The Fabrication of Alginate–Carboxymethyl Cellulose-Based Composites and Drug Release Profiles
Abstract
:1. Introduction
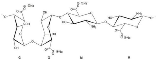
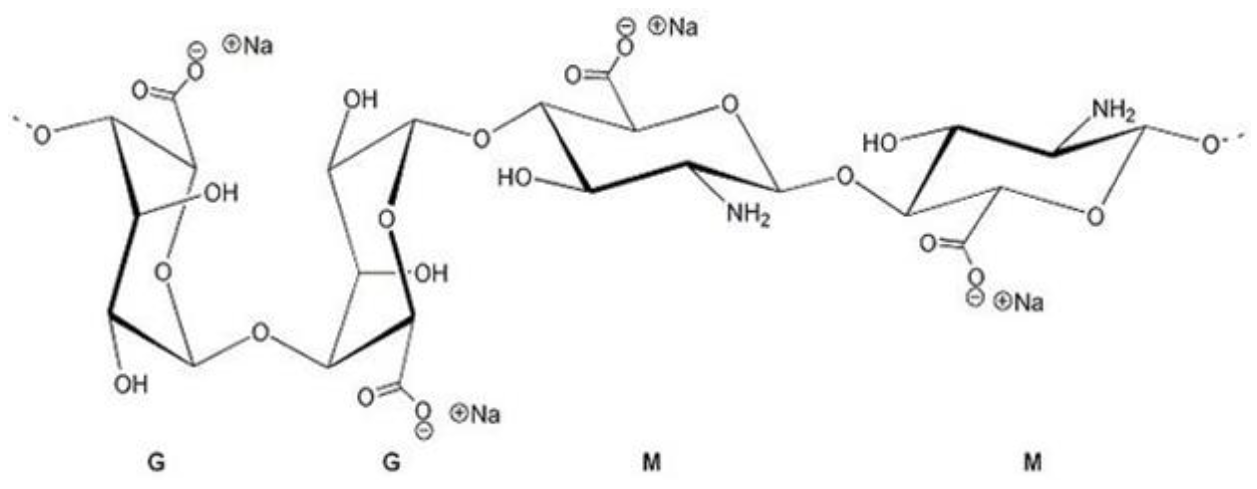
2. The Preparation of Films and Beads Based on Alginate/Sodium Alginate and CMC
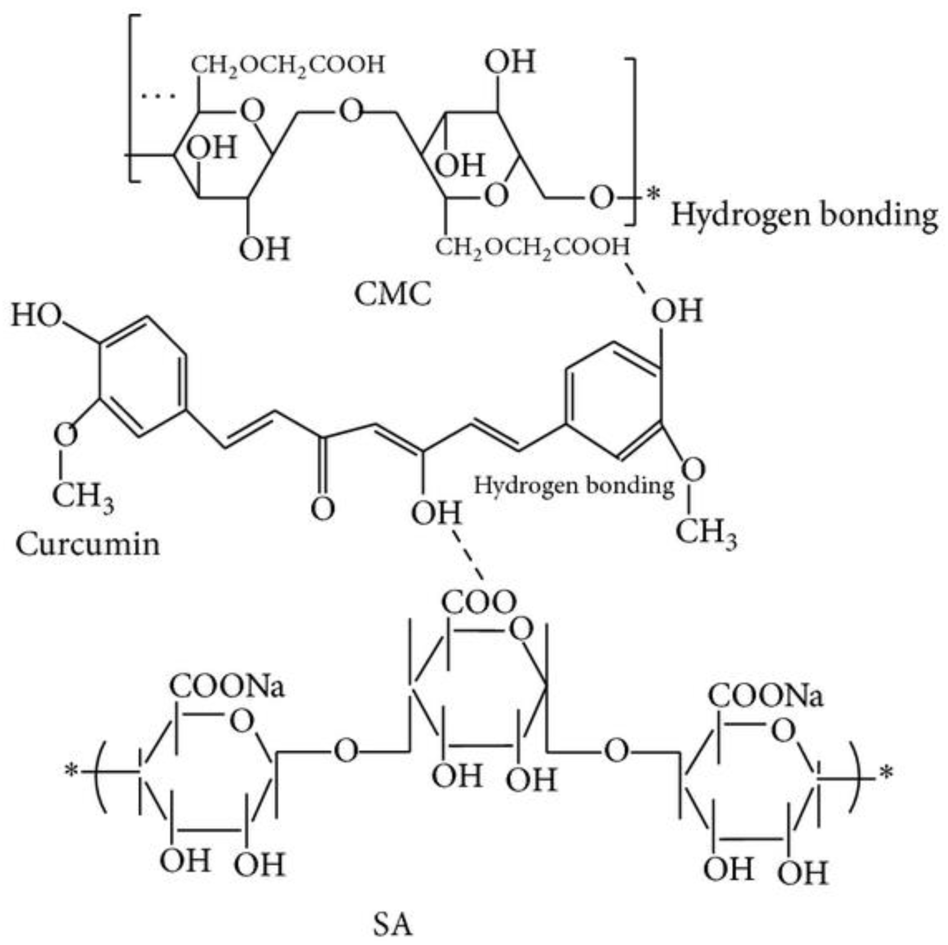
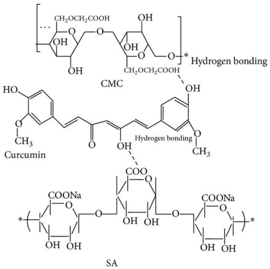
3. The Drug-Loaded Alginate/Sodium Alginate—CMC Based Polymer Matrixes
4. Release Profile of Biologically Active Substances from Alginate/CMC Polymer Matrixes
5. Commercially Available Pharmaceutical Alginate–CMC Based Products
6. Conclusions and Future Perspectives
Author Contributions
Funding
Institutional Review Board Statement
Informed Consent Statement
Data Availability Statement
Conflicts of Interest
References
- Shaikh, M.A.J.; Gilhotra, R. Current update on psyllium and alginate incorporate for interpenetrating polymer network (IPN) and their biomedical applications. Int. J. Biol. Macromol. 2021, 191, 432–444. [Google Scholar] [CrossRef]
- James, J.; Thomas, G.V.; Akhina, H.; Thomas, S. Micro-and Nano-Structured Interpenetrating Polymer Networks: State of the Art, New Challenges and Opportunities. In Micro-And Nano-Structured Interpenetrating Polymer Networks: From Design to Applications; John Wiley & Sons: New York, NY, USA, 2016; pp. 1–27. ISBN 978-1-118-13817-5. [Google Scholar]
- Zoratto, N.; Matricardi, P. Semi-IPNs and IPN-based hydrogels. Polym. Gels 2018, 91–124. [Google Scholar] [CrossRef]
- Coleman, R.J.; Lawrie, G. Phosphorylation of alginate: Synthesis, characterization, and evaluation of in vitro mineralization capacity. Biomacromolecules 2011, 12, 889–897. [Google Scholar] [CrossRef] [PubMed]
- Varaprasad, K.; Jayaramudu, T. Alginate-based composite materials for wound dressing application: A mini review. Carbohydr. Polym. 2020, 236, 116025. [Google Scholar] [CrossRef]
- Faidi, A.; Lassoued, M.A.; Becheikh, M.E.H.; Touati, M.; Stumbé, J.F.; Farhat, F. Application of sodium alginate extracted from a Tunisian brown algae Padina pavonica for essential oil encapsulation: Microspheres preparation, characterization and in vitro release study. Int. J. Biol. Mol. 2019, 136, 386–394. [Google Scholar] [CrossRef] [PubMed]
- Charoensiddhi, S.; Conlon, M.A.; Vuaran, M.S.; Franco, C.M.; Zhang, W. Impact of extraction processes on prebiotic potential of the brown seaweed Ecklonia radiata by in vitro human gut bacteria fermentation. J. Funct. Foods 2016, 24, 221–230. [Google Scholar] [CrossRef]
- Kartik, A.; Akhil, D.; Lakshmi, D.; Gopinath, K.P.; Arun, J.; Sivaramakrishnan, R.; Pugazhendhi, A. A critical review on production of biopolymers from algae biomass and their applications. Bioresour. Technol. 2021, 329, 124868. [Google Scholar] [CrossRef]
- Gereniu, C.R.N.; Saravana, P.S.; Chun, B.S. Recovery of carrageenan from Solomon Islands red seaweed using ionic liquid-assisted subcritical water extraction. Sep. Purif. Technol. 2018, 196, 309–317. [Google Scholar] [CrossRef]
- Prasad, C.V.; Swamy, B.Y. Formulation and characterization of sodium alginate g-hydroxy ethylacrylate bio-degradable polymeric beads: In vitro release studies. J. Polym. Environ. 2012, 20, 344–352. [Google Scholar] [CrossRef]
- Varaprasad, K.; Raghavendra, G.M. Nano zinc oxide–sodium alginate antibacterial cellulose fibres. Carbohydr. Polym. 2016, 135, 349–355. [Google Scholar] [CrossRef]
- Del Gaudio, P.; Amante, C. In situ gelling alginate-pectin blend particles loaded with Ac2-26: A new weapon to improve wound care armamentarium. Carbohydr. Polym. 2020, 227, 115305. [Google Scholar] [CrossRef] [PubMed]
- Lee, K.Y.; Mooney, D.J. Alginate: Properties and biomedical applications. Prog. Polym. Sci. 2012, 37, 106–126. [Google Scholar] [CrossRef] [PubMed]
- Yang, J.; Li, J. Self-assembled cellulose materials for biomedicine: A review. Carbohydr. Polym. 2018, 181, 264–274. [Google Scholar] [CrossRef] [PubMed]
- Klemm, D.; Heublein, B. Cellulose: Fascinating biopolymer and sustainable raw material. Angew. Chem. Int. Ed. 2005, 44, 3358–3393. [Google Scholar] [CrossRef]
- Sannino, A.; Demitri, C.; Madaghiele, M. Biodegradable Cellulose-based Hydrogels: Design and Applications. Materials 2009, 2, 353–373. [Google Scholar] [CrossRef]
- Zennifer, A.; Senthilvelan, P. Key advances of carboxymethyl cellulose in tissue engineering & 3D bioprinting applications. Carbohydr. Polym. 2020, 256, 117561. [Google Scholar] [CrossRef]
- Agarwal, R.; Ko, K.R. Biopatterning of keratinocytes in aqueous two-phase systems as a potential tool for skin tissue engineering. MRS Adv. 2017, 2, 2443–2449. [Google Scholar] [CrossRef]
- Thakur, V.K. Cellulose-Based Graft Copolymers: Structure and Chemistry; CRC Press: Boca Raton, FL, USA, 2015. [Google Scholar] [CrossRef]
- Mejía, E.H.; Contreras, H. Effect of Experimental Parameters on the Formation of Hydrogels by Polyelectrolyte Complexation of Carboxymethylcellulose, Carboxymethyl Starch, and Alginic Acid with Chitosan. Int. J. Chem. Eng. 2019, 2019, 3085691. [Google Scholar] [CrossRef]
- Aljawish, A.; Munigalia, L. Characterization of films based on enzymatically modified chitosan derivatives with phenol compounds. Food Hydrocoll. 2016, 60, 551–558. [Google Scholar] [CrossRef]
- George, M.; Abraham, T.E. pH sensitive alginate–guar gum hydrogel for the controlled delivery of protein drugs. Int. J. Pharm. 2007, 335, 123–129. [Google Scholar] [CrossRef]
- Pankongadisak, P.; Ruktanonchai, U.R. Development of silver nanoparticles-loaded calcium alginate beads embedded in gelatin scaffolds for use as wound dressings. Polym. Int. 2015, 64, 275–283. [Google Scholar] [CrossRef]
- Hecht, H.; Srebnik, S. Structural characterization of sodium alginate and calcium alginate. Biomacromolecules 2016, 17, 2160–2167. [Google Scholar] [CrossRef] [PubMed]
- Wang, X.F.; Lu, P.-J. Nano hydroxyapatite particles promote osteogenesis in a three-dimensional bio-printing construct consisting of alginate/gelatin/hASCs. RSC Adv. 2016, 6, 6832–6842. [Google Scholar] [CrossRef]
- He, X.; Zeng, L. Shape memory composite hydrogel based on sodium alginate dual crosslinked network with carboxymethyl cellulose. Eur. Polym. J. 2021, 156, 110592. [Google Scholar] [CrossRef]
- Bustamante-Torres, M.; Romero-Fierro, D.; Arcentales-Vera, B.; Palomino, K.; Magaña, H.; Bucio, E. Hydrogels Classification According to the Physical or Chemical Interactions and as Stimuli-Sensitive Materials. Gels 2021, 7, 182. [Google Scholar] [CrossRef]
- Sannino, A.; Madaghiele, M. Biocompatibility and other properties of hydrogels in regenerative medicine. In Cellular Response to Biomaterials; Woodhead Publishing Series in Biomaterials; Woodhead Publishing: Cambridge, UK, 2009; pp. 114–135. [Google Scholar] [CrossRef]
- Aderibigbe, B.A.; Buyana, B. Alginate in Wound Dressings. Pharmaceutics 2018, 10, 42. [Google Scholar] [CrossRef]
- Topuz, F.; Henke, A.; Richtering, W.; Groll, J. Magnesium ions and alginate do form hydrogels: A rheological study. Soft Matter 2012, 8, 4877–4881. [Google Scholar] [CrossRef]
- Yin, M.; Xu, F.; Ding, H.; Tan, F.; Song, F.; Wang, J. Incorporation of magnesium ions into photo-crosslinked alginate hydrogel enhanced cell adhesion ability. J. Tissue Eng. Regen. Med. 2015, 9, 1088–1092. [Google Scholar] [CrossRef]
- Olukman, M.; Şanlı, O.; Solak, E. Release of Anticancer Drug 5-Fluorouracil from Different Ionically Crosslinked Alginate Beads. J. Biomater. Nanobiotechnol. 2012, 3, 469–479. [Google Scholar] [CrossRef]
- Liling, G.; Di, Z.; Jiachao, X.; Xin, G.; Xiaoting, F.; Qing, Z. Effects of ionic crosslinking on physical and mechanical properties of alginate mulching films. Carbohydr. Polym. 2016, 136, 259–265. [Google Scholar] [CrossRef]
- Al-Musa, S.; Abu Farab, D.; Badwana, A. Evaluation of parameters involved in preparation and release of drug loaded in crosslinked matrices of alginate. J. Control. Release 1999, 57, 223–232. [Google Scholar] [CrossRef]
- Anirudhan, T.S.; Nima, J.; Divya, P.L. Synthesis, characterization and in vitro cytotoxicity analysis of a novel cellulose based drug carrier for the controlled delivery of 5-fluorouracil, an anticancer drug. Appl. Surf. Sci. 2015, 355, 64–73. [Google Scholar] [CrossRef]
- Demitri, C.; Del Sole, R.; Scalera, F.; Sannino, A.; Vasapollo, G.; Maffezzoli, A.; Ambrosio, L.; Nicolais, L. Novel superabsorbent cellulose-based hydrogels crosslinked with citric acid. J. Appl. Polym. Sci. 2008, 110, 2453–2460. [Google Scholar] [CrossRef]
- Han, Y.; Yu, M.; Wang, L. Physical and antimicrobial properties of sodium alginate/carboxymethyl cellulose films incorporated with cinnamon essential oil. Food Packag. Shelf Life. 2018, 15, 35–42. [Google Scholar] [CrossRef]
- Zheng, J.; Zeng, R.; Zhang, F.; Kan, J. Effects of sodium carboxymethyl cellulose on rheological properties and gelation behaviors of sodium alginate induced by calcium ions. LWT Food Sci. Technol. 2019, 103, 131–138. [Google Scholar] [CrossRef]
- Pinpru, N.; Woramongolchai, S. Crosslinking Effects on Alginate/Carboxymethyl Cellulose Packaging Film Properties. Chiang Mai J. Sci. 2020, 47, 712–722. Available online: http://epg.science.cmu.ac.th/ejournal (accessed on 14 August 2022).
- Sritweesinsub, W.; Charuchinda, S. Alginate/Carboxymethyl Cellulose Hydrogel Films in Relation to Crosslinking with Glutaraldehyde and Copper Sulfate. MATEC Web Conf. 2015, 30, 02005. [Google Scholar] [CrossRef]
- Trevisol, T.C.; Fritz, A.R.M.; de Souza, S.M.A.G.U.; Bierhalz, A.C.K.; Valle, J.A.B. Alginate and carboxymethyl cellulose in monolayer and bilayer films as wound dressings: Effect of the polymer ratio. J. Appl. Polym. Sci. 2018, 136, 46941. [Google Scholar] [CrossRef]
- Tong, Q.; Xiao, Q.; Lim, L.-T. Preparation and properties of pullulan–alginate–carboxymethylcellulose blend films. Food Res. Int 2008, 41, 1007–1014. [Google Scholar] [CrossRef]
- You, Y.; Zhang, H. Transparent sunlight conversion film based on carboxymethyl cellulose and carbon dots. Carbohydr. Polym. 2016, 151, 245–250. [Google Scholar] [CrossRef]
- Da Silva Júnior, A.H.; Macuvele, D.L.P. Polymeric Blends of Carboxymethyl Cellulose and Sodium Alginate Containing Functionalized Carbon Dots Result in Stable and Efficient Fluorescent Films for Silver and Iron (III) Sensing. J. Environ. Chem. Eng. 2021, 9, 105728. [Google Scholar] [CrossRef]
- Mikula, K.; ·Skrzypczak, D.; Ligas, B.; ·Witek-Krowiak, A. Preparation of hydrogel composites using Ca2+ and Cu2+ ions as crosslinking agents. SN Appl. Sci. 2019, 1, 643. [Google Scholar] [CrossRef]
- Ren, H.; Gao, Z.; Wu, D.; Jiang, J.; Sun, Y.; Luo, C. Efficient Pb(II) removal using sodium alginate-carboxymethyl cellulose gel beads: Preparation, characterization, and adsorption mechanism. Carbohydr. Polym. 2016, 137, 402–409. [Google Scholar] [CrossRef] [PubMed]
- Pourjavadi, A.; Barzegar, S.; Mahdavinia, G.R. MBA crosslinked Na-Alg/CMC as a smart full-polysaccharide superabsorbent hydrogels. Carbohydr Polym. 2006, 66, 386–395. [Google Scholar] [CrossRef]
- Ibrahim, S.M.; El Salmawi, K.M. Preparation and properties of Carboxymethyl Cellulose (CMC)/Sodium alginate (SA) blends induced by gamma irradiation. J. Polym. Environ. 2012, 21, 520–527. [Google Scholar] [CrossRef]
- Bradford, C.; Freeman, R.; Percival, S.L. In Vitro Study of Sustained Antimicrobial Activity of a New Silver Alginate Dressing. J. Am. Col. Certif. Wound. Spec. 2009, 1, 117–120. [Google Scholar] [CrossRef]
- Ye, J.; Ma, D.; Qin, W.; Liu, W. Physical and Antibacterial Properties of Sodium Alginate—Sodium Carboxymethylcellulose Films Containing Lactococcus lactis. Molecules 2018, 23, 2645. [Google Scholar] [CrossRef]
- Boateng, J.S.; Auffret, A.D.; Matthews, K.H.; Humphrey, M.J.; Stevens, H.N.E.; Eccleston, G.M. Characterisation of freeze-dried wafers and solvent evaporated films as potential drug delivery systems to mucosal surfaces. Int. J. Pharm. 2010, 389, 24–31. [Google Scholar] [CrossRef] [PubMed]
- Silva, K.M.M.N.; de Carvalho, D.E.L. Concomitant and controlled release of furazolidone and bismuth (III) incorporated in a cross-linked sodium alginate-carboxymethyl cellulose hydrogel. Int. J. Biol. Macromol. 2019, 126, 359–366. [Google Scholar] [CrossRef]
- Trevisol, T.C.; Scartazzini, L. Diclofenac release from alginate/carboxymethyl cellulose mono and bilayer films for wound dressing applications. Cellulose 2020, 27, 11. [Google Scholar] [CrossRef]
- Maver, T.; Mohan, T. Polysaccharide thin solid films for analgesic drug delivery and growth of human skin cells. Front. Chem. 2019, 7, 217. [Google Scholar] [CrossRef] [PubMed]
- Hosny, E.A.; Al-Helw, A.A.-R.M. Effect of coating of aluminum carboxymethylcellulose beads on the release and bioavailability of diclofenac sodium. Pharm. Acta Helv. 1998, 72, 255–261. [Google Scholar] [CrossRef]
- Kesavan, K. Sodium alginate based mucoadhesive system for Gatifloxacin and its in vitro antibacterial activity. Sci. Pharm. 2010, 78, 941–957. [Google Scholar] [CrossRef] [PubMed]
- Riyajan, S.A.; Nuim, J. Interaction of green polymer blend of modified sodium alginate and carboxylmethyl cellulose encapsulation of turmeric extract. Int. J. Polym. Sci. 2013, 2013, 364253. [Google Scholar] [CrossRef]
- Kim, M.S.; Park, S.J.; Gu, B.K.; Kim, C.H. Ionically crosslinked alginate-carboxymethyl cellulose beads for the delivery of protein therapeutics. Appl. Surf. Sci. 2012, 262, 28–33. [Google Scholar] [CrossRef]
- Lee, K.; Hong, J.; Roh, H.J.; Kim, S.H.; Lee, H.; Lee, S.K.; Cha, C. Dual ionic crosslinked interpenetrating network of alginatecellulose beads with enhanced mechanical properties for biocompatible encapsulation. Cellulose 2017, 24, 4963–4979. [Google Scholar] [CrossRef]
- Kahya, N.; Golcu, A.; Erim, F.B. Barium ion cross-linked alginate-carboxymethyl cellulose composites for controlled release of anticancer drug methotrexate. J. Drug Deliv. Sci. Technol. 2019, 54, 101324. [Google Scholar] [CrossRef]
- Swamy, B.Y.; Yun, Y.-S. In vitro release of metformin from iron (III) cross-linked alginate-carboxymethyl cellulose hydrogel beads. Int. J. Biol. Macromol. 2015, 77, 114–119. [Google Scholar] [CrossRef] [PubMed]
- Bulut, E.; Şanlı, O. Novel ionically crosslinked acrylamide-grafted poly(vinyl alcohol)/sodium alginate/sodium carboxymethyl cellulose pH-sensitive microspheres for delivery of Alzheimer’s drug donepezil hydrochloride: Preparation and optimization of release conditions. Artif. Cells Nanomed. Biotechnol. 2016, 44, 431–442. [Google Scholar] [CrossRef]
- St Dollente Mesias, V.; Penaloza, D.P., Jr. Synthesis, Characterization, and Controlled Release Property Evaluation of Carboxymethyl Cellulose/Alginate(CMC/Alg) Encapsulated NPK Fertilizers. Philipp. J. Sci. 2021, 150, 183–191. [Google Scholar]
- Barbu, A.; Neamtu, B.; Zăhan, M.; Iancu, G.M.; Bacila, C.; Mireşan, V. Current Trends in Advanced Alginate-Based Wound Dressings for Chronic Wounds. J. Pers. Med. 2021, 11, 890. [Google Scholar] [CrossRef] [PubMed]
- Rego, A. ALGS6 Ag AlginateWound Dressing & Aquacel Ag extra Hydrofiber Dressing with Silver and Strengthening Fiber 2017. Available online: https://www.accessdata.fda.gov/cdrh_docs/pdf17/K172570.pdf (accessed on 14 August 2022).
- Boateng, J.S.; Matthews, K.H.; Stevens, H.N.E.; Eccleston, G.M. Wound healing dressings and drug delivery systems: A review. J. Pharm. Sci. 2008, 97, 2892–2923. [Google Scholar] [CrossRef]
- Caló, E.; Khutoryanskiy, V.V. Biomedical applications of hydrogels: A review of patents and commercial products. Eur. Polym. J. 2015, 65, 252–267. [Google Scholar] [CrossRef]
- Clark, R.; Bradbury, S. Silvercel® Non-Adherent made easy. Wounds Int. 2010, 1, 1–6. [Google Scholar]
- Kammerlander, G.; Afarideh, R.; Baumgartner, A.; Berger, M.; Fischelmayer, K.; Hirschberger, G.; Hangler, W.; Huber, A.; Kramml, M.; Locherer, E.; et al. Silvercel: Level two—Case studies. Clinical experiences of using a silver hydroalginate dressing in Austria, Switzerland & Germany. J. Wound Care 2008, 17, 384–388. [Google Scholar] [CrossRef]
- Edwards, J. Use of Silvercel® Non-adherent on burn wounds: A case series. Wounds UK 2013, 9, 81–84. [Google Scholar]
- Silvercel Guidelines. Available online: http://www.woundsinternational.com/uploads/resources/d426e9e2f7575b30a7a42c5f5bbdb82a.pdf (accessed on 14 August 2022).
- Gray, D. SilvercelTM non-adherent dressing: Taking the pain out of antimicrobial use. Wounds UK 2009, 5, 118–120. [Google Scholar]
- SMTL Dressings Datacard. Available online: http://www.dressings.org/Dressings/comfeel-plus.html (accessed on 14 August 2022).
- Ogushi, Y.; Sakai, S.; Kawakami, K. Synthesis of enzymatically-gellable carboxymethylcellulose for biomedical applications. J. Biosci. Bioeng. 2007, 104, 30–33. [Google Scholar] [CrossRef]
- Sarei, F.; Dounighi, N.M.; Zolfagharian, H.; Khaki, P.; Bidhendi, S.M. Alginate Nanoparticles as a Promising Adjuvant and Vaccine Delivery System. Indian J. Pharm Sci. 2013, 75, 442–449. [Google Scholar] [CrossRef] [Green Version]




| No. | Biologically Active Substance/Polymer Matrix | Release Profile | Ref. |
|---|---|---|---|
| 1 | Lactococcus lactis/NaAlg-NaCMC Films | The BSA-FITC release from AL2 beads was slow, 3.46 ± 1.33% and 7.41 ± 0.85% of the total encapsulated BSAFITC. The r samples A2C1, A1C1, and A1C2 showed similar BSA-FITC release behavior, which may be explained by the carboxyl groups of the alginate being protonated at pH 1.2, and a low degree of swelling limited diffusion of BSAFITC. The release rate of BSA-FITC from AL2 beads was faster than from A2C1, A1C1, and A1C2 beads due to the higher degree of swelling at pH 7.4. The A1C2 beads provided the controlled release from A1C2 beads over longer periods of time in the intestines. | [50] |
| 2 | Furazolidone and Bismuth (III)/NaAlg–CMC hydrogel | In a neutral solution, SCFDZ releases almost all the entrapped drug in about 8 h, the SCFDZ-Bi formulation releases around 60% of the encapsulated FDZ in the same period and continues releasing the drug for more than 24 h. At pH 1.2, the effect of bismuth(III) ions on the release rate of FDZ was less significant. | [52] |
| 3 | Diclofenac/Alg-CMC films | Released over a period of 420 min for the MLD film and 600 min for the BLD film. The MLD film showed a burst release up to 60 min with 59%, differently for the BLD films, when only 26% was released over this same time. After 360 min of contact between the films and the liquid media, the release of diclofenac reached values of 0.147 ± 0.021 mg cm−2 for the MLD film and 0.166 ± 0.016 mg cm−2 for the BLD film. No statistically significant difference between these films was observed, and the amount of diclofenac released was higher than the recommended dosage. | [53] |
| 4 | diclofenac and lidocaine/NaAlg/CMC | The fast (burst) release (∼45%) within the first 30 min may be explained by the dissolution of “trapped” or unbound drug molecules within the polymer structure. The latter is followed by a slower and prolonged release (∼50%) for the next 6 h (360 min), which is related to the combination of swelling and partial erosion. The Alg-CMC has the most sustained release. The overall released mass of DCF and LID from three types of multi-layers are compared. The release properties of both drugs are suited for Korsmeyer–Peppas model. The release behavior is predicted to be non-Fickian based on the exponent “n” value, which is above 0.89 in all cases. | [54] |
| 5 | diclofenac sodium/NaAlg/AlCMC | There is a linear relationship for drug release over a 4–5 h period from the core beads where it showed a longer straight line relationship (7 h) for the coated beads. The coating of the Al-CMC beads, prepared using 60% w/v AlCl3 × 6H2O, with 2% w/v aqueous solution of NaAlg resulted in a significant sustaining action of the Al-CMC beads as indicated by the shift in Tmax from 1.7 ± 0.84 to 3 ± 0.71 h and the prolongation of the MRT from 7.86 ± 0.54 to 10.82 ± 1.33 h. The Cmax increased significantly from 5.43 ± 2.91 to 11.66 ± 6.18 μg/mL, while the AUC0 → 24 increased significantly from 39.82 ± 26.61 to 57.92 ± 25.58 μg h/mL, resulting in a relative bioavailability of 145.45% relative to Al-CMC beads. | [55] |
| 6 | Gatifloxacin/NaAlg/NaCMC | Comparison of the release profile of GS2 (containing only NaAlg) with those of GS3–GS5 indicate that burst effect was considerably reduced. NaCMC (incorporated at 0.1 to 0.5% w/v) affected the drug release significantly. | [56] |
| 7 | Turmeric Extract/NaAlg/CMC | Higher tmr contents clearly results in higher release rates. The n value increased with increasing of tmr content. The release pattern was not Fickian diffusion controlled. The dependence of the n-value on tmr concentration was found. | [57] |
| 8 | Albumin/Alg/CMC | The release profile of albumin from the beads were investigated under simulated gastrointestinal conditions (pH 1.2, 4.5, and 7.4). The Fe3+– crosslinked beads displayed different degrees of albumin release for the various volume ratios and under various pH conditions. The Fe3+–crosslinked AC beads protected and controlled the release of protein. | [58] |
| 9 | Methotrexate/NaAlg/NaCMC | Almost the total amount of MTX release (98.1 ± 2.64%) was completed in 5 h. Entrapment efficiency (EE%) and release behaviors of the metal complexes of MTX were compared to MTX. The mostly used drug release kinetic models, which are first order, Higuchi, and Hixson-Crowell, were applied to release data. | [60] |
| 10 | Metformin hydrochloride/NaAlg/NaCMC | The higher release profiles were pH 7.4 compared to pH 1.2. | [61] |
| 11 | poly(vinyl alcohol)-grafted polyacrylamide (PVA-g-PAAm)/NaAlg/NaCMC | The release was studied in 250 mL of HCl (pH 1.2) and PBS (pH 6.8 and 7.4).The release of DP increased with the increase in drug/polymer ratio (d/p) and PVA-g-PAAm/NaAlg/NaCMC ratio, while it decreased with the increase in the extent of crosslinking. The optimum DP release was 92.9% for a PVA-g-PAAm/NaAlg/NaCMC with the ratio as 1/2/1, d/p ratio as 1/8, and FeCl3 concentration of 7% (w/v). | [62] |
| Name | Composition/Target | Study Type/Effects | Ref. |
|---|---|---|---|
| Aquacel™ Ag EXTRA™ Hydrofiber™ (Prescribed/OTC) | Bi-layer Na Alg CMC—Ag+—strengthening fibers; Surgical, traumatic, exuding, infected, painful wounds, second degree burns, ulcers, or for minor cuts or burns | Bacterial inhibition, absorbs the wound exudate while forming a gel, it must be changed every 1–2 weeks | [65] |
| Purilon Gel® (ColoPlast) | Na CMC—Ca Alg; Used with another dressing for first and second degree burns or sloughy and necrotic wounds | Wound surface moisturizer | [66,67] |
| Silvercel™ (Johnson & Johnson) | 36% Ca ALG with high G—6% CMC—28% Ag (111 mg Ag/100 cm2)—30% EasyLift Precision Film (Acelity/Systagenix) | Pig and human trials, wound healing | [68,69,70,71,72] |
| Comfeel Plus™ | NaCMC and calcium alginate | Ulcers such as venous leg ulcers, pressure ulcers; burns, donor sites, postoperative wounds, and necrotic wounds | [73] |
Publisher’s Note: MDPI stays neutral with regard to jurisdictional claims in published maps and institutional affiliations. |
© 2022 by the authors. Licensee MDPI, Basel, Switzerland. This article is an open access article distributed under the terms and conditions of the Creative Commons Attribution (CC BY) license (https://creativecommons.org/licenses/by/4.0/).
Share and Cite
Morozkina, S.; Strekalovskaya, U.; Vanina, A.; Snetkov, P.; Krasichkov, A.; Polyakova, V.; Uspenskaya, M. The Fabrication of Alginate–Carboxymethyl Cellulose-Based Composites and Drug Release Profiles. Polymers 2022, 14, 3604. https://doi.org/10.3390/polym14173604
Morozkina S, Strekalovskaya U, Vanina A, Snetkov P, Krasichkov A, Polyakova V, Uspenskaya M. The Fabrication of Alginate–Carboxymethyl Cellulose-Based Composites and Drug Release Profiles. Polymers. 2022; 14(17):3604. https://doi.org/10.3390/polym14173604
Chicago/Turabian StyleMorozkina, Svetlana, Ulyana Strekalovskaya, Anna Vanina, Petr Snetkov, Alexander Krasichkov, Victoriya Polyakova, and Mayya Uspenskaya. 2022. "The Fabrication of Alginate–Carboxymethyl Cellulose-Based Composites and Drug Release Profiles" Polymers 14, no. 17: 3604. https://doi.org/10.3390/polym14173604
APA StyleMorozkina, S., Strekalovskaya, U., Vanina, A., Snetkov, P., Krasichkov, A., Polyakova, V., & Uspenskaya, M. (2022). The Fabrication of Alginate–Carboxymethyl Cellulose-Based Composites and Drug Release Profiles. Polymers, 14(17), 3604. https://doi.org/10.3390/polym14173604

