The Influence of Metal Lithium and Alkyl Chain in the Nucleating Agent Lauroyloxy-Substituted Aryl Aluminum Phosphate on the Crystallization and Optical Properties for iPP
Abstract
:1. Introduction
2. Materials and Methods
2.1. Materials
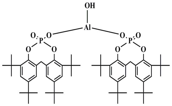
2.2. Synthesis of Nucleating Agent APAl-12C
2.3. Preparation of the iPP Composites
2.4. Characterization
3. Results and Discussion
3.1. Characterization of the Nucleating Agent APAl-12C
3.2. Crystallization Behavior of the iPP Composites
3.3. The Crystallization Behavior for the iPP/A12C-Li Composites
3.4. The Crystal Morphology for the iPP/A12C-Li Composites
3.5. The Optical Property for the iPP/A12C-Li Composites
3.6. The Dispersion of Nucleating Agents for the iPP/A12C-Li Composites
3.7. The Mechanical Property for the iPP/A12C-Li Composites
4. Conclusions
Author Contributions
Funding
Institutional Review Board Statement
Informed Consent Statement
Data Availability Statement
Conflicts of Interest
References
- Zhang, L.; Wu, W.; Teng, C.; Meng, S. Mechanical properties and space charge behavior of thermally aged polypropylene/elastomer blends. J. Electrostat. 2022, 115, 103673. [Google Scholar] [CrossRef]
- Odarchenko, Y.; Rosenthal, M.; Hernandez, J.J.; Doblas, D.; Di Cola, E.; Soloviev, M.; Ivanov, D.A. Assessing fast structure formation processes in isotactic polypropylene with a combination of nanofocus X-ray diffraction and in situ nanocalorimetry. Nanomaterials 2021, 11, 2652. [Google Scholar] [CrossRef] [PubMed]
- Horváth, F.; Bihari, L.; Bodrogi, D.; Gombár, T.; Hilt, B.; Keszei, B.; Menyhárd, A. Effect of N, N′-Dicyclohexyldicarboxamide homologues on the crystallization and properties of isotactic polypropylene. ACS. Omega 2021, 6, 9053–9065. [Google Scholar] [CrossRef] [PubMed]
- Zhang, X.; Zhao, S.; Kuo, S.W.; Chen, W.C.; Xin, Z. An effective nucleating agent for isotactic polypropylene (iPP): Zinc bis- (nadic anhydride) double-decker silsesquioxanes. Polymer 2021, 220, 123574. [Google Scholar] [CrossRef]
- Yue, Y.; Wang, X.; Feng, J. Concentration effect of a bis-amide nucleating agent on the shear-induced crystallization behavior of isotactic polypropylene. ACS. Appl. Polym. Mater. 2021, 3, 1145–1156. [Google Scholar] [CrossRef]
- Sowinski, P.; Piorkowska, E.; Boyer, S.A.E.; Haudin, J.M. High-pressure crystallization of iPP nucleated with 1, 3: 2, 4-bis (3, 4-dimethylbenzylidene) sorbitol. Polymers 2021, 13, 145. [Google Scholar] [CrossRef]
- Murphy, I.A.; Rice, P.S.; Monahan, M.; Zasada, L.P.; Miller, E.M.; Raugei, S.; Cossairt, B.M. Covalent functionalization of Nickel phosphide nanocrystals with aryl-diazonium salts. Chem. Mater. 2021, 33, 9652–9665. [Google Scholar] [CrossRef]
- Zhang, Y.F. Comparison of nucleation effects of organic phosphorous and sorbitol derivative nucleating agents in isotactic polypropylene. J. Macromol. Sci. B 2008, 47, 1188–1196. [Google Scholar] [CrossRef]
- Mohr, P.; Matic, A. Examination and experimental constraints of the stellar reaction rate factor N-A of the Ne-18(alpha, p)NA-21 reaction at temperatures of X-ray bursts. Phys. Rev. C 2013, 87, 035801. [Google Scholar] [CrossRef]
- Mller, K.; Wienhfer, G.; Westerhaus, F.; Junge, K.; Beller, M. Oxidation of 1,2,4-trimethylbenzene (TMB), 2,3,6-trimethylphenol (TMP) and 2-methylnaphthalene to 2,3,5-trimethylbenzoquinone (TMBQ) and menadione (vitamin K3). Catal. Today 2011, 173, 68–75. [Google Scholar] [CrossRef]
- Zhang, Y.F.; Zhong, X. Effects of substituted aromatic heterocyclic phosphate salts on properties, crystallization, and melting behaviors of isotactic polypropylene. J. Appl. Polym. Sci. 2010, 100, 4868–4874. [Google Scholar] [CrossRef]
- Liu, Y.; Zhang, K.; Fu, G.; He, W.; Qin, S.; Yu, J. Synergistic effect of aryl heterocyclic aluminum phosphate and sodium laurate on non-isothermal crystallization kinetics of isotactic polypropylene. J. Thermoplast. Compos. 2017, 30, 678–690. [Google Scholar] [CrossRef]
- Kimura, R.; Tuboi, T.; Nishikawa, K. Crystalline Synthetic Resin Composition. US Patent No 5,342,868, 30 August 1994. [Google Scholar]
- Li, C.; Tong, C.; Meng, X.; Xin, Z.; Shi, Y. Effect of nucleating agent supported on zeolite via the impregnation on the crystallization ability of isotactic polypropylene and its mechanism. Polym. Advan. Technol. 2019, 30, 2674–2685. [Google Scholar] [CrossRef]
- Liu, L.; Zhao, Y.; Zhang, C.; Dong, Z.; Wang, K.; Wang, D. Morphological characteristics of β-Nucleating agents governing the formation of the crystalline structure of isotactic Polypropylene. Macromolecules 2021, 54, 6824–6834. [Google Scholar] [CrossRef]
- Thumm, A.; Risani, R.; Dickson, A.; Sorieul, M. Ligno-cellulosic fibre sized with nucleating agents promoting transcrystallinity in isotactic polypropylene composites. Materials 2020, 13, 1259. [Google Scholar] [CrossRef] [PubMed]
- Long, L.; He, W.; Li, J.; Qin, S.; Yu, J. Nucleation ability of nonmetallic organophosphate derivatives in isotactic polypropylene. J. Therm. Anal. Calorim. 2017, 127, 2283–2291. [Google Scholar] [CrossRef]
- Li, B.; Guo, H.H.; Gui, P.C.; Liu, T.; Zhao, L.; Yuan, W.K. Effect of supercritical carbon dioxide-assisted nano-scale dispersion of nucleating agents on the crystallization behavior and properties of polypropylene. J. Supercrit. Fluid 2008, 44, 446–456. [Google Scholar] [CrossRef]
- Yang, B.; Wang, D.; Chen, F.; Su, L.F.; Miao, J.B.; Chen, P.; Liu, J.W. Melting and crystallization behaviors of poly (lactic acid) modified with graphene acting as a nucleating agent. J. Macromol. Sci. B 2019, 58, 290–304. [Google Scholar] [CrossRef]
- Gao, J.; Meng, X.; Deng, Z.; Xin, Z.; Tong, C. Enhancement of “in-situ” dispersed NA11 for the mechanical and crystallization properties of polypropylene. J. Polym. Res. 2022, 29, 168. [Google Scholar]
- Meng, X.; Tong, C.; Xin, Z.; Gong, W.; Shi, Y.; Chen, W.; Sheng, Y. Promotion of zeolite as dispersion support for properties improvement of α nucleating agent in polypropylene. J. Polym. Res. 2019, 26, 105. [Google Scholar] [CrossRef]
- Yue, Y.; Yi, J.; Wang, L.; Feng, J. Toward a more comprehensive understanding on the structure evolution and assembly formation of a bisamide nucleating agent in polypropylene melt. Macromolecules 2020, 53, 4381–4394. [Google Scholar] [CrossRef]
- Zhang, G.P.; Xin, Z.; Yu, J.Y.; Gui, Q.D.; Wang, S.Y. Nucleating efficiency of organic phosphates in polypropylene. J. Macromol. Sci. B 2003, 42, 467–478. [Google Scholar] [CrossRef]
- Long, L.; He, W.; Zhang, M.; Zhang, K.; Qin, S.; Yu, J. Nucleation effects of sodium and ammonium salts of 2,2′-methylene-bis-(4,6-di-t-butylphenylene)phosphate in isotactic polypropylene. Polym. Eng. Sci. 2015, 55, 22–28. [Google Scholar] [CrossRef]
- Gabrielli, S.; Pastore, G.; Stella, F.; Marcantoni, E.; Sarasini, F.; Tirillò, J.; Santulli, C. Chemical and mechanical characterization of licorice root and palm leaf waste incorporated into Poly (urethane-acrylate)(PUA). Molecules 2021, 26, 7682. [Google Scholar] [CrossRef]
- Mahmood, A.; Wang, X.; Xie, X.; Sun, J. Degradation behavior of mixed and isolated aromatic ring containing VOCs: Langmuir-Hinshelwood kinetics, photodegradation, in-situ FTIR and DFT studies. J. Environ. Chem. Eng. 2021, 9, 105069. [Google Scholar] [CrossRef]
- Huang, W.J.; He, W.T.; Yu, J.; Zhang, K.; Qin, S.H.; Gao, J. Synthesis, characterization and application of 2, 2′- methylene-bis (4,6-di-tert-butyl-phenyl) phosphate sodium. In Advanced Materials Research; Trans Tech Publications Ltd.: Bäch, Switzerland, 2014; Volume 834, pp. 119–123. [Google Scholar]
- ElOkr, M.M.; Metawe, F.; El-Nahrawy, A.M.; Osman, B.A. Enhanced structural and spectroscopic properties of phosphosilicate nanostructures by doping with Al2O3 ions and calcinations temperature. Int. J. Chem. Tech. Res. 2016, 9, 228–234. [Google Scholar]
- Krivdin, L.B. Computational 1H NMR: Part 2. Chemical applications. Magn. Reson. Chem. 2020, 58, 5–14. [Google Scholar] [CrossRef]
- Tang, Q.; Gao, K. Structure analysis of polyether-based thermoplastic polyurethane elastomers by FTIR, 1H NMR and 13C NMR. Int. J. Polym. Anal. Charact. 2017, 22, 569–574. [Google Scholar] [CrossRef]
- Wang, Q.; Cui, D.; Wang, P.; Bai, J.; Wang, Z.; Liu, B. A comparison of the structures of >300 °C fractions in six Chinese shale oils obtained from different locations using 1H NMR, 13C NMR and FT-IR analyses. Fuel 2018, 211, 341–352. [Google Scholar] [CrossRef]
- Srivastava, A.; Mishra, R.; Kumar, S.; Dev, K.; Tandon, P.; Maurya, R. Molecular structure, spectral investigation (1H NMR, 13C NMR, UV–Visible, FT-IR, FT-Raman), NBO, intramolecular hydrogen bonding, chemical reactivity and first hyperpolarizability analysis of formononetin [7-hydroxy-3 (4-methoxyphenyl) chromone]: A quantum chemical study. J. Mol. Struct. 2015, 1084, 55–73. [Google Scholar]
- Barczewski, M.; Mysiukiewicz, O.; Matykiewicz, D.; Skórczewska, K.; Lewandowski, K.; Andrzejewski, J.; Piasecki, A. Development of polylactide composites with improved thermomechanical properties by simultaneous use of basalt powder and a nucleating agent. Polym. Compos. 2020, 41, 2947–2957. [Google Scholar] [CrossRef]
- Xu, F.; Wang, B.; Yang, D.; Hao, J.; Qiao, Y.; Tian, Y. Thermal degradation of typical plastics under high heating rate conditions by TG-FTIR: Pyrolysis behaviors and kinetic analysis. Energy Convers. Manag. 2018, 171, 1106–1115. [Google Scholar] [CrossRef]
- Yao, J.; Luo, F.; Mao, J.; Li, Y.; Sun, X.; Ma, D.; Li, L. Effects of crystal planes of ZnO nanocrystal on crystalline, thermal and thermal-oxidation stability of iPP. J. Polym. Res. 2021, 28, 172. [Google Scholar] [CrossRef]
- He, M.; Shi, H.; Chang, B.; Zheng, G.; Cao, W.; Liu, C.; Shen, C. The synergistic effect of rare-earth complex nucleating agent and graphene oxide on the non-isothermal crystallization behavior of iPP originating from the diverse self-assembly morphology. Macromol. Chem. Phys. 2021, 222, 2000357. [Google Scholar] [CrossRef]
- Zhang, Y.F.; He, B.; Hou, H.H.; Guo, L.H. Isothermal crystallization of isotactic polypropylene nucleated with a novel aromatic heterocyclic phosphate nucleating agent. J. Macromol. Sci. B 2017, 56, 811–820. [Google Scholar] [CrossRef]
- Shi, W.; Xu, Y.; Qin, J.; Li, X.; Lv, Q.; Chen, X.; Chen, M. Isothermal crystallization behaviors of isotactic polypropylene with ultrasonically-modified calcium sulfate whisker as β-nucleating agent. Polym. Eng. Sci. 2022, 62, 2219–2229. [Google Scholar] [CrossRef]
- Fang, W.; Yang, X.; Xu, X.; Li, W.; Li, Q. Quasi-static and low-velocity impact responses of polypropylene random copolymer composites with adjustable crystalline structures. Compos. Part. B Eng. 2021, 224, 109139. [Google Scholar] [CrossRef]
- Rasana, N.; Jayanarayanan, K.; Pegoretti, A. Non-isothermal crystallization kinetics of polypropylene/short glass fibre/multiwalled carbon nanotube composites. RSC Adv. 2018, 8, 39127–39139. [Google Scholar] [CrossRef]
- Mao, J.J.; Jiang, Y.Z.; Zhou, P.Z.; Li, Y.; Zhang, Y.F. Nucleus density and crystallization behavior of isotactic polypropylene nucleated with different α/β compound nucleating agents. J. Therm. Anal. Calorim. 2020, 140, 2275–2282. [Google Scholar] [CrossRef]
- Wang, Y.J.; Yan, S.Y.; Zhao, Z.P.; Xi, Z.Y. Isothermal crystallization of iPP in environment-friendly diluents: Effect of binary diluents and crystallization temperature on crystallization kinetics. Chin. J. Polym. Sci. 2019, 37, 617–626. [Google Scholar] [CrossRef]
- Suksut, B.; Saiprasit, P.; Schlarb, A.K. Isothermal crystallization of polypropylene/titanium dioxide nanocomposites by flash scanning calorimetry. Asia-Pac. J. Sci. Technol. 2021, 26, 1–7. [Google Scholar]
- Shang, Y.; Ning, P.; Zhang, Y.; Xue, F.; Cai, Z.; Li, J.; Jiang, S. Study on structure and property relations of α-iPP during uniaxial deformation via in situ synchrotron SAXS/WAXS and POM investigations. Polym. Eng. Sci. 2018, 58, 160–169. [Google Scholar] [CrossRef]
- Cavicchi, K.A.; Pantoja, M.; Lai, T.Y. The importance of phase behavior in understanding structure-property relationships in crystalline small molecule/polymer gels. In Gels and Other Soft Amorphous Solids; American Chemical Society: Washington, DC, USA, 2018; pp. 245–264. [Google Scholar]
- McCreath, S.; Boinard, P.; Boinard, E.; Gritter, P.; Liggat, J.J. High clarity polyurethane laminating adhesives based on poly (propylene glycol). Effect of hard segment on microphase morphology, haze and adhesion. Int. J. Adhes. Adhes. 2022, 117, 103168. [Google Scholar] [CrossRef]
- Long, Y.; Wang, Y.; Xing, Q.; Dong, X. Enhanced crystallization behavior and stiffness-toughness balance of polylactide/poly (propylene carbonate)/nucleating agent blends. Thermochim. Acta 2022, 711, 179207. [Google Scholar] [CrossRef]












| Samples | iPP/wt% | APAl-12C/Lilaurate (6:4, Mass Ratio)/wt% |
|---|---|---|
| iPP-1 | 99.95 | 0.05 |
| iPP-2 | 99.90 | 0.10 |
| iPP-3 | 99.70 | 0.30 |
| iPP-4 | 99.50 | 0.50 |
| iPP/NA-21 | 99.50 | 0.50 |
| Samples | T (°C) | n | K | t1/2 a (s) | t1/2 b (s) |
|---|---|---|---|---|---|
| iPP | 128 | 3.60 | 0.00004 | 900.6 | 901.8 |
| iPP-1 | 3.70 | 0.00160 | 309.6 | 307.2 | |
| iPP-2 | 3.52 | 0.01045 | 197.4 | 195.6 | |
| iPP-3 | 3.38 | 0.03802 | 141.6 | 139.2 | |
| iPP-4 | 3.27 | 0.08278 | 114.6 | 112.8 | |
| iPP/NA-21 | 3.48 | 0.07364 | 114.6 | 112.2 |
| Sample | Impact Strength (KJ/m2) | Tensile Strength (MPa) | Flexural Modulus (MPa) |
|---|---|---|---|
| iPP | 4.0 ± 0.11 | 25.9 ± 0.45 | 952.7 ± 12.48 |
| iPP-1 | 5.3 ± 0.26 | 27.4 ± 0.28 | 1042.6 ± 5.32 |
| iPP-2 | 5.2 ± 0.12 | 27.7 ± 0.61 | 1086.6 ± 12.83 |
| iPP-3 | 4.0 ± 0.08 | 28.3 ± 0.28 | 1072.1 ± 5.89 |
| iPP-4 | 4.8 ± 0.15 | 28.7 ± 0.43 | 1105.8 ± 8.03 |
| iPP/NA-21 | 4.7 ± 0.10 | 28.5 ± 0.41 | 1108.5 ± 24.29 |
Publisher’s Note: MDPI stays neutral with regard to jurisdictional claims in published maps and institutional affiliations. |
© 2022 by the authors. Licensee MDPI, Basel, Switzerland. This article is an open access article distributed under the terms and conditions of the Creative Commons Attribution (CC BY) license (https://creativecommons.org/licenses/by/4.0/).
Share and Cite
Lin, F.; Zhang, M.; Mao, S.; Zhang, J.; Wang, K.; Luo, J.; Chen, X.; Wang, B.; Wei, Y. The Influence of Metal Lithium and Alkyl Chain in the Nucleating Agent Lauroyloxy-Substituted Aryl Aluminum Phosphate on the Crystallization and Optical Properties for iPP. Polymers 2022, 14, 3637. https://doi.org/10.3390/polym14173637
Lin F, Zhang M, Mao S, Zhang J, Wang K, Luo J, Chen X, Wang B, Wei Y. The Influence of Metal Lithium and Alkyl Chain in the Nucleating Agent Lauroyloxy-Substituted Aryl Aluminum Phosphate on the Crystallization and Optical Properties for iPP. Polymers. 2022; 14(17):3637. https://doi.org/10.3390/polym14173637
Chicago/Turabian StyleLin, Fuhua, Mi Zhang, Shuangdan Mao, Jianjun Zhang, Kezhi Wang, Jun Luo, Xinde Chen, Bo Wang, and Yinghui Wei. 2022. "The Influence of Metal Lithium and Alkyl Chain in the Nucleating Agent Lauroyloxy-Substituted Aryl Aluminum Phosphate on the Crystallization and Optical Properties for iPP" Polymers 14, no. 17: 3637. https://doi.org/10.3390/polym14173637
APA StyleLin, F., Zhang, M., Mao, S., Zhang, J., Wang, K., Luo, J., Chen, X., Wang, B., & Wei, Y. (2022). The Influence of Metal Lithium and Alkyl Chain in the Nucleating Agent Lauroyloxy-Substituted Aryl Aluminum Phosphate on the Crystallization and Optical Properties for iPP. Polymers, 14(17), 3637. https://doi.org/10.3390/polym14173637

