 |
| M-BDO-2.5 | 296.5 | 313.5 | 368.0 | 356.0 | 402.2 |
| M-BDO-3.0 | 308.9 | 323.4 | 378.2 | 371.5 | 418.9 |
| Sample | Initial Modulus (MPa) | Tensile Strength(MPa) | Elongation (%) | Energy (J) | Hardness (Shore A) |
|---|---|---|---|---|---|
| H-BDO-2.0 | 12.20 | 4.61 | 1316.80 | 0.13 | 70 |
| H-BDO-2.5 | 22.23 | 7.48 | 1024.50 | 0.14 | 79 |
| H-BDO-3.0 | 42.40 | 31.61 | 635.70 | 1.01 | 85 |
| M-BDO-2.0 | 35.25 | 28.84 | 1080.90 | 2.09 | 76 |
| M-BDO-2.5 | 37.27 | 31.42 | 1076.90 | 3.55 | 77 |
| M-BDO-3.0 | 67.07 | 35.04 | 693.90 | 3.24 | 86 |
Publisher’s Note: MDPI stays neutral with regard to jurisdictional claims in published maps and institutional affiliations. |
© 2022 by the authors. Licensee MDPI, Basel, Switzerland. This article is an open access article distributed under the terms and conditions of the Creative Commons Attribution (CC BY) license (https://creativecommons.org/licenses/by/4.0/).
Share and Cite
Jung, Y.-S.; Lee, S.; Park, J.; Shin, E.-J. One-Shot Synthesis of Thermoplastic Polyurethane Based on Bio-Polyol (Polytrimethylene Ether Glycol) and Characterization of Micro-Phase Separation. Polymers 2022, 14, 4269. https://doi.org/10.3390/polym14204269
Jung Y-S, Lee S, Park J, Shin E-J. One-Shot Synthesis of Thermoplastic Polyurethane Based on Bio-Polyol (Polytrimethylene Ether Glycol) and Characterization of Micro-Phase Separation. Polymers. 2022; 14(20):4269. https://doi.org/10.3390/polym14204269
Chicago/Turabian StyleJung, Yang-Sook, Sunhee Lee, Jaehyeung Park, and Eun-Joo Shin. 2022. "One-Shot Synthesis of Thermoplastic Polyurethane Based on Bio-Polyol (Polytrimethylene Ether Glycol) and Characterization of Micro-Phase Separation" Polymers 14, no. 20: 4269. https://doi.org/10.3390/polym14204269
APA StyleJung, Y.-S., Lee, S., Park, J., & Shin, E.-J. (2022). One-Shot Synthesis of Thermoplastic Polyurethane Based on Bio-Polyol (Polytrimethylene Ether Glycol) and Characterization of Micro-Phase Separation. Polymers, 14(20), 4269. https://doi.org/10.3390/polym14204269






