Drug-Polymers Composite Matrix Tablets: Effect of Hydroxypropyl Methylcellulose (HPMC) K-Series on Porosity, Compatibility, and Release Behavior of the Tablet Containing a BCS Class I Drug
Abstract
1. Introduction
2. Materials and Methods
2.1. Materials
2.2. Preparation of Compressed HPMC-Based Matrix Tablets
2.3. Scanning Electron Microscopy (SEM)
2.4. Fourier Transform Infrared Spectroscopy (FTIR)
2.5. Powder X-ray Diffractometry (PXRD)
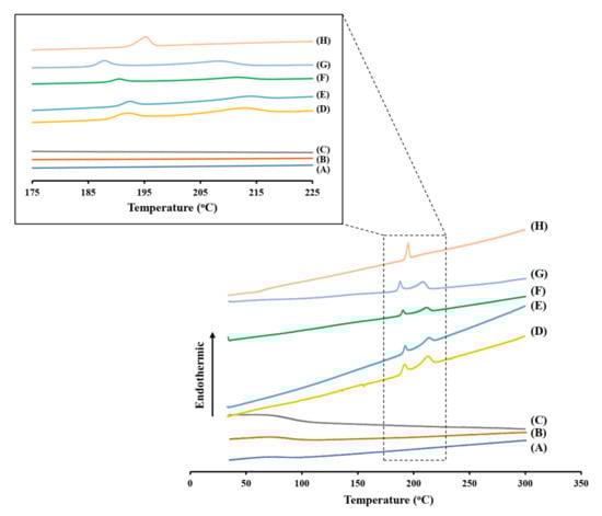
2.6. Differential Scanning Calorimetry (DSC)
2.7. Porosity
2.8. In Vitro Release of Compressed HPMC-Based Matrix Tablets
2.9. Release Data Analysis
2.10. Data Analysis
3. Results
3.1. Compatibility Studies
3.2. SEM
3.3. Porosity
3.4. Drug Release
4. Conclusions
Author Contributions
Funding
Institutional Review Board Statement
Informed Consent Statement
Data Availability Statement
Acknowledgments
Conflicts of Interest
References
- Aguilar-de-Leyva, Á.; Campiñez, M.D.; Casas, M.; Caraballo, I. Design Space and Critical Points in Solid Dosage Forms. J. Drug Deliv. Sci. Technol. 2017, 42, 134–143. [Google Scholar] [CrossRef]
- Ghori, M.U.; Grover, L.M.; Asare-Addo, K.; Smith, A.M.; Conway, B.R. Evaluating the Swelling, Erosion, and Compaction Properties of Cellulose Ethers. Pharm. Dev. Technol. 2018, 23, 183–197. [Google Scholar] [CrossRef] [PubMed]
- Sanchez-Ballester, N.M.; Bataille, B.; Soulairol, I. Sodium Alginate and Alginic Acid as Pharmaceutical Excipients for Tablet Formulation: Structure-Function Relationship. Carbohydr. Polym. 2021, 270, 118399. [Google Scholar] [CrossRef]
- Yahoum, M.M.; Lefnaoui, S.; Moulai-Mostefa, N. Design and Evaluation of Sustained Release Hydrophilic Matrix Tablets of Piroxicam Based on Carboxymethyl Xanthan Derivatives. Soft Mater. 2021, 19, 178–191. [Google Scholar] [CrossRef]
- Sabbagh, F.; Muhamad, I.I. Acrylamide-Based Hydrogel Drug Delivery Systems: Release of Acyclovir from MgO Nanocomposite Hydrogel. J. Taiwan Inst. Chem. Eng. 2017, 72, 182–193. [Google Scholar] [CrossRef]
- Sabbagh, F.; Kiarostami, K.; Mahmoudi Khatir, N.; Rezania, S.; Muhamad, I.I. Green Synthesis of Mg0.99 Zn0.01O Nanoparticles for the Fabrication of κ-Carrageenan/NaCMC Hydrogel in Order to Deliver Catechin. Polymers 2020, 12, 861. [Google Scholar]
- Goldoozian, S.; Mohylyuk, V.; Dashevskiy, A.; Bodmeier, R. Gel Strength of Hydrophilic Matrix Tablets in Terms of In Vitro Robustness. Pharm. Res. 2021, 38, 1297–1306. [Google Scholar] [CrossRef]
- Sriamornsak, P.; Thirawong, N.; Weerapol, Y.; Nunthanid, J.; Sungthongjeen, S. Swelling and Erosion of Pectin Matrix Tablets and Their Impact on Drug Release Behavior. Eur. J. Pharm. Biopharm. 2007, 67, 211–219. [Google Scholar] [CrossRef]
- Lin, Q.; Fu, Y.; Li, J.; Qu, M.; Deng, L.; Gong, T.; Zhang, Z. A (Polyvinyl Caprolactam-Polyvinyl Acetate–Polyethylene Glycol Graft Copolymer)-Dispersed Sustained-Release Tablet for Imperialine to Simultaneously Prolong the Drug Release and Improve the Oral Bioavailability. Eur. J. Pharm. Sci. 2015, 79, 44–52. [Google Scholar] [CrossRef]
- Zhang, J.; Yang, W.; Vo, A.Q.; Feng, X.; Ye, X.; Kim, D.W.; Repka, M.A. Hydroxypropyl Methylcellulose-Based Controlled Release Dosage by Melt Extrusion and 3D Printing: Structure and Drug Release Correlation. Carbohydr. Polym. 2017, 177, 49–57. [Google Scholar] [CrossRef]
- Timmins, P.; Desai, D.; Chen, W.; Wray, P.; Brown, J.; Hanley, S. Advances in Mechanistic Understanding of Release Rate Control Mechanisms of Extended-Release Hydrophilic Matrix Tablets. Ther. Deliv. 2016, 7, 553–572. [Google Scholar] [CrossRef] [PubMed]
- Li, C.L.; Martini, L.G.; Ford, J.L.; Roberts, M. The Use of Hypromellose in Oral Drug Delivery. J. Pharm. Pharmacol. 2005, 57, 533–546. [Google Scholar] [CrossRef] [PubMed]
- Sharma, S.; Ansari, T.N.; Handa, S. HPMC: A Biomass-Based Semisynthetic Sustainable Additive Enabling Clean and Fast Chemistry in Water. ACS Sustain. Chem. Eng. 2021, 9, 12719–12728. [Google Scholar] [CrossRef]
- Kraisit, P.; Limmatvapirat, S.; Nunthanid, J.; Sriamornsak, P.; Luangtana-Anan, M. Preparation and Characterization of Hydroxypropyl Methylcellulose/Polycarbophil Mucoadhesive Blend Films Using a Mixture Design Approach. Chem. Pharm. Bull. 2017, 65, c16–c00849. [Google Scholar] [CrossRef]
- Pedacchia, A.; Adrover, A. Swelling Kinetics of HPMC Tablets. Chem. Eng. Commun. 2015, 202, 876–884. [Google Scholar] [CrossRef]
- Dabbagh, M.A.; Ford, J.L.; Rubinstein, M.H.; Hogan, J.E.; Rajabi-Siahboomi, A.R. Release of Propranolol Hydrochloride from Matrix Tablets Containing Sodium Carboxymethylcellulose and Hydroxypropylmethylcellulose. Pharm. Dev. Technol. 1999, 4, 313–324. [Google Scholar] [CrossRef]
- Baveja, S.K.; Ranga Rao, K.V.; Padmalatha Devi, K. Zero-Order Release Hydrophilic Matrix Tablets of β-Adrenergic Blockers. Int. J. Pharm. 1987, 39, 39–45. [Google Scholar] [CrossRef]
- Escudero, J.J.; Ferrero, C.; Jiménez-Castellanos, M.R. Compaction Properties, Drug Release Kinetics and Fronts Movement Studies from Matrices Combining Mixtures of Swellable and Inert Polymers. II. Effect of HPMC with Different Degrees of Methoxy/Hydroxypropyl Substitution. Int. J. Pharm. 2010, 387, 56–64. [Google Scholar] [CrossRef]
- Moussa, E.; Siepmann, F.; Flament, M.P.; Benzine, Y.; Penz, F.; Siepmann, J.; Karrout, Y. Controlled Release Tablets Based on HPMC:Lactose Blends. J. Drug Deliv. Sci. Technol. 2019, 52, 607–617. [Google Scholar] [CrossRef]
- Pongjanyakul, T.; Kanjanabat, S. Influence of PH Modifiers and HPMC Viscosity Grades on Nicotine–Magnesium Aluminum Silicate Complex-Loaded Buccal Matrix Tablets. AAPS PharmSciTech 2012, 13, 674–685. [Google Scholar] [CrossRef][Green Version]
- Algahtani, M.S.; Mohammed, A.A.; Ahmad, J.; Saleh, E. Development of a 3D Printed Coating Shell to Control the Drug Release of Encapsulated Immediate-Release Tablets. Polymers 2020, 12, 1395. [Google Scholar] [CrossRef] [PubMed]
- Phaechamud, T.; Darunkaisorn, W. Drug Release Behavior of Polymeric Matrix Filled in Capsule. Saudi Pharm. J. 2016, 24, 627–634. [Google Scholar] [CrossRef] [PubMed]
- Kraisit, P.; Luangtana-Anan, M.; Sarisuta, N. Effect of Various Types of Hydroxypropyl Methylcellulose (HPMC) Films on Surface Free Energy and Contact Angle. Adv. Mater. Res. 2015, 1060, 107–110. [Google Scholar] [CrossRef]
- Kraisit, P. Impact of Hydroxypropyl Methylcellulose (HPMC) Type and Concentration on the Swelling and Release Properties of Propranolol Hydrochloride Matrix Tablets Usning a Simplex Centroid Design. Int. J. Appl. Pharm. 2019, 11, 143–151. [Google Scholar] [CrossRef]
- Duangjit, S.; Kraisit, P. Optimization of Orodispersible and Conventional Tablets Using Simplex Lattice Design: Relationship among Excipients and Banana Extract. Carbohydr. Polym. 2018, 193, 89–98. [Google Scholar] [CrossRef]
- Mehta, K.A.; Kislalioglu, M.S.; Phuapradit, W.; Malick, A.W.; Shah, N.H. Effect of Formulation and Process Variables on Porosity Parameters and Release Rates from a Multi Unit Erosion Matrix of a Poorly Soluble Drug. J. Control. Release 2000, 63, 201–211. [Google Scholar] [CrossRef]
- Kelly, M.L.; Tobyn, M.J.; Staniforth, J.N. Tablet and Capsule Hydrophilic Matrices Based on Heterodisperse Polysaccharides Having Porosity-Independent In Vitro Release Profiles. Pharm. Dev. Technol. 2000, 5, 59–66. [Google Scholar] [CrossRef]
- Larsson, M.; Viridén, A.; Stading, M.; Larsson, A. The Influence of HPMC Substitution Pattern on Solid-State Properties. Carbohydr. Polym. 2010, 82, 1074–1081. [Google Scholar] [CrossRef]
- Bashir, S.; Zafar, N.; Lebaz, N.; Mahmood, A.; Elaissari, A. Hydroxypropyl Methylcellulose-Based Hydrogel Copolymeric for Controlled Delivery of Galantamine Hydrobromide in Dementia. Processes 2020, 8, 1350. [Google Scholar] [CrossRef]
- Jovanović, M.; Tomić, N.; Cvijić, S.; Stojanović, D.; Ibrić, S.; Uskoković, P. Mucoadhesive Gelatin Buccal Films with Propranolol Hydrochloride: Evaluation of Mechanical, Mucoadhesive, and Biopharmaceutical Properties. Pharmaceutics 2021, 13, 273. [Google Scholar] [CrossRef]
- El Hazzat, M.; El Hamidi, A.; Halim, M.; Arsalane, S. Complex Evolution of Phase during the Thermal Investigation of Brushite-Type Calcium Phosphate CaHPO4•2H2O. Materialia 2021, 16, 101055. [Google Scholar] [CrossRef]
- Khizer, Z.; Akram, M.R.; Sarfraz, R.M.; Nirwan, J.S.; Farhaj, S.; Yousaf, M.; Hussain, T.; Lou, S.; Timmins, P.; Conway, B.R.; et al. Plasticiser-Free 3D Printed Hydrophilic Matrices: Quantitative 3D Surface Texture, Mechanical, Swelling, Erosion, Drug Release and Pharmacokinetic Studies. Polymers 2019, 11, 1095. [Google Scholar] [CrossRef] [PubMed]
- Neau, S.H.; Shinwari, M.K.; Hellmuth, E.W. Melting Point Phase Diagrams of Free Base and Hydrochloride Salts of Bevantolol, Pindolol and Propranolol. Int. J. Pharm. 1993, 99, 303–310. [Google Scholar] [CrossRef]
- Wang, X.; Wang, X.J.; Ching, C.B. Solubility, Metastable Zone Width, and Racemic Characterization of Propranolol Hydrochloride. Chirality 2002, 14, 318–324. [Google Scholar] [CrossRef] [PubMed]
- Miyazaki, T.; Sivaprakasam, K.; Tantry, J.; Suryanarayanan, R. Physical Characterization of Dibasic Calcium Phosphate Dihydrate and Anhydrate. J. Pharm. Sci. 2009, 98, 905–916. [Google Scholar] [CrossRef] [PubMed]
- Kaushal, A.M.; Vangala, V.R.; Suryanarayanan, R. Unusual Effect of Water Vapor Pressure on Dehydration of Dibasic Calcium Phosphate Dihydrate. J. Pharm. Sci. 2011, 100, 1456–1466. [Google Scholar] [CrossRef]
- Li, F.Q.; Hu, J.H.; Deng, J.X.; Su, H.; Xu, S.; Liu, J.Y. In Vitro Controlled Release of Sodium Ferulate from Compritol 888 ATO-Based Matrix Tablets. Int. J. Pharm. 2006, 324, 152–157. [Google Scholar] [CrossRef]
- Markl, D.; Strobel, A.; Schlossnikl, R.; Bøtker, J.; Bawuah, P.; Ridgway, C.; Rantanen, J.; Rades, T.; Gane, P.; Peiponen, K.E.; et al. Characterisation of Pore Structures of Pharmaceutical Tablets: A Review. Int. J. Pharm. 2018, 538, 188–214. [Google Scholar] [CrossRef]
- Grund, J.; Koerber, M.; Walther, M.; Bodmeier, R. The Effect of Polymer Properties on Direct Compression and Drug Release from Water-Insoluble Controlled Release Matrix Tablets. Int. J. Pharm. 2014, 469, 94–101. [Google Scholar] [CrossRef]
- Juppo, A.M. Porosity Parameters of Lactose, Glucose and Mannitol Tablets Obtained by Mercury Porosimetry. Int. J. Pharm. 1996, 129, 1–12. [Google Scholar] [CrossRef]
- Riippi, M.; Yliruusi, J.; Niskanen, T.; Kiesvaara, J. Dependence between Dissolution Rate and Porosity of Compressed Erythromycin Acistrate Tablets. Eur. J. Pharm. Biopharm. 1998, 46, 169–175. [Google Scholar] [CrossRef]
- Cho, J.; Kim, D.; Yi, J.S.; Park, S. Microarchitecture of Polyvinylidene Fluoride-Bound Self-Standing Microporous Layer and Its Implication to Water Management in Fuel Cells. J. Power Sources 2021, 506, 230129. [Google Scholar] [CrossRef]
- Dukić-Ott, A.; De Beer, T.; Remon, J.P.; Baeyens, W.; Foreman, P.; Vervaet, C. In-Vitro and in-Vivo Evaluation of Enteric-Coated Starch-Based Pellets Prepared via Extrusion/Spheronisation. Eur. J. Pharm. Biopharm. 2008, 70, 302–312. [Google Scholar] [CrossRef]
- Nokhodchi, A.; Rubinstein, M.H.; Ford, J.L. The Effect of Particle Size and Viscosity Grade on the Compaction Properties of Hydroxypropylmethylcellulose 2208. Int. J. Pharm. 1995, 126, 189–197. [Google Scholar] [CrossRef]
- Hiremath, P.S.; Saha, R.N. Controlled Release Hydrophilic Matrix Tablet Formulations of Isoniazid: Design and In Vitro Studies. AAPS PharmSciTech 2008, 9, 1171–1178. [Google Scholar] [CrossRef] [PubMed]
- Maderuelo, C.; Zarzuelo, A.; Lanao, J.M. Critical Factors in the Release of Drugs from Sustained Release Hydrophilic Matrices. J. Control. Release 2011, 154, 2–19. [Google Scholar] [CrossRef]
- Vallet-Regí, M.; Balas, F.; Arcos, D. Mesoporous Materials for Drug Delivery. Angew. Chem. Int. Ed. 2007, 46, 7548–7558. [Google Scholar] [CrossRef]
- Crowley, M.M.; Schroeder, B.; Fredersdorf, A.; Obara, S.; Talarico, M.; Kucera, S.; McGinity, J.W. Physicochemical Properties and Mechanism of Drug Release from Ethyl Cellulose Matrix Tablets Prepared by Direct Compression and Hot-Melt Extrusion. Int. J. Pharm. 2004, 269, 509–522. [Google Scholar] [CrossRef]
- Yoon, H.S.; Lee, J.H.; Lim, S.T. Utilization of Retrograded Waxy Maize Starch Gels as Tablet Matrix for Controlled Release of Theophylline. Carbohydr. Polym. 2009, 76, 449–453. [Google Scholar] [CrossRef]








| Formulation | HPMC (mg) | ||
|---|---|---|---|
| H-K4M | H-K15M | H-K100M | |
| Tab-K4M | 60 | 0 | 0 |
| Tab-K15M | 0 | 60 | 0 |
| Tab-K100M | 0 | 0 | 60 |
| Tab-Mixed | 20 | 20 | 20 |
| Formulation | Released (mg ± SD) | |||
|---|---|---|---|---|
| T1 = 1 h | T2 = 3 h | T3 = 6 h | T4 = 12 h | |
| Tab-K4M | 17.84 ± 0.94 | 37.40 ± 0.70 | 52.42 ± 1.29 | 68.66 ± 0.57 |
| Tab-K15M | 18.48 ± 0.49 | 36.49 ± 0.70 | 52.75 ± 0.78 | 69.93 ± 1.15 |
| Tab-K100M | 20.20 ± 0.53 | 37.67 ± 1.33 | 54.04 ± 1.24 | 71.33 ± 1.03 |
| Tab-Mixed | 19.33 ± 1.03 | 36.41 ± 0.48 | 51.78 ± 1.03 | 68.11 ± 0.53 |
| Higuchi Equation | Korsmeyer–Peppas Equation | ||||
|---|---|---|---|---|---|
| kH (min−1/2) | R2 | n | k (min−n) | R2 | |
| Tab-K4M | 3.292 | 0.9852 | 0.487 | 3.569 | 0.9857 |
| Tab-K15M | 3.324 | 0.9914 | 0.497 | 3.384 | 0.9915 |
| Tab-K100M | 3.410 | 0.9926 | 0.481 | 3.839 | 0.9938 |
| Tab-Mixed | 3.265 | 0.9912 | 0.476 | 3.772 | 0.9929 |
| T25 (min) a | T50 (min) a | T75 (min) a | |
|---|---|---|---|
| Tab-K4M | 54.67 ± 4.37 | 226.69 ± 9.32 | 521.25 ± 11.00 |
| Tab-K15M | 55.94 ± 2.37 | 225.51 ± 6.92 | 509.82 ± 14.10 |
| Tab-K100M | 49.46 ± 3.57 | 209. 02 ± 9.63 | 485.82 ± 16.51 |
| Tab-Mixed | 53.05 ± 3.30 | 227.26 ± 6.59 | 532.53 ± 9.96 |
Publisher’s Note: MDPI stays neutral with regard to jurisdictional claims in published maps and institutional affiliations. |
© 2022 by the authors. Licensee MDPI, Basel, Switzerland. This article is an open access article distributed under the terms and conditions of the Creative Commons Attribution (CC BY) license (https://creativecommons.org/licenses/by/4.0/).
Share and Cite
Hirun, N.; Kraisit, P. Drug-Polymers Composite Matrix Tablets: Effect of Hydroxypropyl Methylcellulose (HPMC) K-Series on Porosity, Compatibility, and Release Behavior of the Tablet Containing a BCS Class I Drug. Polymers 2022, 14, 3406. https://doi.org/10.3390/polym14163406
Hirun N, Kraisit P. Drug-Polymers Composite Matrix Tablets: Effect of Hydroxypropyl Methylcellulose (HPMC) K-Series on Porosity, Compatibility, and Release Behavior of the Tablet Containing a BCS Class I Drug. Polymers. 2022; 14(16):3406. https://doi.org/10.3390/polym14163406
Chicago/Turabian StyleHirun, Namon, and Pakorn Kraisit. 2022. "Drug-Polymers Composite Matrix Tablets: Effect of Hydroxypropyl Methylcellulose (HPMC) K-Series on Porosity, Compatibility, and Release Behavior of the Tablet Containing a BCS Class I Drug" Polymers 14, no. 16: 3406. https://doi.org/10.3390/polym14163406
APA StyleHirun, N., & Kraisit, P. (2022). Drug-Polymers Composite Matrix Tablets: Effect of Hydroxypropyl Methylcellulose (HPMC) K-Series on Porosity, Compatibility, and Release Behavior of the Tablet Containing a BCS Class I Drug. Polymers, 14(16), 3406. https://doi.org/10.3390/polym14163406

