The Role of Electrochemical and Spectroelectrochemical Techniques in the Preparation and Characterization of Conjugated Polymers: From Polyaniline to Modern Organic Semiconductors
Abstract
1. Introduction
2. Electrochemical and Spectroelectrochemical Techniques Used in the Preparation and Characterization of Conjugated Polymers
2.1. Electrochemical Polymerization
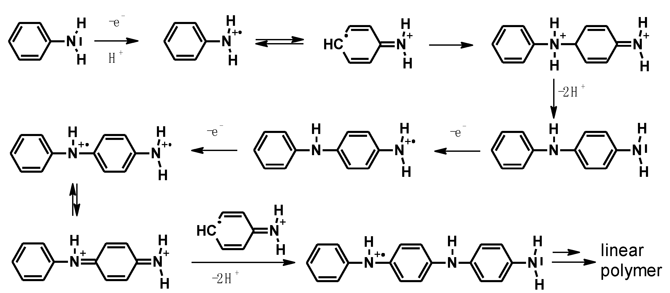
2.2. Electrochemical Studies of the Polymerization Mechanism by the Example of Polyaniline
2.3. Spectroelectrochemical Methods
2.4. Time-Resolved Spectroelectrochemical Methods
2.5. EPR, UV–Vis–NIR and Raman Spectroelectrochemical Measurement of Conjugated Polymers
2.6. Spectroelectrochemical Conductometry
2.7. Electrochromic Characterization
3. Conclusions
Author Contributions
Funding
Acknowledgments
Conflicts of Interest
References
- Shirakawa, H.; Louis, E.J.; MacDiarmid, A.G.; Chiang, C.K.; Heeger, A.J. Synthesis of electrically conducting organic polymers: Halogen derivatives of polyacetylene, (CH)x. J. Chem. Soc., Chem. Commun. 1977, 16, 578–580. [Google Scholar] [CrossRef]
- Lapkowski, M. Conductive polymers from electrolytic polymerization. Part I. Polymers prepared various heterocyclic compounds and aromatic hydrocarbons. Polimery 1986, 31, 325–331. [Google Scholar] [CrossRef]
- Gebka, K.; Jarosz, T.; Stolarczyk, A. The Different Outcomes of Electrochemical Copolymerisation: 3-Hexylthiophene with Indole, Carbazole or Fluorene. Polymers 2019, 11, 355. [Google Scholar] [CrossRef] [PubMed]
- Stolarczyk, A.; Glosz, K.; Jarosz, T. Recent Advances in the Electrochemical Synthesis of Copolymers Bearing π-Conjugated Systems and Methods for the Identification of their Structure. Curr. Org. Chem. 2020, 24, 339–353. [Google Scholar] [CrossRef]
- Czichy, M.; Wagner, P.; Łapkowski, M.; Officer, D. Effect of π-conjugation on electrochemical properties of poly(terthiophene)s 3′-substituted with fullerene C 60. J. Electroanal. Chem. 2016, 772, 103–109. [Google Scholar] [CrossRef]
- Ledwon, P.; Brzeczek, A.; Pluczyk, S.; Jarosz, T.; Kuznik, W.; Walczak, K.; Lapkowski, M. Synthesis and electrochemical properties of novel, donor–acceptor pyrrole derivatives with 1,8-naphthalimide units and their polymers. Electrochim. Acta 2014, 128, 420–429. [Google Scholar] [CrossRef]
- Tasior, M.; Kowalczyk, P.; Przybył, M.; Czichy, M.; Janasik, P.; Bousquet, M.H.E.; Łapkowski, M.; Rammo, M.; Rebane, A.; Jacquemin, D.; et al. Going beyond the borders: Pyrrolo[3,2-b]pyrroles with deep red emission. Chem. Sci. 2021, 12, 15935–15946. [Google Scholar] [CrossRef]
- Crocomo, P.Z.; Okazaki, M.; Hosono, T.; Minakata, S.; Takeda, Y.; Data, P. Dibenzophenazine-Based TADF Emitters as Dual Electrochromic and Electroluminescence Materials. Chem.—Eur. J. 2022, 28, e202200826. [Google Scholar] [CrossRef]
- Glosz, K.; Stolarczyk, A.; Jarosz, T. Electropolymerised Polypyrroles as Active Layers for Molecularly Imprinted Sensors: Fabrication and Applications. Materials 2021, 14, 1369. [Google Scholar] [CrossRef]
- Powroznik, P.; Jakubik, W.; Stolarczyk, A.; Kazmierczak-Balata, A.; Wrotniak, J.; Jarosz, T. Study of Light-Activated Regioregular Poly(3-Hexyltiophene) Photoconductive Polymer Sensing Properties in Nerve Agent Simulant (DMMP) Detection. Sensors 2020, 20, 491. [Google Scholar] [CrossRef]
- Stolarczyk, A.; Jarosz, T.; Procek, M. Room Temperature Hydrogen Gas Sensing via Reversible Hydrogenation of Electrochemically Deposited Polycarbazole on Interdigitated Pt Transducers. Sensors 2019, 19, 1098. [Google Scholar] [CrossRef]
- Jarosz, T.; Ledwon, P. Electrochemically Produced Copolymers of Pyrrole and Its Derivatives: A Plentitude of Material Properties Using “Simple” Heterocyclic Co-Monomers. Materials 2021, 14, 281. [Google Scholar] [CrossRef]
- Łapkowski, M. Electrochemical synthesis of linear polyaniline in aqueous solutions. Synth. Met. 1990, 35, 169–182. [Google Scholar] [CrossRef]
- Ledwon, P.; Wiosna-Salyga, G.; Chapran, M.; Motyka, R. The Effect of Acceptor Structure on Emission Color Tuning in Organic Semiconductors with D–π–A–π–D Structures. Nanomaterials 2019, 9, 1179. [Google Scholar] [CrossRef]
- Pluczyk-Malek, S.; Nastula, D.; Honisz, D.; Lapkowski, M.; Data, P.; Wagner, P. s-Tetrazine donor-acceptor electrodeposited layer with properties controlled by doping anions generally considered as interchangeable. Electrochim. Acta 2021, 405, 139788. [Google Scholar] [CrossRef]
- Kozieł, K.; Łapkowski, M. Studies on the influence of the synthesis parameters on the doping process of polyaniline. Synth. Met. 1993, 55, 1011–1016. [Google Scholar] [CrossRef]
- Fomo, G.; Waryo, T.; Feleni, U.; Baker, P.; Iwuoha, E. Electrochemical Polymerization. In Functional Polymers. Polymers and Polymeric Composites: A Reference Series; Springer: Cham, Switzerland, 2019; pp. 1–28. [Google Scholar] [CrossRef]
- Gurunathan, K.; Murugan, A.; Marimuthu, R.; Mulik, U.; Amalnerkar, D. Electrochemically synthesised conducting polymeric materials for applications towards technology in electronics, optoelectronics and energy storage devices. Mater. Chem. Phys. 1999, 61, 173–191. [Google Scholar] [CrossRef]
- Drewniak, A.; Tomczyk, M.D.; Knop, K.; Walczak, K.Z.; Ledwon, P. Multiple Redox States and Multielectrochromism of Donor–Acceptor Conjugated Polymers with Aromatic Diimide Pendant Groups. Macromolecules 2019, 52, 8453–8465. [Google Scholar] [CrossRef]
- John, A.; Benny, L.; Cherian, A.R.; Narahari, S.Y.; Varghese, A.; Hegde, G. Electrochemical sensors using conducting polymer/noble metal nanoparticle nanocomposites for the detection of various analytes: A review. J. Nanostructure Chem. 2021, 11, 1–31. [Google Scholar] [CrossRef]
- Yan, G.; Li, J.; Zhang, Y.; Gao, F.; Kang, F. Electrochemical Polymerization and Energy Storage for Poly[Ni(salen)] as Supercapacitor Electrode Material. J. Phys. Chem. C 2014, 118, 9911–9917. [Google Scholar] [CrossRef]
- Suriyakumar, S.; Bhardwaj, P.; Grace, A.N.; Stephan, A.M. Role of Polymers in Enhancing the Performance of Electrochemical Supercapacitors: A Review. Batter. Supercaps 2021, 4, 571–584. [Google Scholar] [CrossRef]
- Zhao, M.; Zhang, H.; Gu, C.; Ma, Y. Electrochemical polymerization: An emerging approach for fabricating high-quality luminescent films and super-resolution OLEDs. J. Mater. Chem. C 2020, 8, 5310–5320. [Google Scholar] [CrossRef]
- Sil, M.C.; Chang, H.-D.; Jhan, J.-J.; Chen, C.-M. Electropolymerization of poly(spiroBiProDOT) on counter electrodes for platinum-free dye-sensitized solar cells. J. Mater. Chem. C 2021, 9, 12094–12101. [Google Scholar] [CrossRef]
- Heinze, J.; Frontana-Uribe, B.A.; Ludwigs, S. Electrochemistry of Conducting Polymers—Persistent Models and New Concepts. Chem. Rev. 2010, 110, 4724–4771. [Google Scholar] [CrossRef] [PubMed]
- Roncali, J. Conjugated poly(thiophenes): Synthesis, functionalization, and applications. Chem. Rev. 1992, 92, 711–738. [Google Scholar] [CrossRef]
- Czichy, M.; Janasik, P.; Wagner, P.; Officer, D.; Lapkowski, M. Electrochemical and Spectroelectrochemical Studies on the Reactivity of Perimidine–Carbazole–Thiophene Monomers towards the Formation of Multidimensional Macromolecules versus Stable π-Dimeric States. Materials 2021, 14, 2167. [Google Scholar] [CrossRef]
- Karon, K.; Lapkowski, M. Carbazole electrochemistry: A short review. J. Solid State Electrochem. 2015, 19, 2601–2610. [Google Scholar] [CrossRef]
- Łaba, K.; Data, P.; Zassowski, P.; Karon, K.; Lapkowski, M.; Wagner, P.; Officer, D.L.; Wallace, G. Electrochemically Induced Synthesis of Poly(2,6-carbazole). Macromol. Rapid Commun. 2015, 36, 1749–1755. [Google Scholar] [CrossRef]
- Czichy, M.; Zassowski, P.; Jarosz, T.; Gońka, E.; Janiga, E.; Stępień, M.; Łapkowski, M. Mechanism of 3,4-diarylpyrrole electrooxidation. Electrochim. Acta 2016, 200, 296–304. [Google Scholar] [CrossRef]
- Krukiewicz, K.; Jarosz, T.; Herman, A.P.; Turczyn, R.; Boncel, S.; Zak, J.K. The effect of solvent on the synthesis and physicochemical properties of poly(3,4-ethylenedioxypyrrole). Synth. Met. 2016, 217, 231–236. [Google Scholar] [CrossRef]
- Jarosz, T.; Data, P.; Domagala, W.; Kuznik, W.; Kotwica, K.; Lapkowski, M. Solubility controlled electropolymerisation and study of the impact of regioregularity on the spectroelectrochemical properties of thin films of poly(3-octylthiophenes). Electrochim. Acta 2014, 122, 66–71. [Google Scholar] [CrossRef]
- Geniès, E.; Boyle, A.; Lapkowski, M.; Tsintavis, C. Polyaniline: A historical survey. Synth. Met. 1990, 36, 139–182. [Google Scholar] [CrossRef]
- Lapkowski, M.; Geniés, E. Evidence of two kinds of spin in polyaniline from in situ EPR and electrochemistry. J. Electroanal. Chem. Interfacial Electrochem. 1990, 279, 157–168. [Google Scholar] [CrossRef]
- Genies, E.; Lapkowski, M. Spectroelectrochemical evidence for an intermediate in the electropolymerization of aniline. J. Electroanal. Chem. Interfacial Electrochem. 1987, 236, 189–197. [Google Scholar] [CrossRef]
- Geniès, E.; Lapkowski, M.; Penneau, J. Cyclic voltammetry of polyaniline: Interpretation of the middle peak. J. Electroanal. Chem. Interfacial Electrochem. 1988, 249, 97–107. [Google Scholar] [CrossRef]
- Cobet, C.; Oppelt, K.T.; Hingerl, K.; Neugebauer, H.; Knör, G.; Sariciftci, N.S.; Gasiorowski, J. Ellipsometric Spectroelectrochemistry: An in Situ Insight in the Doping of Conjugated Polymers. J. Phys. Chem. C 2018, 122, 24309–24320. [Google Scholar] [CrossRef]
- Kepska, K.; Jarosz, T.; Januszkiewicz-Kaleniak, A.; Domagala, W.; Lapkowski, M.; Stolarczyk, A. Spectroelectrochemistry of poly(3-hexylthiophenes) in solution. Chem. Pap. 2017, 72, 251–259. [Google Scholar] [CrossRef]
- Blacha-Grzechnik, A.; Karon, K.; Data, P. Raman and IR Spectroelectrochemical Methods as Tools to Analyze Conjugated Organic Compounds. J. Vis. Exp. 2018, 2018, e56653. [Google Scholar] [CrossRef]
- Wright, I.A.; Findlay, N.J.; Arumugam, S.; Inigo, A.R.; Kanibolotsky, A.L.; Zassowski, P.; Domagala, W.; Skabara, P.J. Fused H-shaped tetrathiafulvalene–oligothiophenes as charge transport materials for OFETs and OPVs. J. Mater. Chem. C 2014, 2, 2674–2683. [Google Scholar] [CrossRef]
- Ledwon, P.; Turczyn, R.; Idzik, K.R.; Beckert, R.; Frydel, J.; Lapkowski, M.; Domagala, W. Doping behaviour of electrochemically generated model bithiophene meta-substituted star shaped oligomer. Mater. Chem. Phys. 2014, 147, 254–260. [Google Scholar] [CrossRef]
- Gadgil, B.; Damlin, P.; Dmitrieva, E.; Ääritalo, T.; Kvarnström, C. ESR/UV-Vis-NIR spectroelectrochemical study and electrochromic contrast enhancement of a polythiophene derivative bearing a pendant viologen. RSC Adv. 2015, 5, 42242–42249. [Google Scholar] [CrossRef]
- Klod, S.; Haubner, K.; Jähne, E.; Dunsch, L. Charge stabilisation by dimer formation of an endcapped thiophene tetramer—An in situ NMR spectroelectrochemical study. Chem. Sci. 2010, 1, 743–750. [Google Scholar] [CrossRef]
- Gribkova, O.L.; Nekrasov, A.A. Spectroelectrochemistry of Electroactive Polymer Composite Materials. Polymers 2022, 14, 3201. [Google Scholar] [CrossRef] [PubMed]
- Pluczyk, S.; Vasylieva, M.; Data, P. Using Cyclic Voltammetry, UV-Vis-NIR, and EPR Spectroelectrochemistry to Analyze Organic Compounds. J. Vis. Exp. 2018, 140, e56656. [Google Scholar] [CrossRef]
- Jarosz, T.; Brzeczek, A.; Walczak, K.; Lapkowski, M.; Domagala, W. Multielectrochromism of redox states of thin electropolymerised films of poly(3-dodecylpyrrole) involving a black coloured state. Electrochim. Acta 2014, 137, 595–601. [Google Scholar] [CrossRef]
- Łapkowski, M.; Data, P.; Nowakowska-Oleksy, A.; Sołoducho, J.; Roszak, S. Electrochemical characterization of alternate conducting carbazole–bisthiophene units. Mater. Chem. Phys. 2012, 131, 757–763. [Google Scholar] [CrossRef]
- Beaujuge, P.M.; Reynolds, J.R. Color Control in π-Conjugated Organic Polymers for Use in Electrochromic Devices. Chem. Rev. 2010, 110, 268–320. [Google Scholar] [CrossRef]
- Domagala, W.; Pilawa, B.; Lapkowski, M. Quantitative in-situ EPR spectroelectrochemical studies of doping processes in poly(3,4-alkylenedioxythiophene)s. Electrochim. Acta 2008, 53, 4580–4590. [Google Scholar] [CrossRef]
- Zając, D.; Sołoducho, J.; Jarosz, T.; Lapkowski, M.; Roszak, S. Conjugated silane-based arylenes as luminescent materials. Electrochim. Acta 2015, 173, 105–116. [Google Scholar] [CrossRef]
- Sadowski, B.; Kaliszewska, M.; Poronik, Y.M.; Czichy, M.; Janasik, P.; Banasiewicz, M.; Mierzwa, D.; Gadomski, W.; Lohrey, T.D.; Clark, J.A.; et al. Potent strategy towards strongly emissive nitroaromatics through a weakly electron-deficient core. Chem. Sci. 2021, 12, 14039–14049. [Google Scholar] [CrossRef]
- Pluczyk, S.; Zassowski, P.; Rybakiewicz, R.; Wielgosz, R.; Zagorska, M.; Lapkowski, M.; Pron, A. UV-vis and EPR spectroelectrochemical investigations of triarylamine functionalized arylene bisimides. RSC Adv. 2014, 5, 7401–7412. [Google Scholar] [CrossRef]
- Pluczyk-Malek, S.; Honisz, D.; Akkuratov, A.; Troshin, P.; Lapkowski, M. Tuning the electrochemical and optical properties of donor-acceptor D-A2-A1-A2-D derivatives with central benzothiadiazole core by changing the A2 strength. Electrochim. Acta 2020, 368, 137540. [Google Scholar] [CrossRef]
- Rybakiewicz, R.; Glowacki, E.D.; Skorka, L.; Pluczyk, S.; Zassowski, P.; Apaydin, D.H.; Lapkowski, M.; Zagorska, M.; Pron, A. Low and High Molecular Mass Dithienopyrrole-Naphthalene Bisimide Donor-Acceptor Compounds: Synthesis, Electrochemical and Spectroelectrochemical Behaviour. Chem.—Eur. J. 2017, 23, 2839–2851. [Google Scholar] [CrossRef] [PubMed]
- Zassowski, P.; Golba, S.; Skorka, L.; Szafraniec-Gorol, G.; Matussek, M.; Zych, D.; Danikiewicz, W.; Krompiec, S.; Lapkowski, M.; Slodek, A.; et al. Spectroelectrochemistry of alternating ambipolar copolymers of 4,4′- and 2,2′-bipyridine isomers and quaterthiophene. Electrochim. Acta 2017, 231, 437–452. [Google Scholar] [CrossRef]
- Pander, P.; Motyka, R.; Zassowski, P.; Lapkowski, M.; Swist, A.; Data, P. Electrochromic Properties of Novel Selenophene and Tellurophene Derivatives Based on Carbazole and Triphenylamine Core. J. Phys. Chem. C 2017, 121, 11027–11036. [Google Scholar] [CrossRef]
- Zykwinska, A.; Domagala, W.; Pilawa, B.; Lapkowski, M. Electrochemical overoxidation of poly(3,4-ethylenedioxythiophene)—PEDOT studied by means of in situ ESR spectroelectrochemistry. Electrochim. Acta 2005, 50, 1625–1633. [Google Scholar] [CrossRef]
- Schiavon, G.; Sitran, S.; Zotti, G. A simple two-band electrode for in situ conductivity measurements of polyconjugated conducting polymers. Synth. Met. 1989, 32, 209–217. [Google Scholar] [CrossRef]
- Xue, W.; Jiang, X.; Harima, Y. New Four-Band Electrode Fabrication To Measure in Situ Electrical Property of Conducting Polymers. Anal. Chem. 2009, 81, 2364–2372. [Google Scholar] [CrossRef]
- Salinas, G.; Frontana-Uribe, B.A. Analysis of Conjugated Polymers Conductivity by in situ Electrochemical-Conductance Method. ChemElectroChem 2019, 6, 4105–4117. [Google Scholar] [CrossRef]
- Grądzka, E.; Wysocka-Żołopa, M.; Winkler, K. In Situ Conductance Studies of Two-Component C60-Pd Polymer. J. Phys. Chem. C 2014, 118, 14061–14072. [Google Scholar] [CrossRef]
- Shibuya, M.; Nishina, T.; Matsue, T.; Uchida, I. In Situ Conductivity Measurements of LiCoO2 Film during Lithium Insertion/Extraction by Using Interdigitated Microarray Electrodes. J. Electrochem. Soc. 1996, 143, 3157–3160. [Google Scholar] [CrossRef]
- Jarosz, T.; Kepska, K.; Ledwon, P.; Procek, M.; Domagala, W.; Stolarczyk, A. Poly(3-hexylthiophene) Grafting and Molecular Dilution: Study of a Class of Conjugated Graft Copolymers. Polymers 2019, 11, 205. [Google Scholar] [CrossRef] [PubMed]
- Jarosz, T.; Gebka, K.; Kepska, K.; Lapkowski, M.; Ledwon, P.; Nitschke, P.; Stolarczyk, A. Investigation of the Effects of Non-Conjugated Co-Grafts on the Spectroelectrochemical and Photovoltaic Properties of Novel Conjugated Graft Copolymers Based on Poly(3-hexylthiophene). Polymers 2018, 10, 1064. [Google Scholar] [CrossRef] [PubMed]
- Ledwon, P.; Ovsiannikova, D.; Jarosz, T.; Gogoc, S.; Nitschke, P.; Domagala, W. Insight into the properties and redox states of n-dopable conjugated polymers based on naphtalene diimide units. Electrochim. Acta 2019, 307, 525–535. [Google Scholar] [CrossRef]
- Peintler-Kriván, E.; Tóth, P.S.; Visy, C. Combination of in situ UV–Vis-NIR spectro-electrochemical and a.c. impedance measurements: A new, effective technique for studying the redox transformation of conducting electroactive materials. Electrochem. Commun. 2009, 11, 1947–1950. [Google Scholar] [CrossRef]
- Chua, M.H.; Tang, T.; Ong, K.H.; Neo, W.T.; Xu, J.W. Chapter 1. Introduction to Electrochromism. In Electrochromic Smart Materials: Fabrication and Applications; Xu, J.W., Chua, M.H., Shah, K.W., Eds.; Royal Society of Chemistry (RSC): London, UK, 2019; pp. 1–21. [Google Scholar]
- Niu, J.; Wang, Y.; Zou, X.; Tan, Y.; Jia, C.; Weng, X.; Deng, L. Infrared electrochromic materials, devices and applications. Appl. Mater. Today 2021, 24, 101073. [Google Scholar] [CrossRef]
- Assis, L.; Sabadini, R.; Santos, L.; Kanicki, J.; Łapkowski, M.; Pawlicka, A. Electrochromic device with Prussian blue and HPC-based electrolyte. Electrochim. Acta 2015, 182, 878–883. [Google Scholar] [CrossRef]
- de Assis, L.M.N.; Ponez, L.; Januszko, A.; Grudzinski, K.; Pawlicka, A. A green-yellow reflective electrochromic device. Electrochim. Acta 2013, 111, 299–304. [Google Scholar] [CrossRef]
- Niklasson, G.A.; Granqvist, C.G. Electrochromics for smart windows: Thin films of tungsten oxide and nickel oxide, and devices based on these. J. Mater. Chem. 2006, 17, 127–156. [Google Scholar] [CrossRef]
- Jarosz, T.; Gebka, K.; Stolarczyk, A.; Domagala, W. Transparent to Black Electrochromism—The “Holy Grail” of Organic Optoelectronics. Polymers 2019, 11, 273. [Google Scholar] [CrossRef]
- Lv, X.; Li, W.; Ouyang, M.; Zhang, Y.; Wright, D.S.; Zhang, C. Polymeric electrochromic materials with donor–acceptor structures. J. Mater. Chem. C 2016, 5, 12–28. [Google Scholar] [CrossRef]











Publisher’s Note: MDPI stays neutral with regard to jurisdictional claims in published maps and institutional affiliations. |
© 2022 by the authors. Licensee MDPI, Basel, Switzerland. This article is an open access article distributed under the terms and conditions of the Creative Commons Attribution (CC BY) license (https://creativecommons.org/licenses/by/4.0/).
Share and Cite
Ledwon, P.; Lapkowski, M. The Role of Electrochemical and Spectroelectrochemical Techniques in the Preparation and Characterization of Conjugated Polymers: From Polyaniline to Modern Organic Semiconductors. Polymers 2022, 14, 4173. https://doi.org/10.3390/polym14194173
Ledwon P, Lapkowski M. The Role of Electrochemical and Spectroelectrochemical Techniques in the Preparation and Characterization of Conjugated Polymers: From Polyaniline to Modern Organic Semiconductors. Polymers. 2022; 14(19):4173. https://doi.org/10.3390/polym14194173
Chicago/Turabian StyleLedwon, Przemyslaw, and Mieczyslaw Lapkowski. 2022. "The Role of Electrochemical and Spectroelectrochemical Techniques in the Preparation and Characterization of Conjugated Polymers: From Polyaniline to Modern Organic Semiconductors" Polymers 14, no. 19: 4173. https://doi.org/10.3390/polym14194173
APA StyleLedwon, P., & Lapkowski, M. (2022). The Role of Electrochemical and Spectroelectrochemical Techniques in the Preparation and Characterization of Conjugated Polymers: From Polyaniline to Modern Organic Semiconductors. Polymers, 14(19), 4173. https://doi.org/10.3390/polym14194173

