A Novel Triple Crosslinking Strategy on Carbon Nanofiber Membranes as Flexible Electrodes for Lithium-Ion Batteries
Abstract
:1. Introduction
2. Experimental
2.1. Preparation of Carbon Membranes
2.2. Characterization
2.3. Electrochemical Measurement
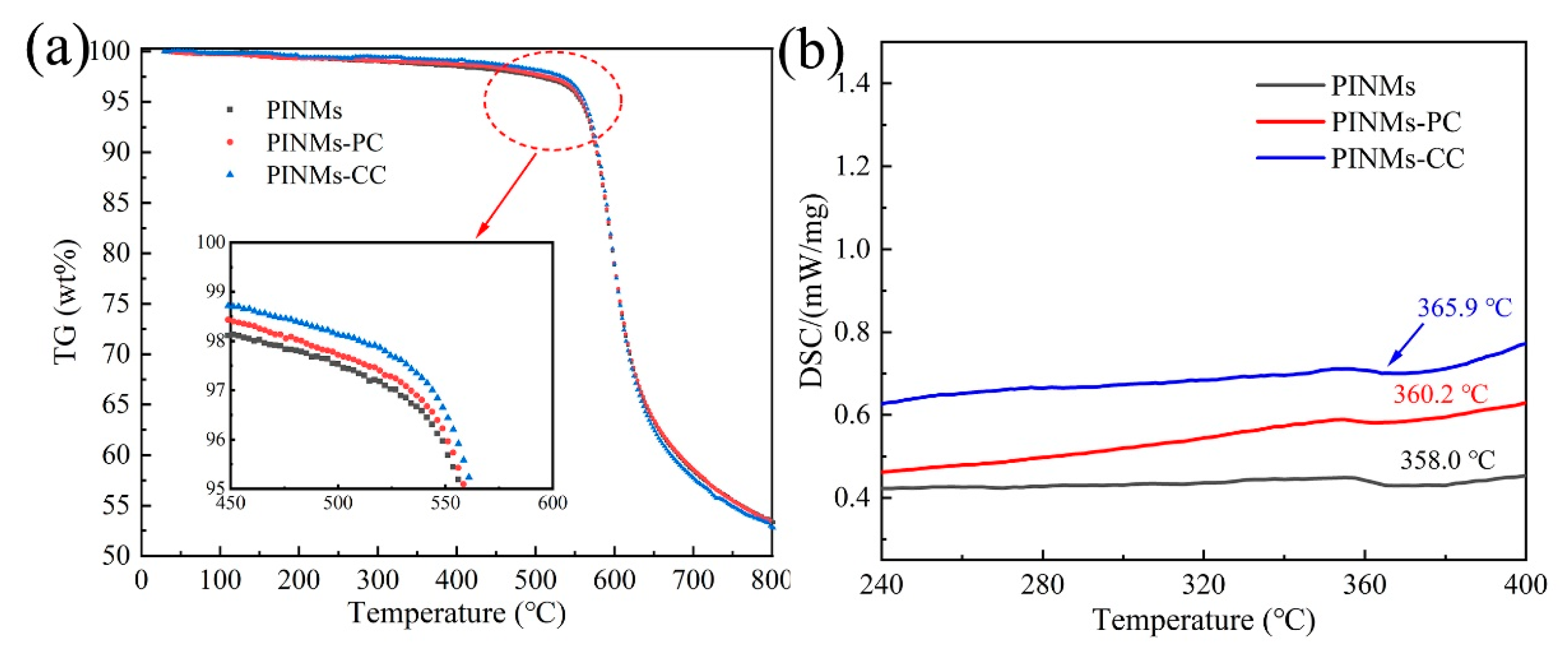
3. Results and Discussion
4. Conclusions
Author Contributions
Funding
Institutional Review Board Statement
Informed Consent Statement
Data Availability Statement
Conflicts of Interest
References
- Zhang, Y.; Jiao, Y.D.; Liao, M.; Wang, B.J.; Peng, H.S. Carbon nanomaterials for flexible lithium ion batteries. Carbon 2017, 124, 79–88. [Google Scholar] [CrossRef]
- Lee, B.S. A review of recent advancements in electrospun anode materials to improve rechargeable lithium battery performance. Polymers 2020, 12, 2035. [Google Scholar] [CrossRef] [PubMed]
- Kim, C.; Yang, K.S.; Kojima, M.; Yoshida, K.; Kim, Y.J.; Kim, Y.A.; Endo, M. Fabrication of electrospinning-derived carbon nanofiber webs for the anode material of lithium-ion secondary batteries. Adv. Funct. Mater. 2006, 16, 2393–2397. [Google Scholar] [CrossRef]
- Zhang, M.; Lu, R.C.; Yuan, H.X.; Amin, K.R.; Mao, L.J.; Yan, W.; Wei, Z.X. Nanowire array-coated flexible substrate to accommodate lithium plating for stable lithium-metal anodes and flexible lithium-organic batteries. ACS Appl. Mater. Inter. 2019, 11, 20873–20880. [Google Scholar] [CrossRef] [PubMed]
- Huang, J.Q.; Peng, H.J.; Liu, X.Y.; Nie, J.Q.; Cheng, X.B.; Zhang, Q.; Wei, F. Flexible all-carbon interlinked nanoarchitectures as cathode scaffolds for high-rate lithium-sulfur batteries. J. Mater. Chem. A 2014, 2, 10869–10875. [Google Scholar] [CrossRef]
- Lu, X.H.; Zhai, T.; Zhang, X.H.; Shen, Y.Q.; Yuan, L.Y.; Hu, B.; Gong, L.; Chen, J.; Gao, Y.H.; Zhou, J.; et al. WO3-x@Au@MnO2 core-shell nanowires on carbon fabric for high-performance flexible supercapacitors. Adv. Mater. 2012, 24, 938–944. [Google Scholar] [CrossRef]
- Yousaf, M.; Shi, H.T.H.; Wang, Y.S.; Chen, Y.J.; Ma, Z.M.; Cao, A.Y.; Naguib, H.E.; Han, R.P.S. Novel pliable electrodes for flexible electrochemical energy storage devices: Recent progress and challenges. Adv. Energy Mater. 2016, 6, 1600490. [Google Scholar] [CrossRef]
- Lee, Y.K. The effect of active material, conductive additives, and binder in a cathode composite electrode on battery performance. Energies 2019, 12, 658. [Google Scholar] [CrossRef]
- Zhou, G.M.; Li, F.; Cheng, H.M. Progress in flexible lithium batteries and future prospects. Energy Environ. Sci. 2014, 7, 1307–1338. [Google Scholar] [CrossRef]
- Elazari, R.; Salitra, G.; Garsuch, A.; Panchenko, A.; Aurbach, D. Sulfur-impregnated activated carbon fiber cloth as a binder-free cathode for rechargeable Li-S batteries. Adv. Mater. 2011, 23, 5641–5644. [Google Scholar] [CrossRef]
- Ji, L.W.; Zhang, X.W. Fabrication of porous carbon/Si composite nanofibers as high-capacity battery electrodes. Electrochem. Commun. 2009, 11, 1146–1149. [Google Scholar] [CrossRef]
- Xia, L.; Wang, S.Q.; Liu, G.X.; Ding, L.X.; Li, D.D.; Wang, H.H.; Qiao, S.Z. Flexible SnO2/N-doped carbon nanofiber films as integrated electrodes for lithium-ion batteries with superior rate capacity and long cycle life. Small 2016, 12, 853–859. [Google Scholar] [CrossRef]
- Santangelo, S. Electrospun Nanomaterials for energy applications: Recent advances. Appl. Sci. 2019, 9, 1049. [Google Scholar] [CrossRef]
- Gee, S.; Johnson, B.; Smith, A.L. Optimizing electrospinning parameters for piezoelectric PVDF nanofiber membranes. J. Membrane Sci. 2018, 563, 804–812. [Google Scholar] [CrossRef]
- Ero-Phillips, O.; Jenkins, M.; Stamboulis, A. Tailoring crystallinity of electrospun Plla fibers by control of electrospinning parameters. Polymers 2013, 4, 1331–1348. [Google Scholar] [CrossRef]
- Barik, R.; Raulo, A.; Jha, S.; Nandan, B.; Ingole, P.P. Polymer-derived electrospun Co3O4@C porous nanofiber network for flexible, high-performance, and stable supercapacitors. ACS Appl. Energy Mater. 2020, 3, 11002–11014. [Google Scholar] [CrossRef]
- Zhao, B.T.; Cai, R.; Jiang, S.M.; Sha, Y.J.; Shao, Z.P. Highly flexible self-standing film electrode composed of mesoporous rutile TiO2/C nanofibers for lithium-ion batteries. Electrochim. Acta. 2012, 85, 636–643. [Google Scholar] [CrossRef]
- Noerochim, L.; Wang, J.Z.; Chou, S.L.; Wexler, D.; Liu, H.K. Free-standing single-walled carbon nanotube/SnO2 anode paper for flexible lithium-ion batteries. Carbon 2012, 50, 1289–1297. [Google Scholar] [CrossRef]
- Xu, H.; Yin, C.Q.; Hou, X.R.; Gong, M.; Yang, C.S.; Xu, L.X.; Luo, J.P.; Ma, L.; Zhou, L.; Li, X.M. Polyimide-derived carbon nanofiber membranes as free-standing anodes for lithium-ion batteries. RSC Adv. 2022, 12, 21904–21915. [Google Scholar] [CrossRef]
- Kuroda, S.; Tobori, N.; Sakuraba, M.; Sato, Y. Charge-discharge properties of a cathode prepared with ketjen black as the electro-conductive additive in lithium ion batteries. J. Power Sources 2003, 119, 924–928. [Google Scholar] [CrossRef]
- Nataraj, S.K.; Yang, K.S.; Aminabhavi, T.M. Polyacrylonitrile-based nanofibers A state-of-the-art review. Prog. Polym. Sci. 2012, 37, 487–513. [Google Scholar] [CrossRef]
- Jin, J.; Shi, Z.Q.; Wang, C.Y. Electrochemical performance of electrospun carbon nanofibers as free-standing and binder-free anodes for sodium-ion and lithium-ion batteries. Electrochim. Acta. 2014, 141, 302–310. [Google Scholar] [CrossRef]
- Chen, L.; Shen, Z.G.; Liu, J.; Liang, J.Y.; Wang, X.X. Effects of oxygen on the structural evolution of polyacrylonitrile fibers during rapid thermal treatment. RSC Adv. 2020, 10, 6356–6361. [Google Scholar] [CrossRef] [PubMed]
- Yang, K.S.; Kim, C.; Park, S.H.; Kim, J.H.; Lee, W.J. Fabrications and electrochemical properties of activated carbon nanofibers from electrospinning of various polymers. J. Biomed. Nanotechnol. 2006, 2, 103–105. [Google Scholar] [CrossRef]
- Vanherck, K.; Koeckelberghs, G.; Vankelecom, I.F.J. Crosslinking polyimides for membrane applications: A review. Prog. Polym. Sci. 2013, 38, 874–896. [Google Scholar] [CrossRef]
- Zhang, Z.X.; Du, H.D.; Li, J.; Gan, L.; Chiang, S.W.; Li, B.H.; Kang, F.Y. Preparation of aligned polyimide-based carbon nanofibers by electrospinning. New Carbon Mater. 2015, 30, 289–294. [Google Scholar] [CrossRef]
- Wang, J.G.; Yang, Y.; Huang, Z.H.; Kang, F.Y. MnO-carbon hybrid nanofiber composites as superior anode materials for lithium-ion batteries. Electrochim. Acta. 2015, 170, 164–170. [Google Scholar] [CrossRef]
- Zang, K.J.; Han, P.X.; Gu, L.; Zhang, L.X.; Liu, Z.H.; Kong, Q.S.; Zhang, C.J.; Dong, S.M.; Zhang, Z.Y.; Yao, J.H.; et al. Synthesis of Nitrogen-doped MnO/graphene nanosheets hybrid material for lithium ion batteries. ACS Appl. Mater. Inter. 2012, 4, 658–664. [Google Scholar] [CrossRef]
- Wan, H.R.; Hu, X.F. Nitrogen doped biomass-derived porous carbon as anode materials of lithium ion batteries. Solid State Ionics. 2019, 341, 115030. [Google Scholar] [CrossRef]
- He, Z.X.; Jiang, Y.Q.; Meng, W.; Zhu, J.; Liu, Y.; Dai, L.; Wang, L. Advanced LiTi2(PO4)3@N-doped carbon anode for aqueous lithium ion batteries. Electrochim. Acta. 2016, 222, 1491–1500. [Google Scholar] [CrossRef]
- Zhao, F.Y.; Zhao, X.; Peng, B.; Gan, F.; Yao, M.Y.; Tan, W.J.; Dong, J.; Zhang, Q.H. Polyimide-derived carbon nanofiber membranes as anodes for high-performance flexible lithium ion batteries. Chin. Chem. Lett. 2017, 29, 1692–1697. [Google Scholar] [CrossRef]
- Jiang, Q.T.; Pang, X.; Geng, S.T.; Zhao, Y.H.; Wang, X.M.; Qin, H.; Liu, B.; Zhou, J.; Zhou, T. Simultaneous cross-linking and pore-forming electrospun carbon nanofibers towards high capacitive performance. Appl. Surf. Sci. 2019, 479, 128–136. [Google Scholar] [CrossRef]
- Ma, Z.Q.; Li, X.X. The study on microstructure and electrochemical properties of Al-Mg-Sn-Ga-Pb alloy anode material for Al/AgO battery. J. Solid State Electr. 2011, 15, 2601–2610. [Google Scholar] [CrossRef]
- Yang, T.H.; Guo, Y.L.; Zhou, X.C.; Liu, Y.M. Preparation of amorphous carbon-coated nano-scale SnO2 and its performance for anode material of lithium ion secondary battery. J. Inorg. Mater. 2009, 24, 147–151. [Google Scholar] [CrossRef]
- Yu, X.L.; Zhang, K.Y.; Tian, N.; Qin, A.M.; Liao, L.; Du, R.; Wei, C. Biomass carbon derived from sisal fiber as anode material for lithium-ion batteries, ScienceDirect. Mater. Lett. 2015, 142, 193–196. [Google Scholar] [CrossRef]
- Groult, H.; Kaplan, B.; Lantelme, F.; Komaba, S.; Kumagai, N.; Yashiro, H.; Nakajima, T.; Simon, B.; Barhoun, A. Preparation of carbon nanoparticles from electrolysis of molten carbonates and use as anode materials in lithium-ion batteries. Solid State Ion. 2006, 177, 869–875. [Google Scholar] [CrossRef]
- Cao, Y.; Si, W.M.; Zhang, Y.H.; Hao, Q.L.; Lei, W.; Xia, X.F.; Li, J.; Wang, F.G. Nitrogen-doped graphene: Effect of graphitic-N on the electrochemical sensing properties towards acetaminophen. Flatchem 2018, 9, 1–7. [Google Scholar] [CrossRef]
- Peng, P.; Liu, H.T.; Wu, B.; Tang, Q.X.; Liu, Y.Q. Nitrogen doped graphene with a p-type field-effect and its fine modulation. Acta Phys.-Chim. Sin. 2019, 35, 1282–1290. [Google Scholar] [CrossRef]
- Li, G.C.; Huang, Y.L.; Yin, Z.L.; Guo, H.J.; Liu, Y.; Cheng, H.; Wu, Y.P.; Ji, X.B.; Wang, J.X. Defective synergy of 2D graphitic carbon nanosheets promotes lithium-ion capacitors performance. Energy Storage Mater. 2019, 24, 304–311. [Google Scholar] [CrossRef]
- Ko, J.H.; Park, R.S.; Jeon, J.K.; Kim, D.H.; Jung, S.C.; Kim, S.C.; Park, Y.K. Effect of surfactant, HCl and NH3 treatments on the regeneration of waste activated carbon used in selective catalytic reduction unit. J. Ind. Eng. Chem. 2015, 32, 109–112. [Google Scholar] [CrossRef]
- Badey, J.P.; Urbaczewski-Espuche, E.; Jugnet, Y.; Sage, D.; Duc, T.M.; Chabert, B. Surface modification of polytetrafluoroethylene by microwave plasma downstream treatment. Polymer 1994, 35, 2472–2479. [Google Scholar] [CrossRef]
- Nan, D.; Huang, Z.H.; Lv, R.T.; Yang, L.; Wang, J.G.; Shen, W.C.; Lin, Y.X.; Yu, X.L.; Ye, L.; Sun, H.Y.; et al. Nitrogen-enriched electrospun porous carbon nanofiber networks as high-performance free-standing electrode materials. J. Mater. Chem. A 2014, 2, 19678–19684. [Google Scholar] [CrossRef]
- Tian, G.F.; Zhang, H.P.; Liu, J.N.; Qi, S.L.; Wu, D.Z. Enhanced conductivity and mechanical properties of polyimide based nanocomposite materials with carbon nanofibers via carbonization of electrospun polyimide fibers. Polym. Sci. Ser. A 2014, 56, 505–510. [Google Scholar] [CrossRef]
- Lu, Y.H.; Hao, J.C.; Xiao, G.Y.; Chen, L.; Wang, T.H.; Hu, Z.Z. Preparation and properties of in situ amino-functionalized graphene oxide/polyimide composite films. Appl. Surf. Sci. 2017, 422, 710–719. [Google Scholar] [CrossRef]
- Ji, L.W.; Gu, M.; Shao, Y.Y.; Li, X.L.; Engelhard, M.H.; Arey, B.W.; Wang, W.; Nie, Z.M.; Xiao, J.; Wang, C.M.; et al. Controlling SEI formation on SnSb-porous carbon nanofibers for improved Na ion storage. Adv. Mater. 2014, 26, 2901–2908. [Google Scholar] [CrossRef]
- Li, N.W.; Yin, Y.X.; Yang, C.P.; Guo, Y.G. An artificial solid electrolyte interphase layer for stable lithium metal anodes. Adv. Mater. 2016, 28, 1853–1858. [Google Scholar] [CrossRef]
- Heiskanen, S.K.; Kim, J.; Lucht, B.L. Generation and evolution of the solid electrolyte interphase of lithium-ion batteries. Joule 2019, 3, 2322–2333. [Google Scholar] [CrossRef]
- Lin, Y.X.; Liu, Z.; Leung, K.; Chen, L.Q.; Lu, P.; Qi, Y. Connecting the irreversible capacity loss in Li-ion batteries with the electronic insulating properties of solid electrolyte interphase (SEI) components. J. Power Sources 2016, 309, 221–230. [Google Scholar] [CrossRef]
- Bai, Z.Y.; Tu, W.M.; Zhu, J.K.; Li, J.S.; Deng, Z.; Li, D.P.; Tang, H.L. POSS-derived synthesis and full life structural analysis of Si@C as Anode Material in lithium ion battery. Polymers 2019, 11, 576. [Google Scholar] [CrossRef]
- Mizuno, Y.; Okubo, M.; Asakura, D.; Saito, T.; Hosono, E.; Saito, Y.; Oh-ishi, K.; Kudo, T.; Zhou, H.S. Impedance spectroscopic study on interfacial ion transfers in cyanide-bridged coordination polymer electrode with organic electrolyte. Electrochim. Acta. 2012, 63, 139–145. [Google Scholar] [CrossRef]











| Samples | Square Resistivity (Ω) | Resistivity (Ω·cm) | Electric Conductivity (S/m) |
|---|---|---|---|
| CNMs | 1087.36 | 9.78 | 10.22 |
| CNMs-PC | 738.27 | 4.48 | 22.30 |
| CNMs-CC | 588.52 | 2.39 | 41.91 |
| Samples | Initial Discharge Specific Capacity/(mAh g−1) | Initial Charge Specific Capacity/(mAh g−1) | Initial Coulomb Efficiency | 10th/(mAh g−1) | 100th (mAh g−1) | 1000th (mAh g−1) |
|---|---|---|---|---|---|---|
| CNMs | 1082.32 | 534.64 | 49.40% | 219.61 | 211.66 | 188.68 |
| CNMs-PC | 1078.14 | 532.86 | 49.42% | 220.44 | 215.31 | 191.86 |
| CNMs-CC | 1072.70 | 536.95 | 50.06% | 240.38 | 230.17 | 201.38 |
| Samples | Rs (Ω) | Rct (Ω) |
|---|---|---|
| CNMs | 10.9 | 296.3 |
| CNMs-PC | 5.8 | 198.6 |
| CNMs-CC | 9.3 | 48.1 |
Publisher’s Note: MDPI stays neutral with regard to jurisdictional claims in published maps and institutional affiliations. |
© 2022 by the authors. Licensee MDPI, Basel, Switzerland. This article is an open access article distributed under the terms and conditions of the Creative Commons Attribution (CC BY) license (https://creativecommons.org/licenses/by/4.0/).
Share and Cite
Xu, H.; Hou, X.; Gong, M.; Yang, C.; Luo, J.; Chen, Y.; Ma, L.; Zhou, L.; Yin, C.; Li, X. A Novel Triple Crosslinking Strategy on Carbon Nanofiber Membranes as Flexible Electrodes for Lithium-Ion Batteries. Polymers 2022, 14, 3528. https://doi.org/10.3390/polym14173528
Xu H, Hou X, Gong M, Yang C, Luo J, Chen Y, Ma L, Zhou L, Yin C, Li X. A Novel Triple Crosslinking Strategy on Carbon Nanofiber Membranes as Flexible Electrodes for Lithium-Ion Batteries. Polymers. 2022; 14(17):3528. https://doi.org/10.3390/polym14173528
Chicago/Turabian StyleXu, Hang, Xinran Hou, Man Gong, Changshu Yang, Jinpeng Luo, Yuluo Chen, Lei Ma, Lang Zhou, Chuanqiang Yin, and Xiaomin Li. 2022. "A Novel Triple Crosslinking Strategy on Carbon Nanofiber Membranes as Flexible Electrodes for Lithium-Ion Batteries" Polymers 14, no. 17: 3528. https://doi.org/10.3390/polym14173528
APA StyleXu, H., Hou, X., Gong, M., Yang, C., Luo, J., Chen, Y., Ma, L., Zhou, L., Yin, C., & Li, X. (2022). A Novel Triple Crosslinking Strategy on Carbon Nanofiber Membranes as Flexible Electrodes for Lithium-Ion Batteries. Polymers, 14(17), 3528. https://doi.org/10.3390/polym14173528

