Development of Novel S-Protective Thiolated-Based Mucoadhesive Tablets for Repaglinide: Pharmacokinetic Study
Abstract
:1. Introduction
2. Materials and Methods
2.1. Materials
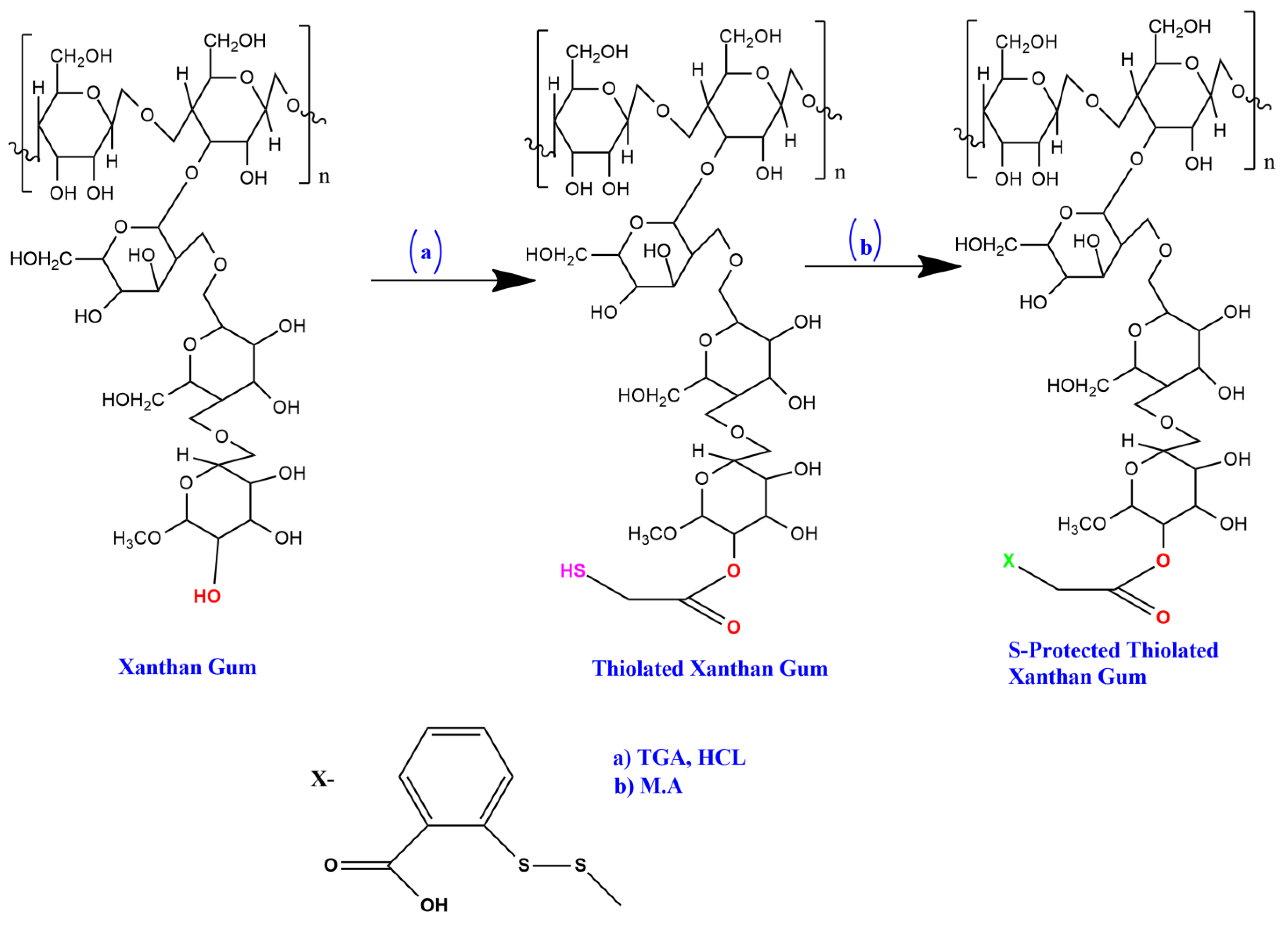
2.2. Thiolation of Xanthan Gum [TXG]
2.2.1. Experimental Design
2.2.2. Rheological Test
2.2.3. Mucoadhesion Studies via Rotating Cylinder
2.3. Synthesis of STX
2.4. Characterization of Xanthan Gum, TXG and STX
2.4.1. Fourier-Transform Infrared Spectroscopy
2.4.2. Rheological Test
2.4.3. Quantitative Assay of Thiol/Disulfide/MNA Groups
2.5. Formulation of Mucoadhesive Tablets of Repaglinide
2.6. Evaluation Tests
2.6.1. Quality Control Tests
2.6.2. Swelling Study
2.6.3. Ex Vivo Mucoadhesion Time
2.6.4. Ex Vivo Study of Mucoadhesion Strength
2.7. Biological Studies: Cell Culture and Cell Viability
Cell Cultures and Viability Test by Resazurin Assay
2.8. In Vitro Drug Release Test
2.9. Bioavailability Studies
3. Results and Discussion
3.1. Optimization of Synthesis of TXG
3.2. Characterization
3.3. Formulation of Mucoadhesive Dosage Forms
3.4. Cell Viability Analysis by Resazurin Assay
3.5. In Vitro Drug Release Studies
3.6. Pharmacokinetic Studies
4. Conclusions
Supplementary Materials
Author Contributions
Funding
Institutional Review Board statement
Informed Consent Statement
Data Availability Statement
Conflicts of Interest
References
- Roy, S.; Pal, K.; Anis, A.; Pramanik, K.; Prabhakar, B. Polymers in mucoadhesive drug-delivery systems: A brief note. Des. Monomers Polym. 2009, 12, 483–495. [Google Scholar] [CrossRef]
- Singh, I.; Rana, V. Enhancement of mucoadhesive property of polymers for drug delivery applications: A critical review. Rev. Adhes. Adhes. 2013, 1, 271–290. [Google Scholar] [CrossRef]
- Khanlari, S.; Dubé, M.A. Bioadhesives: A review. Macromol. React. Eng. 2013, 7, 573–587. [Google Scholar] [CrossRef]
- Puri, V.; Sharma, A.; Maman, P.; Rathore, N.; Singh, I. Overview of mucoadhesive biopolymers for buccal drug delivery systems. Int. J. Appl. Pharm. 2019, 11, 18–29. [Google Scholar] [CrossRef]
- Kanchi, S.; Sharma, D. Nanomaterials in Diagnostic Tools and Devices; Elsevier: Amsterdam, The Netherlands, 2020. [Google Scholar]
- Mendes, A.C.; Moreno, J.S.; Hanif, M.; Douglas, T.E.L.; Chen, M.; Chronakis, I.S. Morphological, mechanical and mucoadhesive properties of electrospun chitosan/phospholipid hybrid nanofibers. Int. J. Mol. Sci. 2018, 19, 2266. [Google Scholar] [CrossRef] [PubMed]
- Xu, J.; Tam, M.; Samaei, S.; Lerouge, S.; Barralet, J.; Stevenson, M.M.; Cerruti, M. Mucoadhesive chitosan hydrogels as rectal drug delivery vessels to treat ulcerative colitis. Acta Biomater. 2017, 48, 247–257. [Google Scholar] [CrossRef] [PubMed]
- De Araújo Pereira, R.R.; Bruschi, M.L. Vaginal mucoadhesive drug delivery systems. Drug Dev. Ind. Pharm. 2012, 38, 643–652. [Google Scholar] [CrossRef] [PubMed]
- George, B.; Suchithra, T.V. Plant-derived bioadhesives for wound dressing and drug delivery system. Fitoterapia 2019, 137, 104241. [Google Scholar] [CrossRef] [PubMed]
- Gorityala, S.; Yang, S.; Montano, M.M.; Xu, Y. Simultaneous Determination of Dihydrotestosterone and Its Metabolites in Mouse Sera by LC-MS/MS with Chemical Derivatization. J. Chromatogr. B Analyt. Technol. Biomed. Life Sci. 2018, 1090, 22–35. [Google Scholar] [CrossRef] [PubMed]
- Brannigan, R.P.; Khutoryanskiy, V.V. Progress and Current Trends in the Synthesis of Novel Polymers with Enhanced Mucoadhesive Properties. Macromol. Biosci. 2019, 19, e1900194. [Google Scholar] [CrossRef] [PubMed]
- Leitner, V.M.; Walker, G.F.; Bernkop-Schnürch, A. Thiolated polymers: Evidence for the formation of disulphide bonds with mucus glycoproteins. Eur. J. Pharm. Biopharm. 2003, 56, 207–214. [Google Scholar] [CrossRef]
- Netsomboon, K.; Jalil, A.; Laffleur, F.; Hupfauf, A.; Gust, R.; Bernkop-Schnürch, A. Thiolated chitosans: Are Cys-Cys ligands key to the next generation? Carbohydr. Polym. 2020, 242, 116395. [Google Scholar] [CrossRef] [PubMed]
- Puri, V.; Sharma, A.; Kumar, P.; Singh, I. Thiolation of biopolymers for developing drug delivery systems with enhanced mechanical and mucoadhesive properties: A review. Polymers 2020, 12, 1803. [Google Scholar] [CrossRef] [PubMed]
- Shu, Y.; Mannem, C.; Xu, G.; Gorityala, S.; Liu, X.; Xu, Y. Untargeted Metabolomics Profiling and Global Semi-Quantitation of a Prescription Chinese Herbal Medicine Formula Yinqiaosan Using UPLC-QTOF-MS with a Single Exogenous Reference Internal Standard. Planta Med. Int. Open 2020, 07, e45–e57. [Google Scholar] [CrossRef]
- Grewal, P.; Mundlia, J.; Ahuja, M. Thiol modified Moringa gum—A potential bioadhesive polymer. Carbohydr. Polym. 2019, 209, 400–408. [Google Scholar] [CrossRef] [PubMed]
- Aldawsari, H.M.; Raghavendra Naveen, N.; Alhakamy, N.A.; Goudanavar, P.S.; Koteswara Rao, G.; Rani Budha, R.; Nair, A.B.; Badr-Eldin, S.M.; Badr-, S.M. Compression-coated pulsatile chronomodulated therapeutic system: QbD assisted optimization. Drug Deliv. 2022, 29, 2258–2268. [Google Scholar] [CrossRef] [PubMed]
- Yadav, S.; Ahuja, M.; Kumar, A.; Kaur, H. Gellan-thioglycolic acid conjugate: Synthesis, characterization and evaluation as mucoadhesive polymer. Carbohydr. Polym. 2014, 99, 601–607. [Google Scholar] [CrossRef]
- Begum, A.; Sindhu, K.; Giri, K.; Umera, F.; Gauthami, G.; Kumar, J.V.; Naveen, N.; Rao, K.N.V.; Ali, S.S.; Sri, K. Pharmacognostical and physio-chemical evaluation of Indian Asparagus officinalis Linn family Lamiaceae. Int. J. Pharmacogn. Phytochem. Res. 2017, 9, 327–336. [Google Scholar]
- Kumar, A.; Ahuja, M. Carboxymethyl gum kondagogu: Synthesis, characterization and evaluation as mucoadhesive polymer. Carbohydr. Polym. 2012, 90, 637–643. [Google Scholar] [CrossRef] [PubMed]
- Kaur, H.; Yadav, S.; Ahuja, M.; Dilbaghi, N. Synthesis, characterization and evaluation of thiolated tamarind seed polysaccharide as a mucoadhesive polymer. Carbohydr. Polym. 2012, 90, 1543–1549. [Google Scholar] [CrossRef]
- Bhatia, M.; Ahuja, M. Thiol modification of psyllium husk mucilage and evaluation of its mucoadhesive applications. Sci. World J. 2013, 2013, 284182. [Google Scholar] [CrossRef] [PubMed] [Green Version]
- Duggan, S.; Cummins, W.; O’ Donovan, O.; Hughes, H.; Owens, E. Thiolated polymers as mucoadhesive drug delivery systems. Eur. J. Pharm. Sci. 2017, 100, 64–78. [Google Scholar] [CrossRef]
- Asim, M.H.; Ijaz, M.; Mahmood, A.; Knoll, P.; Jalil, A.; Arshad, S.; Bernkop-Schnürch, A. Thiolated cyclodextrins: Mucoadhesive and permeation enhancing excipients for ocular drug delivery. Int. J. Pharm. 2021, 599, 120451. [Google Scholar] [CrossRef] [PubMed]
- Perrone, M.; Lopalco, A.; Lopedota, A.; Cutrignelli, A.; Laquintana, V.; Douglas, J.; Franco, M.; Liberati, E.; Russo, V.; Tongiani, S.; et al. Preactivated thiolated glycogen as mucoadhesive polymer for drug delivery. Eur. J. Pharm. Biopharm. 2017, 119, 161–169. [Google Scholar] [CrossRef] [PubMed]
- Perrone, M.; Lopedota, A.; Liberati, E.; Russo, V.; Cutrignelli, A.; Laquintana, V.; de Sousa, I.P.; Franco, M.; Tongiani, S.; Denora, N.; et al. Natural dendrimers: Synthesis and in vitro characterization of glycogen-cysteamine conjugates. Eur. J. Pharm. Biopharm. 2017, 115, 168–176. [Google Scholar] [CrossRef]
- Netsomboon, K.; Laffleur, F.; Bernkop-Schnürch, A. P-glycoprotein inhibitors: Synthesis and in vitro evaluation of a preactivated thiomer. Drug Dev. Ind. Pharm. 2016, 42, 668–675. [Google Scholar] [CrossRef]
- Ghori, M.U.; Alba, K.; Smith, A.M.; Conway, B.R.; Kontogiorgos, V. Okra extracts in pharmaceutical and food applications. Food Hydrocoll. 2014, 42, 342–347. [Google Scholar] [CrossRef]
- Kontogiorgos, V.; Margelou, I.; Georgiadis, N.; Ritzoulis, C. Rheological characterization of okra pectins. Food Hydrocoll. 2012, 29, 356–362. [Google Scholar] [CrossRef]
- Budai-Szucs, M.; Kiss, E.L.; Szilágyi, B.; Szilágyi, A.; Gyarmati, B.; Berkó, S.; Kovács, A.; Horvát, G.; Aigner, Z.; Soós, J.; et al. Mucoadhesive cyclodextrin-modified thiolated poly(aspartic acid) as a potential ophthalmic drug delivery system. Polymers 2018, 10, 199. [Google Scholar] [CrossRef]
- Mahmood, A.; Lanthaler, M.; Laffleur, F.; Huck, C.W.; Bernkop-Schnürch, A. Thiolated chitosan micelles: Highly mucoadhesive drug carriers. Carbohydr. Polym. 2017, 167, 250–258. [Google Scholar] [CrossRef]
- Özkahraman, B.; Özbaş, Z.; Yaşayan, G.; Akgüner, Z.P.; Yarımcan, F.; Alarçin, E.; Bal-Öztürk, A. Development of mucoadhesive modified kappa-carrageenan/pectin patches for controlled delivery of drug in the buccal cavity. J. Biomed. Mater. Res. Part B Appl. Biomater. 2022, 110, 787–798. [Google Scholar] [CrossRef] [PubMed]
- Naveen, N.R.; Gopinath, C.; Rao, D.S. Design expert supported mathematical optimization of repaglinide gastroretentive floating tablets: In vitro and in vivo evaluation. Future J. Pharm. Sci. 2017, 3, 140–147. [Google Scholar] [CrossRef]
- He, W.; Wu, M.; Huang, S.; Yin, L. Matrix tablets for sustained release of repaglinide: Preparation, pharmacokinetics and hypoglycemic activity in beagle dogs. Int. J. Pharm. 2015, 478, 297–307. [Google Scholar] [CrossRef] [PubMed]
- Bhatia, M.; Ahuja, M.; Mehta, H. Thiol derivatization of Xanthan gum and its evaluation as a mucoadhesive polymer. Carbohydr. Polym. 2015, 131, 119–124. [Google Scholar] [CrossRef] [PubMed]
- Kurakula, M.; Naveen, N.R. In situ gel loaded with chitosan-coated simvastatin nanoparticles: Promising delivery for effective anti-proliferative activity against tongue carcinoma. Mar. Drugs 2020, 18, 201. [Google Scholar] [CrossRef]
- Naveen, N.R.; Kurakula, M.; Gowthami, B. Process optimization by response surface methodology for preparation and evaluation of methotrexate loaded chitosan nanoparticles. Mater. Today Proc. 2020, 33, 2716–2724. [Google Scholar] [CrossRef]
- Racaniello, G.F.; Laquintana, V.; Summonte, S.; Lopedota, A.; Cutrignelli, A.; Lopalco, A.; Franco, M.; Bernkop-Schnürch, A.; Denora, N. Spray-dried mucoadhesive microparticles based on S-protected thiolated hydroxypropyl-β-cyclodextrin for budesonide nasal delivery. Int. J. Pharm. 2021, 603, 120728. [Google Scholar] [CrossRef]
- Dünnhaupt, S.; Barthelmes, J.; Thurner, C.C.; Waldner, C.; Sakloetsakun, D.; Bernkop-Schnürch, A. S-protected thiolated chitosan: Synthesis and in vitro characterization. Carbohydr. Polym. 2012, 90, 765–772. [Google Scholar] [CrossRef]
- Sharma, M.; Kohli, S.; Dinda, A. In-vitro and in-vivo evaluation of repaglinide loaded floating microspheres prepared from different viscosity grades of HPMC polymer. Saudi Pharm. J. 2015, 23, 675–682. [Google Scholar] [CrossRef]
- Dicharry, R.M.; Ye, P.; Saha, G.; Waxman, E.; Asandei, A.D.; Parnas, R.S. Wheat gluten-thiolated poly(vinyl alcohol) blends with improved mechanical properties. Biomacromolecules 2006, 7, 2837–2844. [Google Scholar] [CrossRef]
- Naveen, N.R.; Gopinath, C.; Kurakula, M. Okra-thioglycolic acid conjugate-synthesis, characterization, and evaluation as a mucoadhesive polymer. Processes 2020, 8, 316. [Google Scholar] [CrossRef] [Green Version]
- Naveen, N.R.; Gopinath, C.; Rao, D.S. Isolation and assessment of natural mucoadhesive agent isolated from Abelmoschus esculents. J. Pharm. Res. 2017, 11, 438–443. [Google Scholar]
- Lupo, N.; Fodor, B.; Muhammad, I.; Yaqoob, M.; Matuszczak, B.; Bernkop-Schnürch, A. Entirely S-protected chitosan: A promising mucoadhesive excipient for metronidazole vaginal tablets. Acta Biomater. 2017, 64, 106–115. [Google Scholar] [CrossRef] [PubMed]
- Laquintana, V.; Asim, M.H.; Lopedota, A.; Cutrignelli, A.; Lopalco, A.; Franco, M.; Bernkop-Schnürch, A.; Denora, N. Thiolated hydroxypropyl-β-cyclodextrin as mucoadhesive excipient for oral delivery of budesonide in liquid paediatric formulation. Int. J. Pharm. 2019, 572, 118820. [Google Scholar] [CrossRef] [PubMed]
- Mahmood, A.; Bonengel, S.; Laffleur, F.; Ijaz, M.; Leonaviciute, G.; Bernkop-Schnürch, A. An in-vitro exploration of permeation enhancement by novel polysulfonate thiomers. Int. J. Pharm. 2015, 496, 304–313. [Google Scholar] [CrossRef]
- Kurakula, M.; Naveen, N.R.; Patel, B.; Manne, R.; Patel, D.B. Preparation, Optimization and Evaluation of Chitosan-Based Avanafil Nanocomplex Utilizing Antioxidants for Enhanced Neuroprotective Effect on PC12 Cells. Gels 2021, 7, 96. [Google Scholar] [CrossRef]
- Liu, S.; Ho, P.C. Formulation optimization of scutellarin-loaded HP-β-CD/chitosan nanoparticles using response surface methodology with Box–Behnken design. Asian J. Pharm. Sci. 2017, 12, 378–385. [Google Scholar] [CrossRef]
- Jeirani, Z.; Jan, B.M.; Si Ali, B.; Mohd Noor, I.; Chun Hwa, S.; Saphanuchart, W. The optimal mixture design of experiments: Alternative method in optimizing the aqueous phase composition of a microemulsion. Chemom. Intell. Lab. Syst. 2012, 112, 1–7. [Google Scholar] [CrossRef]
- Chen, L.; Zhang, Z.; Gong, W.; Liang, Z. Quantifying the effects of fuel compositions on GDI-derived particle emissions using the optimal mixture design of experiments. Fuel 2015, 154, 252–260. [Google Scholar] [CrossRef]
- Nayak, A.K.; Pal, D.; Santra, K. Ispaghula mucilage-gellan mucoadhesive beads of metformin HCl: Development by response surface methodology. Carbohydr. Polym. 2014, 107, 41–50. [Google Scholar] [CrossRef]
- Hooda, A.; Nanda, A.; Jain, M.; Kumar, V.; Rathee, P. Optimization and evaluation of gastroretentive ranitidine HCl microspheres by using design expert software. Int. J. Biol. Macromol. 2012, 51, 691–700. [Google Scholar] [CrossRef] [PubMed]
- Perrone, M.; Lopalco, A.; Lopedota, A.; Cutrignelli, A.; Laquintana, V.; Franco, M.; Bernkop-Schnürch, A.; Denora, N. S-preactivated thiolated glycol chitosan useful to combine mucoadhesion and drug delivery. Eur. J. Pharm. Biopharm. 2018, 132, 103–111. [Google Scholar] [CrossRef] [PubMed]
- Puri, V.; Sharma, A.; Kumar, P.; Singh, I.; Huanbutta, K. Synthesis and Characterization of Thiolated Gum Ghatti as a Novel Excipient: Development of Compression-Coated Mucoadhesive Tablets of Domperidone. ACS Omega 2021, 6, 15844–15854. [Google Scholar] [CrossRef] [PubMed]
- Sakloetsakun, D.; Iqbal, J.; Millotti, G.; Vetter, A.; Bernkop-Schnürch, A. Thiolated chitosans: Influence of various sulfhydryl ligands on permeation-enhancing and P-gp inhibitory properties. Drug Dev. Ind. Pharm. 2011, 37, 648–655. [Google Scholar] [CrossRef]
- Pengpong, T.; Sangvanich, P.; Sirilertmukul, K.; Muangsin, N. Design, synthesis and in vitro evaluation of mucoadhesive p-coumarate-thiolated-chitosan as a hydrophobic drug carriers. Eur. J. Pharm. Biopharm. 2014, 86, 487–497. [Google Scholar] [CrossRef]











| Factors/Independent Variables | Levels | Responses/Dependent Variables | Constraints | ||||
|---|---|---|---|---|---|---|---|
| −1.414 | −1 | 0 | +1 | +1.414 | |||
| TGA Conc- X1 (moles/L) | 1.17 | 2 | 4 | 6 | 6.82 | Viscosity (mPa-mPs) | Maximum |
| Xanthan Gum Conc-X2 (g/L) | 3.17 | 4 | 6 | 8 | 8.82 | MS (h) | Maximum |
| RXG-1 | RXG-2 | RTX-1 | RTX-2 | RSX-1 | RSX-2 | |
|---|---|---|---|---|---|---|
| Xanthan gum (%) | 30 | 60 | -- | -- | -- | -- |
| TXG (%) | -- | -- | 30 | 60 | -- | -- |
| STX (%) | -- | -- | -- | -- | 30 | 60 |
| Factor 1 | Factor 2 | Response 1 | Response 2 | ||
|---|---|---|---|---|---|
| Std | Run | A:TGA Conc | B:Xanthan Gum Conc | Viscosity | MS |
| (moles/L) | (g/L) | mPa-s | h | ||
| 1 | 13 | 2 | 4 | 15.5 | 2.5 |
| 3 | 1 | 2 | 8 | 17.5 | 2.9 |
| 5 | 10 | 1.17157 | 6 | 18.7 | 1.5 |
| 7 | 12 | 4 | 3.17157 | 20.4 | 3.8 |
| 8 | 9 | 4 | 8.82843 | 22.4 | 5.4 |
| 13 | 2 | 4 | 6 | 27.4 | 8.4 |
| 10 | 8 | 4 | 6 | 27.5 | 8.5 |
| 11 | 11 | 4 | 6 | 27.5 | 8.2 |
| 9 | 3 | 4 | 6 | 27.9 | 8.3 |
| 12 | 6 | 4 | 6 | 28.1 | 8.4 |
| 2 | 4 | 6 | 4 | 28.4 | 6.2 |
| 4 | 5 | 6 | 8 | 28.4 | 5.7 |
| 6 | 7 | 6.82843 | 6 | 34.5 | 4.6 |
| Response | Models | R2 | Adju.R2 | Pred.R2 | Adequate Precision | Sequential p-Value | Remarks |
|---|---|---|---|---|---|---|---|
| Viscosity | Linear | 0.7398 | 0.6878 | 0.5335 | ---- | 0.0012 | |
| 2 FI | 0.7426 | 0.6568 | 0.3078 | ---- | 0.7636 | ||
| Quadratic | 0.9848 | 0.9740 | 0.8976 | 29.2120 | <0.0001 | Suggested | |
| Cubic | 0.9858 | 0.9659 | 0.1529 | --- | 0.8488 | Aliased | |
| MS | Linear | 0.2017 | 0.0421 | −0.2903 | --- | 0.3242 | |
| 2 FI | 0.2044 | −0.0608 | −0.6586 | --- | 0.8663 | ||
| Quadratic | 0.9763 | 0.9593 | 0.8351 | 20.2198 | <0.0001 | Suggested | |
| Cubic | 0.9928 | 0.9826 | 0.5796 | --- | 0.0514 |
| Intercept | A | B | AB | A2 | B2 | |
|---|---|---|---|---|---|---|
| Viscosity | 27.68 | 5.76807 | 0.603553 | −0.5 | −0.9275 | −3.5275 |
| p-values | <0.0001 | 0.0061 | 0.2974 | 0.0283 | <0.0001 | |
| MS | 8.36 | 1.36051 | 0.270343 | −0.225 | −2.53 | −1.755 |
| p-values | 0.0001 | 0.0017 | 0.4055 | <0.0001 | <0.0001 |
| Sample | -SH | -S-S- | MNA |
|---|---|---|---|
| (µmol/g) | |||
| TXG | 266.78 ± 13 | 202.29 ± 14 | -- |
| STX | -- | -- | 219.48 ± 11.8 |
| Ex Vivo Residence Time | Mucoadhesion Strength | ||
|---|---|---|---|
| Glass Slide Method | Modified Basket Method | (g) | |
| RXG-1 | 410 min | 385 min | 1.68 ± 0.85 |
| RXG-2 | 460 min | 442 min | 2.45 ± 1.12 |
| RTX-1 | 575 min | 559 min | 3.89 ± 1.35 |
| RTX-2 | 640 min | 635 min | 6.13 ± 2.04 |
| RSX-1 | >16 h | >16 h | 12.78 ± 1.45 |
| RSX-2 | >16 h | >16 h | 17.57 ± 1.28 |
| Pharmacokinetic Parameter | Pure Repaglinide | RSX-2 |
|---|---|---|
| Cmax (μg mL−1 h) | 0.313 ± 0.020 | 0.229 ± 0.015 |
| t max (h) | 1 ± 0.000 | 9.000 ± 0.000 |
| AUC0-t (μg mL−1 h) | 0.395 ± 0.251 | 2.865 ± 0.084 |
| AUMC0-t (μg mL−1 h) | 0.49 ± 0.321 | 25.481 ± 1.249 |
| MRTt (h) | 1.25 ± 0.268 | 10.746 ± 0.142 |
| t1/2 (h) | 0.41 ± 0.084 | 4.587 ± 0.247 |
| AUC0-i (μg mL−1 h) | 0.396 ± 0.0.324 | 2.905 ± 0.128 |
| AUMC0-i (μg mL−1 h) | 0.496 ± 0.415 | 27.645 ± 1.089 |
| CL (l/h) | 2.52 ± 0.159 | 0.801 ± 0.031 |
| Vd (l) | 1.48 ± 0.098 | 2.948 ± 0.391 |
| Ke (1/h) | 1.690 | 0.252 |
Publisher’s Note: MDPI stays neutral with regard to jurisdictional claims in published maps and institutional affiliations. |
© 2022 by the authors. Licensee MDPI, Basel, Switzerland. This article is an open access article distributed under the terms and conditions of the Creative Commons Attribution (CC BY) license (https://creativecommons.org/licenses/by/4.0/).
Share and Cite
Alhakamy, N.A.; Naveen, N.R.; Gorityala, S.; Kurakula, M.; Hosny, K.M.; Safhi, A.Y.; Bukhary, D.M.; Bukhary, H.A.; Sabei, F.Y.; Mushtaq, R.Y.; et al. Development of Novel S-Protective Thiolated-Based Mucoadhesive Tablets for Repaglinide: Pharmacokinetic Study. Polymers 2022, 14, 3529. https://doi.org/10.3390/polym14173529
Alhakamy NA, Naveen NR, Gorityala S, Kurakula M, Hosny KM, Safhi AY, Bukhary DM, Bukhary HA, Sabei FY, Mushtaq RY, et al. Development of Novel S-Protective Thiolated-Based Mucoadhesive Tablets for Repaglinide: Pharmacokinetic Study. Polymers. 2022; 14(17):3529. https://doi.org/10.3390/polym14173529
Chicago/Turabian StyleAlhakamy, Nabil A., Nimbagal Raghavendra Naveen, Shashank Gorityala, Mallesh Kurakula, Khaled M. Hosny, Awaji Y. Safhi, Deena M. Bukhary, Haitham A. Bukhary, Fahad Y. Sabei, Rayan Y. Mushtaq, and et al. 2022. "Development of Novel S-Protective Thiolated-Based Mucoadhesive Tablets for Repaglinide: Pharmacokinetic Study" Polymers 14, no. 17: 3529. https://doi.org/10.3390/polym14173529
APA StyleAlhakamy, N. A., Naveen, N. R., Gorityala, S., Kurakula, M., Hosny, K. M., Safhi, A. Y., Bukhary, D. M., Bukhary, H. A., Sabei, F. Y., Mushtaq, R. Y., & Murshid, S. S. (2022). Development of Novel S-Protective Thiolated-Based Mucoadhesive Tablets for Repaglinide: Pharmacokinetic Study. Polymers, 14(17), 3529. https://doi.org/10.3390/polym14173529

