Recent Progress on Modified Gum Katira Polysaccharides and Their Various Potential Applications
Abstract
1. Introduction
2. Pharmacognostic Study of C. religiosum
3. Extraction, Isolation, and Purification of Gum Katira
4. Structure Elucidation of Gum Katira
5. Physicochemical Properties of Gum Katira and Characterizations
5.1. Fourier Transform Infrared (FTIR)
5.2. Differential Scanning Calorimetry (DSC)
5.3. Thermogravimetric Analysis (TGA)
5.4. Differential Thermal Gravimetry (DTG)
5.5. Rheological Properties
5.6. Powder X-ray Diffraction
5.7. Scanning Electron Microscopy (SEM)
5.8. Gum Katira Toxicity Studies
6. Methods Used to Modify Gum Katira
6.1. Carboxymethylation
6.2. Graft Polymerization
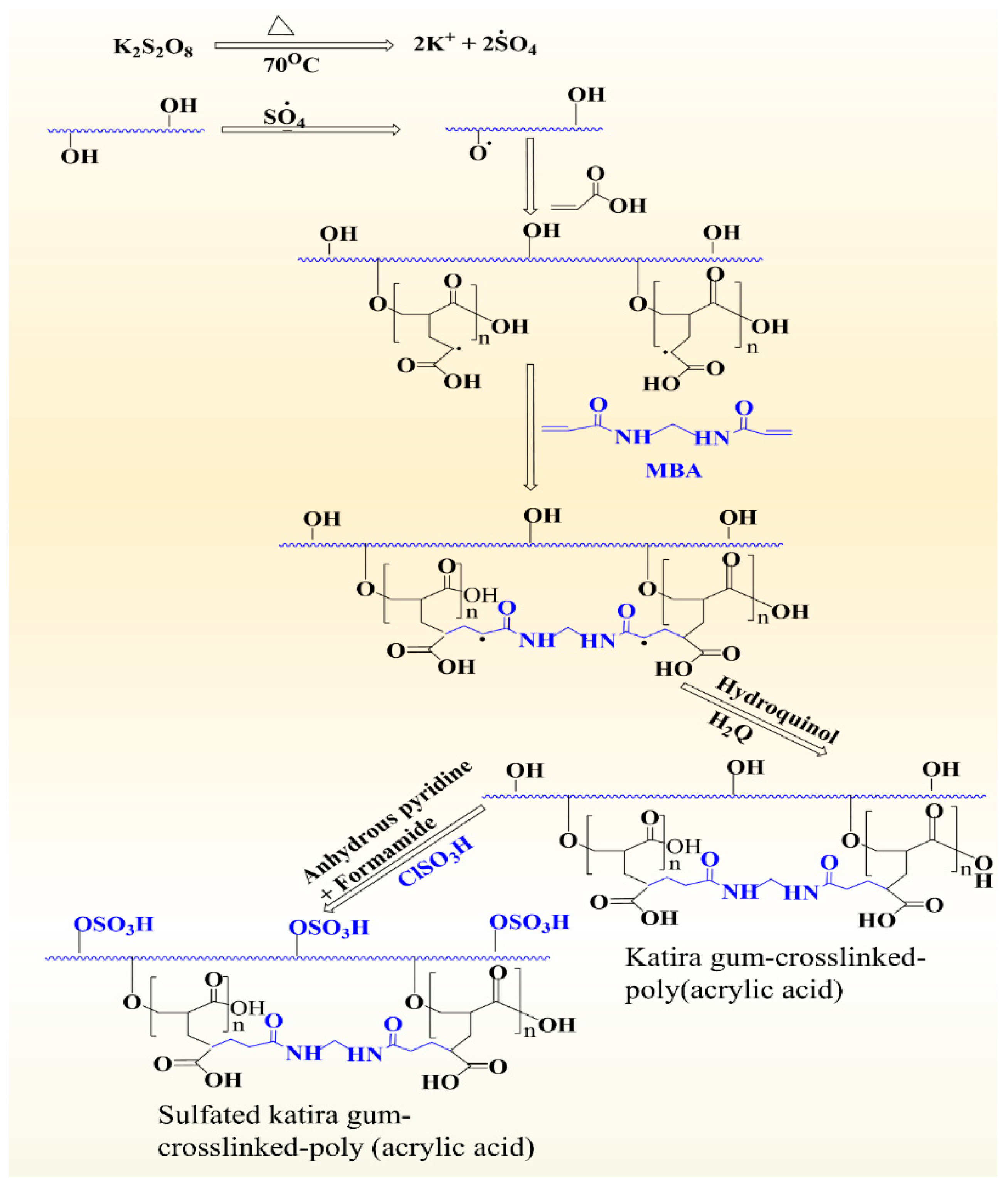
6.3. Synthesis of Grafted and Crosslinked Katira Gum by Free Radical Initiation
7. Applications of Gum Katira Polysaccharide
7.1. Gum Katira in Matrix Tablets
7.2. Gum Katira as a Gel
7.3. Gum Katira-Based Polymeric Microspheres
7.4. Gum Katira as Suspending Agent
7.5. Derivatized Gum Katira–Polyelectrolyte Complex-Based Nanoparticles
7.6. Gum Katira in Ayurvedic Medicine
7.7. Gum Katira Acts as a Catalyst for Nanoparticle Synthesis
7.8. Gum Katira in Tissue Culture
8. Impact of Modified Gum Katira on Toxic Dye Removal from Wastewater
8.1. Removal or Adsorption of Heavy Metals
8.2. Removal of Dyes
9. Conclusions and Future Scope for the Development of Gum Katira Polysaccharide
Author Contributions
Funding
Institutional Review Board Statement
Informed Consent Statement
Conflicts of Interest
References
- Bashir, S.; Teo, Y.Y.; Ramesh, S.; Ramesh, K. Synthesis and characterization of karaya gum-g-poly (acrylic acid) hydrogels and in vitro release of hydrophobic quercetin. Polymer 2018, 147, 108–120. [Google Scholar] [CrossRef]
- Mohammed, A.S.A.; Naveed, M.; Jost, N. Polysaccharides; Classification, Chemical Properties, and Future Perspective Applications in Fields of Pharmacology and Biological Medicine (A Review of Current Applications and Upcoming Potentialities). J. Polym. Environ. 2021, 29, 2359–2371. [Google Scholar] [CrossRef] [PubMed]
- Derkach, S.R.; Voron’ko, N.G.; Kuchina, Y.A. Intermolecular Interactions in the Formation of Polysaccharide-Gelatin Complexes: A Spectroscopic Study. Polymers 2022, 14, 2777. [Google Scholar] [CrossRef]
- Aanisah, N.; Wardhana, Y.W.; Chaerunisaa, A.Y.; Budiman, A. Review on Modification of Glucomannan as an Excipient in Solid Dosage Forms. Polymers 2022, 14, 2550. [Google Scholar] [CrossRef]
- Falua, K.J.; Pokharel, A.; Babaei-Ghazvini, A.; Ai, Y.; Acharya, B. Valorization of Starch to Biobased Materials: A Review. Polymers 2022, 14, 2215. [Google Scholar] [CrossRef]
- Pawar, H.A.; Lalitha, K.G.; Ruckmani, K. Alginate beads of captopril using galactomannan containing Senna tora gum, guar gum and locust bean gum. Int. J. Biol. Macromol. 2015, 76, 119–131. [Google Scholar] [CrossRef]
- Prajapati, V.D.; Jani, G.K.; Moradiya, N.G.; Randeria, N.P.; Nagar, B.J. Locust bean gum: A versatile biopolymer. Carbohydr. Polym. 2013, 94, 814–821. [Google Scholar] [CrossRef]
- Griffiths, J.S.; North, H.M. Sticking to cellulose: Exploiting Arabidopsis seed coat mucilage to understand cellulose biosynthesis and cell wall polysaccharide interactions. New Phytol. 2017, 214, 959–966. [Google Scholar] [CrossRef]
- Barak, S.; Mudgil, D.; Taneja, S. Exudate gums: Chemistry, properties and food application—A review. J. Sci. Food Agric. 2020, 100, 2828–2835. [Google Scholar] [CrossRef]
- Miao, T.; Wang, J.; Zeng, Y.; Liu, G.; Chen, X. Polysaccharide-based controlled release systems for therapeutics delivery and tissue engineering: From bench to bedside. Adv. Sci. 2018, 5, 1700513. [Google Scholar] [CrossRef]
- Jin, M.; Shi, J.; Zhu, W.; Yao, H.; Wang, D.-A. Polysaccharide-Based Biomaterials in Tissue Engineering: A Review. Tissue Eng. Part B Rev. 2021, 27, 604–626. [Google Scholar] [CrossRef] [PubMed]
- Puppi, D.; Chiellini, F. Biodegradable polymers for biomedical additive manufacturing. Appl. Mater. Today 2020, 20, 100700. [Google Scholar] [CrossRef]
- Jana, S.; Ray, J.; Mondal, B.; Pradhan, S.S.; Tripathy, T. pH responsive adsorption/desorption studies of organic dyes from their aqueous solutions by katira gum-cl-poly (acrylic acid-co-N-vinyl imidazole) hydrogel. Colloids Surf. A Physicochem. Eng. Asp. 2018, 553, 472–486. [Google Scholar] [CrossRef]
- Bertolino, V.; Cavallaro, G.; Milioto, S.; Lazzara, G. Polysaccharides/Halloysite nanotubes for smart bionanocomposite materials. Carbohydr. Polym. 2020, 245, 116502. [Google Scholar] [CrossRef] [PubMed]
- Jana, S.; Ray, J.; Jana, D.; Mondal, B.; Bhanja, S.K.; Tripathy, T. Removal of vanadium (IV) from water solution by sulfated Katira gum-cl-poly (acrylic acid) hydrogel. Colloids Surf. A Physicochem. Eng. Asp. 2019, 566, 70–83. [Google Scholar] [CrossRef]
- Patrakar Ramling, G.; Bhusnure Omprakash, G. Pharmacognostic Investigation of Leaves and Bark of Cochlospermum religiosum Linn. J. Univ. Shanghai Sci. Technol. 2021, 23, 454–462. [Google Scholar]
- Sharma, V.K.; Mazumdar, B. Feasibility and characterization of gummy exudate of Cochlospermum religiosum as pharmaceutical excipient. Ind. Crops Prod. 2013, 50, 776–786. [Google Scholar] [CrossRef]
- Izydorczyk, M.; Cui, S.W.; Wang, Q. Polysaccharide gums: Structures, functional properties, and applications. Food Carbohydr. Chem. Phys. Prop. Appl. 2005, 293, 299. [Google Scholar]
- Hirst, E.L.; Dunstan, S. 476. The structure of karaya gum (Cochlospermum gossypium). J. Chem. Soc. Resumed 1953, 476, 2332–2337. [Google Scholar] [CrossRef]
- Karan, S.; Choudhury, H.; Chakra, B.K.; Chatterjee, T.K. Polymeric microsphere formulation for Colon targeted delivery of 5-fluorouracil using biocompatible natural gum Katira. Asian Pac. J. Cancer Prev. 2019, 20, 2181. [Google Scholar] [CrossRef]
- Ruhidas, B.; Ray, R.; Naskar, D.; Chakra, B.K.; Chatterjee, T.K. Pharmacological and toxicological investigations of etodolac loaded gum katira microspheres prepared by W1/O/W2 emulsion solvent evaporation technique in rats. Braz. J. Pharm. Sci. 2018, 53, e00212. [Google Scholar]
- Ahuja, M.; Bhatt, D.C. Carboxymethyl gum katira: Synthesis, characterization, and evaluation for nanoparticulate drug delivery. RSC Adv. 2015, 5, 82363–82373. [Google Scholar]
- Bernela, M.; Ahuja, M.; Thakur, R. Enhancement of anti-inflammatory activity of glycyrrhizic acid by encapsulation in chitosan-katira gum nanoparticles. Eur. J. Pharm. Biopharm. 2016, 105, 141–147. [Google Scholar] [PubMed]
- Kirtikar, K.R.; Basu, B.D. Indian Medicinal Plant: Cochlospermaceae; Blatter, E., Caius, J.F., Mhaskar, K.S., Eds.; Periodical Experts: Dehradun, India, 1998; p. 214. [Google Scholar]
- Kolya, H.; Jana, D.; Sasmal, D.; Jana, S.; Tripathy, T. Sulfated katira gum-graft-poly (N-vinyl imidazole): A useful scavenger of mercury (II) ions. J. Appl. Polym. Sci. 2017, 134, 44565. [Google Scholar]
- Jana, S.; Ray, J.; Mondal, B.; Tripathy, T. Efficient and selective removal of cationic organic dyes from their aqueous solutions by a nanocomposite hydrogel, katira gum-cl-poly (acrylic acid-co-N, N-dimethylacrylamide)@ bentonite. Appl. Clay Sci. 2019, 173, 46–64. [Google Scholar]
- Bernela, M.; Ahuja, M.; Thakur, R. Enhancement of anti-inflammatory activity of bromelain by its encapsulation in katira gum nanoparticles. Carbohydr. Polym. 2016, 143, 18–24. [Google Scholar]
- Bharaniraja, B.; Jayaram Kumar, K.; Prasad, C.M.; Sen, A.K. Modified katira gum for colon targeted drug delivery. J. Appl. Polym. Sci. 2016, 119, 2644–2651. [Google Scholar] [CrossRef]
- Bharaniraja, B.; Kumar, K.J.; Prasad, C.M.; Sen, A.K. Different approaches of katira gum formulations for colon targeting. Int. J. Biol. Macromol. 2011, 49, 305–310. [Google Scholar]
- Feng, C.; Li, Y.; Yang, D.; Hu, J.; Zhang, X.; Huang, X. Well-defined graft copolymers: From controlled synthesis to multipurpose applications. Chem. Soc. Rev. 2011, 40, 1282–1295. [Google Scholar]
- Çankaya, N.; Temüz, M.M. Characterization and Monomer Reactivity Ratios of Grafted Cellulose with N-(4-Nitrophenyl) acrylamide and methyl methacrylate by atom transfer radical polymerization. Cellul. Chem. Technol. 2012, 46, 551–558. [Google Scholar]
- Fritz, A.T.; Cazotti, J.C.; Garcia-Valdez, O.; Smeets, N.M.B.; Dubé, M.A.; Cunningham, M.F. Graft modification of cold water-soluble starch via nitroxide-mediated polymerisation. Polym. Chem. 2020, 11, 4180–4191. [Google Scholar]
- Raj, V.; Shim, J.-J.; Lee, J. Grafting modification of okra mucilage: Recent findings, applications, and future directions. Carbohydr. Polym. 2020, 246, 116653. [Google Scholar] [PubMed]
- Ghosh, S.; Sen, G.; Jha, U.; Pal, S. Novel biodegradable polymeric flocculant based on polyacrylamide-grafted tamarind kernel polysaccharide. Bioresour. Technol. 2010, 101, 9638–9644. [Google Scholar]
- Sinnwell, S.; Ritter, H. Recent advances in microwave-assisted polymer synthesis. Aust. J. Chem. 2007, 60, 729–743. [Google Scholar]
- Sosnik, A.; Gotelli, G.; Abraham, G.A. Microwave-assisted polymer synthesis (MAPS) as a tool in biomaterials science: How new and how powerful. Prog. Polym. Sci. 2011, 36, 1050–1078. [Google Scholar]
- Kartik, R.; Dhamodharan, R. Advances in chitosan-based hydrogels: Evolution from covalently crosslinked systems to ionotropically crosslinked superabsorbents. React. Funct. Polym. 2020, 149, 104517. [Google Scholar]
- Bhuyan, M.M.; Adala, O.B.; Okabe, H.; Hidaka, Y.; Hara, K. Selective adsorption of trivalent metal ions from multielement solution by using gamma radiation-induced pectin-acrylamide-(2-Acrylamido-2-methyl-1-propanesulfonic acid) hydrogel. J. Environ. Chem. Eng. 2019, 7, 102844. [Google Scholar]
- Preetha, B.K.; Vishalakshi, B. Microwave assisted synthesis of karaya gum based montmorillonite nanocomposite: Characterisation, swelling and dye adsorption studies. Int. J. Biol. Macromol. 2020, 154, 739–750. [Google Scholar]
- Preetha, B.K.; Badalamoole, V. Modification of Karaya gum by graft copolymerization for effective removal of anionic dyes. Sep. Sci. Technol. 2019, 54, 2638–2652. [Google Scholar]
- Johnson-Fulton, S.B.; Watson, L.E. Comparing medicinal uses of Cochlospermaceae throughout its geographic range with insights from molecular phylogenetics. Diversity 2018, 10, 123. [Google Scholar]
- Arulappan, M.T.; Britto, S.J.; Ruckmani, K.; Kumar, R.M. An ethnobotanical study of medicinal plants used by ethnic people in Gingee hills, Villupuram district, Tamilnadu, India. Am. J. Ethnomedicine 2015, 2, 2348–9502. [Google Scholar]
- Dahare, D.K.; Jain, A. Ethnobotanical Studies on Plant Resources of Tahsil Multai, District Betul, Madhya Pradesh, India. Ethnobot. Leafl. 2010, 2010, 7. [Google Scholar]
- Goel, A.K.; Sahoo, A.K.; Mudgal, V. A contribution to the ethnobotany of Santal Pargana. BSI Howrah 1984, 23, 14. [Google Scholar]
- Jain, S.K. Dictionary of Indian Folk Medicine and Ethnobotany; Deep Publications: New Delhi, India, 1991. [Google Scholar]
- Savithramma, N.; Yugandhar, P.; Babu, R.H.; Prasad, K.S. Validation of indigenous knowledge of Yanadi tribe and local villagers of Veyilingalakona—A sacred grove of Andhra Pradesh, India. J. Pharm. Sci. Res. 2014, 6, 382. [Google Scholar]
- Kirtikar, K.R.; Basu, B.D. Indian Medicinal Plants, 2nd ed.; M/S Bishen Singh Pal Singh: Delhi, India, 1975; pp. 1465–1472. [Google Scholar]
- Satyavathi, K.; Satyavani, S.; Padal, T.S.N.; Padal, S.B. Ethnomedicinal plants used by primitive tribal of Pedabayalu Mandalam, Visakhapatnam District, AP, India. Int. J. Ethnobiol. Ethnomedicine 2014, 1, 1–7. [Google Scholar]
- Gahane, R.N.; Kogje, K.K. Effect of pre-treatments for enhancing the germination of Adansonia digitata L. and Cochlospermum religiosum L. Indian For. 2013, 139, 648–651. [Google Scholar]
- Khatoon, S.; Irshad, S. Bark drugs as Indian ethnomedicine—Modern therapeutics and future prospects. In Indian Ethnobotany: Emerging Trends; Jain, A.K., Ed.; Scientific Publisher: Jodhpur, India, 2016; pp. 87–98. [Google Scholar]
- Kotresha, K.; Harihar, N.S. Uses of Cochlospermum religiosum (L.) Alston [Cochlospermaceae]: An ethnomedicinal plant. Indian For. 2011, 137, 393–394. [Google Scholar]
- Mishra, T. Some potential folk herbal medicines for veterinary practices. Eur. J. Pharm. Med. Res. 2016, 3, 347–352. [Google Scholar]
- Rao, P.S.; Neelima, P.; Lakshminarayana, K.; Kumar, O.A. Important plant-based non-timber forest products of west Godavari district, Andhra Pradesh, India. J. Nat. Prod. Plant Resour. 2014, 4, 33–42. [Google Scholar]
- Swathi, B.G.; Smruthi, B.S.; Saima, B.; Kekuda, T.R.P. Insecticidal, antimicrobial and antioxidant activity and elemental analysis of Cochlospermum religiosum (L.) Alston (Bixaceae). J. Drug Deliv. Ther. 2019, 9, 422–428. [Google Scholar]
- Yarra, R.; Aileni, M.; Kokkirala, V.R.; Umate, P.; Vemunoori, A.K.; Abbagani, S. Micropropagation of Cochlospermum religiosum (L.) Alston. Tree For. Sci. Biotechnol. 2011, 5, 49–52. [Google Scholar]
- Kawde, A.B.; Batra, R.J.; Weginwar, R.G.; Akkewar, D.M.; Gond, G.S.; Aparna, Y. Preliminary phytochemical screening and bioevaluation studies of stem bark of Cochlospermum gossypium. Int. J. Res. Biosci. Agric. Technol. 2015, 1, 199–206. [Google Scholar]
- Pawandeep, S.; Rakesh, P.; Rohit, S. Hepatoprotective activity of Cochlospermum religiosum leaves extract against CCl4 and ethanol induced hepatic damage in rats. Int. J. Res. Appl. Sci. Eng. Technol. 2019, 7, 865–872. [Google Scholar] [CrossRef]
- Khyade, M.S.; Awasarkar, U.D.; Deshmukh, R.R.; Petkar, A.S. Ethnobotanical reports about few important diseases from Akole Tehasil of Ahmednagar District (MS) India. Asian J. Exp. Biol. Sci. 2010, 1, 393–403. [Google Scholar]
- Aspinall, G.O.; Hirst, E.L.; Johnston, M.J. The acidic sugar components of Cochlospermum gossypium gum. J. Chem. Soc. Resumed 1962, 536, 2785–2789. [Google Scholar] [CrossRef]
- Ojha, A.K.; Maiti, D.; Chandra, K.; Mondal, S.; Roy, D.D.S.K.; Ghosh, K.; Islam, S.S. Structural assignment of a heteropolysaccharide isolated from the gum of Cochlospermum religiosum (Katira gum). Carbohydr. Res. 2008, 343, 1222–1231. [Google Scholar] [CrossRef] [PubMed]
- Jagtap, S.D.; Deokule, S.S.; Bhosle, S.V. Some unique ethnomedicinal uses of plants used by the Korku tribe of Amravati district of Maharashtra, India. J. Ethnopharmacol. 2006, 107, 463–469. [Google Scholar] [CrossRef]
- Girotra, P.; Singh, S.K. Formulation optimization for colon targeted delivery of katira gum matrix tablets containing azathioprine. Int. J. Pharm. Sci. Drug Res. 2013, 5, 133–140. [Google Scholar]
- Liang, X.-X.; Gao, Y.-Y.; Pan, Y.; Zou, Y.-F.; He, M.; He, C.-L.; Lv, C. Purification, chemical characterization and antioxidant activities of polysaccharides isolated from Mycena dendrobii. Carbohydr. Polym. 2019, 203, 45–51. [Google Scholar] [CrossRef]
- Ren, J.; Hou, C.; Shi, C.; Lin, Z.; Liao, W.; Yuan, E. A polysaccharide isolated and purified from Platycladus orientalis (L.) Franco leaves, characterization, bioactivity and its regulation on macrophage polarization. Carbohydr. Polym. 2019, 213, 276–285. [Google Scholar] [CrossRef]
- Shi, L. Bioactivities, isolation and purification methods of polysaccharides from natural products: A review. Int. J. Biol. Macromol. 2016, 92, 37–48. [Google Scholar] [CrossRef] [PubMed]
- Chen, Y.; Xie, M.Y.; Wang, Y.X.; Nie, S.P.; Li, C. Analysis of the monosaccharide composition of purified polysaccharides in Ganoderma atrum by capillary gas chromatography: Phytochemical Analysis. Int. J. Plant Chem. Biochem. Tech. 2009, 20, 503–510. [Google Scholar]
- Gibeaut, D.M.; Carpita, N.C. Separation of membranes by flotation centrifugation for in vitro synthesis of plant cell wall polysaccharides. Protoplasma 1990, 156, 82–93. [Google Scholar] [CrossRef]
- Feng, S.; Luan, D.; Ning, K.; Shao, P.; Sun, P. Ultrafiltration isolation, hypoglycemic activity analysis and structural characterization of polysaccharides from Brasenia schreberi. Int. J. Biol. Macromol. 2019, 135, 141–151. [Google Scholar] [CrossRef]
- Ponnamma, P.; Manasa, G.; Sudarshana, M.S.; Murali, M.; Mahendra, C. In vitro antioxidant, antibacterial and phytochemical screening of Cochlospermum religiosum (L.) Alston-A potent medicinal plant. Trop. Plant Res. 2017, 4, 13–19. [Google Scholar] [CrossRef]
- Savithramma, N.; Rao, M.L.; Suhrulatha, D. Screening of medicinal plants for secondary metabolites. Middle-East J. Sci. Res. 2011, 8, 579–584. [Google Scholar]
- Devi, V.G.; Rooban, B.N.; Sasikala, V.; Sahasranamam, V.; Abraham, A. Isorhamnetin-3-glucoside alleviates oxidtive stress and opacification in selenite cataract in vitro. Toxicol. Vitr. 2010, 24, 1662–1669. [Google Scholar] [CrossRef]
- Ruhidas, B.; Naskar, D.; Banerjee, S.; Karan, S.; Chatterjee, T.K. Evaluation of gum katira as a model sustained release adjuvant in the preparation of etodolac loaded microsphere. Indian J. Pharm. Educ. Res. 2016, 50, 146–158. [Google Scholar] [CrossRef]
- Candadai, A.A.; Nadler, E.J.; Burke, J.S.; Weibel, J.A.; Marconnet, A.M. Thermal and mechanical characterization of high performance polymer fabrics for applications in wearable devices. Sci. Rep. 2021, 11, 8705. [Google Scholar] [CrossRef]
- Araújo, A.A.S.; Bezerra, M.D.S.; Storpirtis, S.; Matos, J.D.R. Determination of the melting temperature, heat of fusion, and purity analysis of different samples of zidovudine (AZT) using DSC. Braz. J. Pharm. Sci. 2010, 46, 37–43. [Google Scholar] [CrossRef]
- Johari, G.P.; Ram, S.; Astl, G.; Mayer, E. Characterizing amorphous and microcrystalline solids by calorimetry. J. Non-Cryst. Solids 1990, 116, 282–285. [Google Scholar] [CrossRef]
- Krueger, B.R.; Knutson, C.A.; Inglett, G.E.; Walker, C.E. A differential scanning calorimetry study on the effect of annealing on gelatinization behavior of corn starch. J. Food Sci. 1987, 52, 715–718. [Google Scholar] [CrossRef]
- Chowdhury, A.R.; Siddiqui, M.Z.; Prasad, N. Thermal Behaviour of Buchanania lanzan Gums Collected from Different Places. Int. J. Bioresour. Sci. 2018, 5, 117–121. [Google Scholar] [CrossRef]
- Zohuriaan, M.J.; Shokrolahi, F. Thermal studies on natural and modified gums. Polym. Test. 2004, 23, 575–579. [Google Scholar] [CrossRef]
- Bothara, S.B.; Singh, S. Thermal studies on natural polysaccharide. Asian Pac. J. Trop. Biomed. 2012, 2, S1031–S1035. [Google Scholar] [CrossRef]
- Giron, D. Thermal analysis of drugs and drug products. In Encyclopedia of Pharmaceutical Technology; CRC Press: Boca Raton, FL, USA, 2013. [Google Scholar]
- Hussein, B.Q.S.; Sharbazheri, K.M.I.; Ubaid, N.A.T. Comparison between the Effect of Local Katira Gum and Xanthan Gum on the Rheological Properties of Water-based Drilling Fluids. UHD J. Sci. Technol. 2020, 4, 18–27. [Google Scholar] [CrossRef]
- Meka, V.S.; Nali, S.R.; Songa, A.S.; Kolapalli, V.R.M. Characterization and in vitro drug release studies of a natural polysaccharide Terminalia catappa gum (Badam gum). AAPS PharmSciTech 2012, 13, 1451–1464. [Google Scholar] [CrossRef]
- Ahuja, M.; Kumar, A.; Singh, K. Synthesis, characterization, and in vitro release behavior of carboxymethyl xanthan. Int. J. Biol. Macromol. 2012, 51, 1086–1090. [Google Scholar] [CrossRef]
- Thakur, K.; Ahuja, M.; Kumar, A. Carboxymethyl functionalization of amylopectin and its evaluation as a nanometric drug carrier. Int. J. Biol. Macromol. 2013, 62, 25–29. [Google Scholar] [CrossRef]
- Mohanty, A.K.; Misra, M.; Drzal, L.T. Sustainable bio-composites from renewable resources: Opportunities and challenges in the green materials world. J. Polym. Environ. 2002, 10, 19–26. [Google Scholar] [CrossRef]
- Raj, V.; Lee, J.-H.; Shim, J.-J.; Lee, J. Recent findings and future directions of grafted gum karaya polysaccharides and their various applications: A review. Carbohydr. Polym. 2021, 258, 117687. [Google Scholar] [CrossRef] [PubMed]
- Yu, L.; Dean, K.; Li, L. Polymer blends and composites from renewable resources. Prog. Polym. Sci. 2006, 31, 576–602. [Google Scholar] [CrossRef]
- Lovegrove, A.; Edwards, C.H.; de Noni, I.; Patel, H.; El, S.N.; Grassby, T.; Butterworth, P.J. Role of polysaccharides in food, digestion, and health. Crit. Rev. Food Sci. Nutr. 2017, 57, 237–253. [Google Scholar] [CrossRef]
- Singh, B.; Chauhan, D. Barium ions crosslinked alginate and sterculia gum-based gastroretentive floating drug delivery system for use in peptic ulcers. Int. J. Polym. Mater. 2011, 60, 684–705. [Google Scholar] [CrossRef]
- Singh, B.; Sharma, V.; Pal, L. Formation of sterculia polysaccharide networks by gamma rays induced graft copolymerization for biomedical applications. Carbohydr. Polym. 2011, 86, 1371–1380. [Google Scholar] [CrossRef]
- Bal, T.; Yadav, S.K.; Rai, N.; Swain, S.; Garg, S.; Sen, G. In vitro evaluations of free radical assisted microwave irradiated polyacrylamide grafted cashew gum (CG) biocompatible graft copolymer (CG-g-PAM) as effective polymeric scaffold. J. Drug Deliv. Sci. Technol. 2020, 56, 101572. [Google Scholar] [CrossRef]
- Iqbal, H.M.N.; Kyazze, G.; Tron, T.; Keshavarz, T. Laccase-assisted approach to graft multifunctional materials of interest: Keratin-EC based novel composites and their characterisation. Macromol. Mater. Eng. 2015, 300, 712–720. [Google Scholar] [CrossRef]
- Sharma, R.; Rana, V. Effect of carboxymethylation on rheological and drug release characteristics of Terminalia catappa gum. Carbohydr. Polym. 2017, 175, 728–738. [Google Scholar] [CrossRef]
- Zhang, C.; Lim, S.-T.; Chung, H.-J. Physical modification of potato starch using mild heating and freezing with minor addition of gums. Food Hydrocoll. 2019, 94, 294–303. [Google Scholar] [CrossRef]
- Zhang, H.; Zhang, F.; Wu, J. Physically crosslinked hydrogels from polysaccharides prepared by freeze–thaw technique. React. Funct. Polym. 2013, 73, 923–928. [Google Scholar] [CrossRef]
- Alam, M.S.; Kaur, J.; Khaira, H.; Gupta, K. Extrusion and extruded products: Changes in quality attributes as affected by extrusion process parameters: A review. Crit. Rev. Food Sci. Nutr. 2016, 56, 445–473. [Google Scholar] [CrossRef] [PubMed]
- Espinosa-Solís, V.; García-Tejeda, Y.V.; Portilla-Rivera, O.M.; Barrera-Figueroa, V. Tailoring Olive Oil Microcapsules via Microfluidization of Pickering o/w Emulsions. Food Bioprocess Technol. 2021, 14, 1835–1843. [Google Scholar] [CrossRef]
- Malviya, R.; Tyagi, V.; Singh, D. Techniques of Mucilage and Gum Modification and their Effect on Hydrophilicity and Drug Release. Recent Pat. Drug Deliv. Formul. 2020, 14, 214–222. [Google Scholar] [CrossRef]
- BeMiller, J.N.; Whistler, R.L. Industrial Gums: Polysaccharides and Their Derivatives; Academic Press: Cambridge, MA, USA, 2012. [Google Scholar]
- Yalpani, M. Chemistry of polysaccharide modification and degradation. In Carbohydrates; Springer: Berlin/Heidelberg, Germany, 1999; pp. 294–318. [Google Scholar]
- Verraest, D.L.; Peters, J.A.; Batelaan, J.G.; van Bekkum, H. Carboxymethylation of inulin. Carbohydr. Res. 1995, 271, 101–112. [Google Scholar] [CrossRef]
- Haroon, M.; Wang, L.; Yu, H.; Ullah, R.S.; Khan, R.U.; Chen, Q.; Liu, J. Synthesis of carboxymethyl starch-g-polyvinylpyrolidones and their properties for the adsorption of Rhodamine 6G and ammonia. Carbohydr. Polym. 2018, 186, 150–158. [Google Scholar] [CrossRef] [PubMed]
- Stojanović, Ž.; Jeremić, K.; Jovanović, S. Synthesis of carboxymethyl starch. Starch-Stärke 2000, 52, 413–419. [Google Scholar] [CrossRef]
- Dey, P.; Sa, B.; Maiti, S. Carboxymethyl ethers of locust bean gum-a review. Int. J. Pharm. Pharm. Sci. 2011, 3, 4–7. [Google Scholar]
- Ahuja, M.; Singh, S.; Kumar, A. Evaluation of carboxymethyl gellan gum as a mucoadhesive polymer. Int. J. Biol. Macromol. 2013, 53, 114–121. [Google Scholar] [CrossRef]
- Araruna, F.B.; de Oliveira, T.M.; Quelemes, P.V.; de Araujo Nobre, A.R.; Placido, A.; Vasconcelos, A.G.; Delerue-Matos, C. Antibacterial application of natural and carboxymethylated cashew gum-based silver nanoparticles produced by microwave-assisted synthesis. Carbohydr. Polym. 2020, 241, 115260. [Google Scholar] [CrossRef]
- Iqbal, D.N.; Nazir, A.; Iqbal, M.; Yameen, M. Green synthesis and characterization of carboxymethyl guar gum: Application in textile printing technology. Green Process. Synth. 2020, 9, 212–218. [Google Scholar] [CrossRef]
- Rahman, M.; Hasan, M.; Nitai, A.S.; Nam, S.; Karmakar, A.K.; Ahsan, M.; Ahmed, M.B. Recent Developments of Carboxymethyl Cellulose. Polymers 2021, 13, 1345. [Google Scholar] [CrossRef]
- Chen, X.-G.; Park, H.-J. Chemical characteristics of O-carboxymethyl chitosans related to the preparation conditions. Carbohydr. Polym. 2003, 53, 355–359. [Google Scholar] [CrossRef]
- Yan, T.; Hui, W.; Zhu, S.; He, J.; Liu, Z.; Cheng, J. Carboxymethyl chitosan based redox-responsive micelle for near-infrared fluorescence image-guided photo-chemotherapy of liver cancer. Carbohydr. Polym. 2021, 253, 117284. [Google Scholar] [CrossRef] [PubMed]
- Odian, G. Principles of Polymerization; John Wiley & Sons: Hoboken, NJ, USA, 2004. [Google Scholar]
- Roy, D.; Semsarilar, M.; Guthrie, J.T.; Perrier, S. Cellulose modification by polymer grafting: A review. Chem. Soc. Rev. 2009, 38, 2046–2064. [Google Scholar] [CrossRef] [PubMed]
- Aly, A.A.; El-Bisi, M.K. Grafting of polysaccharides: Recent advances. Biopolym. Grafting 2018, 2018, 469–519. [Google Scholar]
- Gürdağ, G.; Sarmad, S. Cellulose graft copolymers: Synthesis, properties, and applications. In Polysaccharide Based Graft Copolymers; Springer: Berlin/Heidelberg, Germany, 2013; pp. 15–57. [Google Scholar]
- Kianfar, P.; Abate, M.T.; Trovato, V.; Rosace, G.; Ferri, A.; Bongiovanni, R.; Vitale, A. Surface functionalization of cotton fabrics by photo-grafting for pH sensing applications. Front. Mater. 2020, 7, 39. [Google Scholar] [CrossRef]
- Jana, S.; Ray, J.; Bhanja, S.K.; Tripathy, T. Removal of textile dyes from single and ternary solutions using poly (acrylamide-co-N-methylacrylamide) grafted katira gum hydrogel. J. Appl. Polym. Sci. 2018, 135, 44849. [Google Scholar] [CrossRef]
- Chinoune, K.; Bentaleb, K.; Bouberka, Z.; Nadim, A.; Maschke, U. Adsorption of reactive dyes from aqueous solution by dirty bentonite. Appl. Clay Sci. 2016, 123, 64–75. [Google Scholar] [CrossRef]
- Şahin, Ö.; Kaya, M.; Saka, C. Plasma-surface modification on bentonite clay to improve the performance of adsorption of methylene blue. Appl. Clay Sci. 2015, 116, 46–53. [Google Scholar] [CrossRef]
- Kim, E.H.; Lim, S.; Kim, T.E.; Jeon, I.O.; Choi, Y.S. Preparation of in situ injectable chitosan/gelatin hydrogel using an acid-tolerant tyrosinase. Biotechnol. Bioprocess Eng. 2018, 23, 500–506. [Google Scholar] [CrossRef]
- Miura, Y.; Ikeda, T.; Kobayashi, K. Chemoenzymatically synthesized glycoconjugate polymers. Biomacromolecules 2003, 4, 410–415. [Google Scholar] [CrossRef]
- Pillai, O.; Panchagnula, R. Polymers in drug delivery. Curr. Opin. Chem. Biol. 2001, 5, 447–451. [Google Scholar] [CrossRef]
- Boakye-Gyasi, M.E.; Owusu, F.W.A.; Entsie, P.; Agbenorhevi, J.K.; Banful, B.K.B.; Bayor, M.T. Pectin from okra (Abelmoschus esculentus L.) has potential as a drug release modifier in matrix tablets. Sci. World J. 2021, 2021, 6672277. [Google Scholar] [CrossRef]
- Elgaied-Lamouchi, D.; Descamps, N.; Lefevre, P.; Rambur, I.; Pierquin, J.Y.; Siepmann, F.; Muschert, S. Starch-based controlled release matrix tablets: Impact of the type of starch. J. Drug Deliv. Sci. Technol. 2021, 61, 102152. [Google Scholar] [CrossRef]
- Jani, G.K.; Shah, D.P.; Prajapati, V.D.; Jain, V.C. Gums and mucilages: Versatile excipients for pharmaceutical formulations. Asian J. Pharm. Sci. 2009, 4, 309–323. [Google Scholar]
- Li, L.; Zhang, X.; Gu, X.; Mao, S. Applications of natural polymeric materials in solid oral modified-release dosage forms. Curr. Pharm. Des. 2015, 21, 5854–5867. [Google Scholar] [CrossRef] [PubMed]
- Ogaji, I.J.; Nep, E.I.; Audu-Peter, J.D. Advances in natural polymers as pharmaceutical excipients. Pharm. Anal. Acta 2012, 3, 56278642. [Google Scholar] [CrossRef]
- Prajapati, V.D.; Jani, G.K.; Moradiya, N.G.; Randeria, N.P. Pharmaceutical applications of various natural gums, mucilages and their modified forms. Carbohydr. Polym. 2013, 92, 1685–1699. [Google Scholar] [CrossRef]
- Rahamathulla, M.; Saisivam, S.; Alshetaili, A.; Hani, U.; Gangadharappa, H.V.; Alshehri, S.; Shakeel, F. Design and Evaluation of Losartan Potassium Effervescent Floating Matrix Tablets: In Vivo X-ray Imaging and Pharmacokinetic Studies in Albino Rabbits. Polymers 2021, 13, 3476. [Google Scholar] [CrossRef]
- Yahoum, M.M.; Lefnaoui, S.; Moulai-Mostefa, N. Design and evaluation of sustained release hydrophilic matrix tablets of Piroxicam based on carboxymethyl xanthan derivatives. Soft Mater. 2021, 19, 178–191. [Google Scholar] [CrossRef]
- Singh, I.; Kumar, P.; Kumar, S.; Rana, V. Formulation and development of matrix tablets of tramadol using katira gum as release modifier. Yakugaku Zasshi 2010, 130, 1225–1231. [Google Scholar] [CrossRef] [PubMed][Green Version]
- Girotra, P.; Singh, S.K. The therapeutic efficacy of katira gum in burn injury healing. World J. Pharm. Res. 2013, 2, 2587–2595. [Google Scholar]
- Ozay, H.; Ilgin, P.; Ozyurt, C.; Ozay, O. The single-step synthesis of thiol-functionalized phosphazene-based polymeric microspheres as drug carrier. Polym.-Plast. Technol. Mater. 2020, 59, 1944–1955. [Google Scholar] [CrossRef]
- Pathak, S.; Regmi, S.; Nepal, M.R.; Shrestha, P.; Choi, J.U.; Yook, S.; Jeong, J.-H. Single-dose intraperitoneal delivery of FK506-encapsulated polymeric microspheres for the alleviation of murine colitis. J. Ind. Eng. Chem. 2020, 91, 121–128. [Google Scholar] [CrossRef]
- Alange, V.V.; Birajdar, R.P.; Kulkarni, R.V. Functionally modified polyacrylamide-graft-gum karaya pH-sensitive spray dried microspheres for colon targeting of an anti-cancer drug. Int. J. Biol. Macromol. 2017, 102, 829–839. [Google Scholar] [CrossRef] [PubMed]
- Sinha, V.R.; Kumria, R. Microbially triggered drug delivery to the colon. Eur. J. Pharm. Sci. 2003, 18, 3–18. [Google Scholar] [CrossRef]
- Lachman, L.; Lieberman, H.A.; Kanig, J.L. The Theory and Practice of Industrial Pharmacy; Lea & Febiger: Philadelphia, PA, USA, 1976. [Google Scholar]
- Singh, I.; Singh, A.; ThAKur, G.; OdEKu, O.A. Assessment of suspending properties of katira gum: Formulation and evaluation of Nimesulide suspension. J. Pharm. Technol. Res. Manag. 2013, 1, 205–215. [Google Scholar] [CrossRef]
- Dubashynskaya, N.V.; Raik, S.V.; Dubrovskii, Y.A.; Shcherbakova, E.S.; Demyanova, E.V.; Shasherina, A.Y.; Skorik, Y.A. Hyaluronan/colistin polyelectrolyte complexes: Promising anti-infective drug delivery systems. Int. J. Biol. Macromol. 2021, 187, 157–165. [Google Scholar] [CrossRef]
- Meka, V.S.; Sing, M.K.G.; Pichika, M.R.; Nali, S.R.; Kolapalli, V.R.M.; Kesharwani, P. A comprehensive review on polyelectrolyte complexes. Drug Discov. Today 2017, 22, 1697–1706. [Google Scholar] [CrossRef]
- Solomevich, S.O.; Dmitruk, E.I.; Bychkovsky, P.M.; Salamevich, D.A.; Kuchuk, S.V.; Yurkshtovich, T.L. Biodegradable polyelectrolyte complexes of chitosan and partially crosslinked dextran phosphate with potential for biomedical applications. Int. J. Biol. Macromol. 2021, 169, 500–512. [Google Scholar] [CrossRef]
- Martins, A.F.; Piai, J.F.; Schuquel, I.T.A.; Rubira, A.F.; Muniz, E.C. Polyelectrolyte complexes of chitosan/heparin and N, N, N-trimethyl chitosan/heparin obtained at different pH: I. Preparation, characterization, and controlled release of heparin. Colloid Polym. Sci. 2011, 289, 1133–1144. [Google Scholar] [CrossRef]
- Müller, M. Sizing, shaping and pharmaceutical applications of polyelectrolyte complex nanoparticles. In Polyelectrolyte Complexes in the Dispersed and Solid State II; Springer: Berlin/Heidelberg, Germany, 2012; pp. 197–260. [Google Scholar]
- Schlenoff, J.B.; Yang, M.; Digby, Z.A.; Wang, Q. Ion Content of Polyelectrolyte Complex Coacervates and the Donnan Equilibrium. Macromolecules 2019, 52, 9149–9159. [Google Scholar] [CrossRef]
- Ahuja, M.; Bhatt, D.C. Polyelectrolyte complex of carboxymethyl gum katira-chitosan: Preparation and characterization. Int. J. Biol. Macromol. 2018, 106, 1184–1191. [Google Scholar]
- Maity, S.; Sen, I.K.; Islam, S.S. Green synthesis of gold nanoparticles using gum polysaccharide of Cochlospermum religiosum (katira gum) and study of catalytic activity. Phys. E Low-Dimens. Syst. Nanostructures 2012, 45, 130–134. [Google Scholar] [CrossRef]
- Jain, N.; Babbar, S.B. Gum katira—A cheap gelling agent for plant tissue culture media. Plant Cell Tissue Organ Cult. 2002, 71, 223–229. [Google Scholar] [CrossRef]
- Fu, F.; Wang, Q. Removal of heavy metal ions from wastewaters: A review. J. Environ. Manag. 2011, 92, 407–418. [Google Scholar] [CrossRef]
- Parmar, M.; Thakur, L.S. Heavy metal Cu, Ni and Zn: Toxicity, health hazards and their removal techniques by low cost adsorbents: A short overview. Int. J. Plant Anim. Environ. Sci. 2013, 3, 143–157. [Google Scholar]
- Allegre, C.; Maisseu, M.; Charbit, F.; Moulin, P. Coagulation–flocculation–decantation of dye house effluents: Concentrated effluents. J. Hazard. Mater. 2004, 116, 57–64. [Google Scholar] [CrossRef]
- Miao, Y.-E.; Wang, R.; Chen, D.; Liu, Z.; Liu, T. Electrospun self-standing membrane of hierarchical SiO2@γ-AlOOH (Boehmite) core/sheath fibers for water remediation. ACS Appl. Mater. Interfaces 2012, 4, 5353–5359. [Google Scholar] [CrossRef]
- Körbahti, B.K.; Artut, K.; Geçgel, C.; Özer, A. Electrochemical decolorization of textile dyes and removal of metal ions from textile dye and metal ion binary mixtures. Chem. Eng. J. 2011, 173, 677–688. [Google Scholar] [CrossRef]
- Baytar, O.; Şahin, Ö.; Saka, C. Sequential application of microwave and conventional heating methods for preparation of activated carbon from biomass and its methylene blue adsorption. Appl. Therm. Eng. 2018, 138, 542–551. [Google Scholar] [CrossRef]
- An, J.-S.; Back, Y.-J.; Kim, K.-C.; Cha, R.; Jeong, T.-Y.; Chung, H.-K. Optimization for the removal of orthophosphate from aqueous solution by chemical precipitation using ferrous chloride. Environ. Technol. 2014, 35, 1668–1675. [Google Scholar] [CrossRef]
- Kyzas, G.Z.; Kostoglou, M.; Lazaridis, N.K. Relating interactions of dye molecules with chitosan to adsorption kinetic data. Langmuir 2010, 26, 9617–9626. [Google Scholar] [CrossRef] [PubMed]
- Mittal, H.; Ballav, N.; Mishra, S.B. Gum ghatti and Fe3O4 magnetic nanoparticles based nanocomposites for the effective adsorption of methylene blue from aqueous solution. J. Ind. Eng. Chem. 2014, 20, 2184–2192. [Google Scholar] [CrossRef]
- Sharma, V.K.; Mazumder, B.; Nautiyal, V. Rheological characterization of Isabgol husk, gum katira hydrocolloids, and their blends. Int. J. Food Sci. 2014, 2014, 506591. [Google Scholar] [CrossRef]








| Physicochemical Properties | Remarks | References |
|---|---|---|
| Molecular Weight | Determined by gel-chromatography and found approx. 1.56 × 105 Da. | [60] |
| Optical rotation | The gum katira showed a specific rotation of + 44.8 | |
| Solubility | Slightly soluble in water form reddish brown color hydro-dispersion. Practically insoluble in ethanol, acetone, chloroform, and other organic solvents. | [17,20,72] |
| Flow property | Good flow properties with Angle of repose 32.32 ± 1.16 and Hausner’s ratio 1.59 ± 0.25, compressibility index: 13.10 ± 0.27 | |
| Moisture sorption capacity and moisture content (%w/w) | Moisture sorption capacity: 3.5 ± 1.12; Moisture content: 15.63 ± 0.37 | |
| Hydration capacity and Water retention capacity (%w/w) | The hydration capacity of gum suggests that it is efficient at absorbing about five folds of water by its own weight. The water retention capacity is 21.62 ± 0.50 | |
| pH | The gum possesses acidic nature. The pH of the 1% (w/v) solution was found to be 5.53 ± 0.25. | |
| Melting Point | Charring started at a temperature of about 50 °C | |
| Particle size distribution | A uniform frequency distribution of particles was observed | |
| Swelling index and swelling capacity | Higher swelling capacity of gum was observed, indicating more water absorbing ability with a swelling index of 4.93 ± 0.15 %w/w | |
| Loss on drying (%w/w) | Found in the limit of 8.266 ± 0.35 | |
| Total Ash (%w/w) | Low level of contamination was observed due to low total ash value of 0.74 ± 0.026 | |
| Microbial study | Limit confirms the applicability and suitability of gum to be used as excipient in pharmaceuticals | |
| Volatile acidity (%) | The presence of an acidic component was observed around 5.4 ± 0.32 | [60] |
| Viscosity | Viscosity was found to be reduced upon carboxymethylation | [22] |
| Polymer | Drug Used | Type of Formulation | Applications | References |
|---|---|---|---|---|
| Carboxymethyl gum katira | Ofloxacin | Nanoparticles | Ophthalmic drug delivery | [22] |
| Gum katira | Tramadol | Matrix tablet | Release modifiers | [130] |
| Gum katira | 5-Fluorouracil | Microspheres | Colon targeted | [20] |
| Gum katira | Etodolac | Microspheres | Sustained delivery | [61] |
| Gum katira | Gold | Gold nanoparticles | Reducing and stabilizing agents | [145] |
| Gum katira | N/A | Hydrocolloids and their blends | Drug delivery | [156] |
| Gum katira | N/A | Culture media | Gelling agent in tissue culture media | [146] |
| Chitosan–gum katira | Bromelain | Nanoparticles | Sustain release | [27] |
| Chitosan–gum katira | Glycyrrhizic acid | Nanoparticles | Sustained release | [23] |
| Chitosan–gum katira polyelectrolyte complex | Ofloxacin | Polyelectrolyte complex | Sustained release | [144] |
| Gum katira with acrylamide | Ibuprofen | Matrix tablet | Colon targeted delivery | [29] |
| Gum katira-crosslinked with poly (acrylic acid-co-N-vinyl imidazole) | N/A | Hydrogel | Adsorption/desorption studies on organic dyes | [13] |
| Gum katira–poly (acrylic acid-co-N, N-dimethylacrylamide)/Bentonite | N/A | Nanocomposite hydrogel | Removal of cationic dyes | [26] |
| Gum katira-sulfated graft-poly (N-vinyl imidazole) | N/A | Hydrogel | Mercury ion scavenger | [25] |
| Sulfated Katira gum–cl-poly (acrylic acid) | N/A | Hydrogel | Removal of vanadium | [26] |
| Gum kaitra | Silver sulphadiazene | Topical gel | Wound healing | [23] |
| Gum kaitra | Azathioprine | Matrix tablet | Colon targeted | [27] |
| Gum katira | Nimuslide | Suspension | Suspending agent | [137] |
Publisher’s Note: MDPI stays neutral with regard to jurisdictional claims in published maps and institutional affiliations. |
© 2022 by the authors. Licensee MDPI, Basel, Switzerland. This article is an open access article distributed under the terms and conditions of the Creative Commons Attribution (CC BY) license (https://creativecommons.org/licenses/by/4.0/).
Share and Cite
Singh, M.; Raorane, C.J.; Alka; Shastri, D.; Raj, V.; Kim, S.-C.; Tuteja, M. Recent Progress on Modified Gum Katira Polysaccharides and Their Various Potential Applications. Polymers 2022, 14, 3648. https://doi.org/10.3390/polym14173648
Singh M, Raorane CJ, Alka, Shastri D, Raj V, Kim S-C, Tuteja M. Recent Progress on Modified Gum Katira Polysaccharides and Their Various Potential Applications. Polymers. 2022; 14(17):3648. https://doi.org/10.3390/polym14173648
Chicago/Turabian StyleSingh, Mahendra, Chaitany Jayprakash Raorane, Alka, Divya Shastri, Vinit Raj, Seong-Cheol Kim, and Minkal Tuteja. 2022. "Recent Progress on Modified Gum Katira Polysaccharides and Their Various Potential Applications" Polymers 14, no. 17: 3648. https://doi.org/10.3390/polym14173648
APA StyleSingh, M., Raorane, C. J., Alka, Shastri, D., Raj, V., Kim, S.-C., & Tuteja, M. (2022). Recent Progress on Modified Gum Katira Polysaccharides and Their Various Potential Applications. Polymers, 14(17), 3648. https://doi.org/10.3390/polym14173648
