High-Performance Optical PET Analysis via Non-Isothermal Crystallization Kinetics
Abstract
:1. Introduction
2. Materials and Methods
2.1. Materials and Synthesis
2.1.1. Materials
2.1.2. Synthesis
2.2. Characterization
3. Results and Discussion
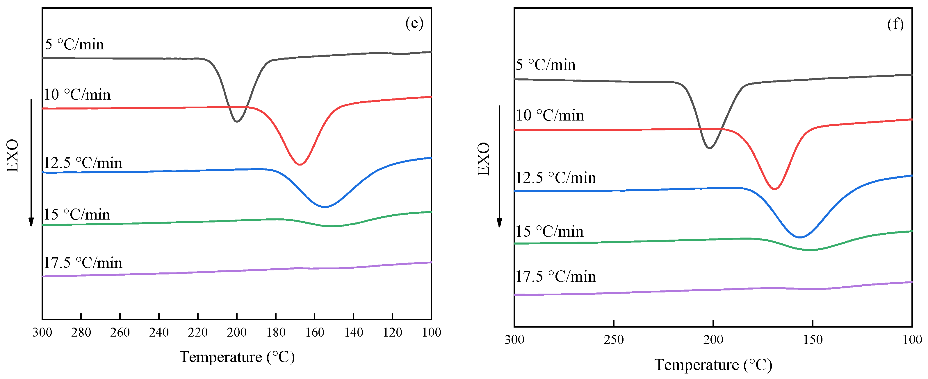
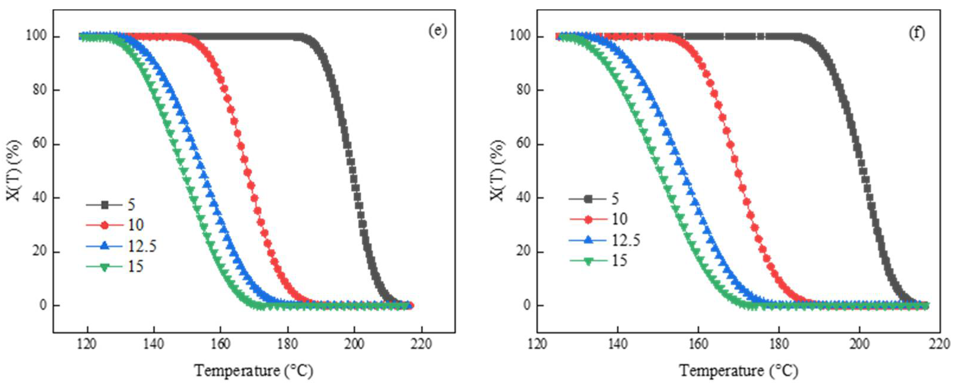
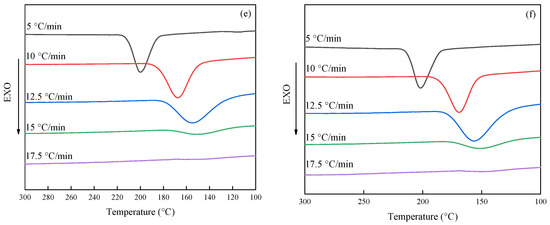
3.1. Effect of Different Cooling Rates on Non-Isothermal Crystallization Behavior
3.1.1. Non-Isothermal Crystallization Behavior
3.1.2. Relative Crystallinity (X(T)) and Temperature (T)
3.1.3. Relative Crystallinity (X(t)) and Time (t)
3.1.4. Heating Curves of PET after Different Cooling Rate
3.2. Kinetics of Non-Isothermal Crystallization
3.2.1. Jeziorny Method
3.2.2. Mo Method
3.2.3. Kissinger Method
3.2.4. Friedman Method
4. Conclusions
Author Contributions
Funding
Conflicts of Interest
References
- Wu, Y.H.; Wang, C.C.; Chen, C.Y. Nucleation effect of aliphatic polycarbonate in its blends with poly(ethylene terephthalate). Mater. Chem. Phys. 2020, 248, 122920. [Google Scholar] [CrossRef]
- Gaonkar, A.A.; Murudkar, V.V.; Deshpande, V.D. Comparison of Crystallization Kinetics of Polyethylene Terephthalate (PET) and Reorganized PET. Thermochim. Acta 2019, 683, 178472. [Google Scholar] [CrossRef]
- Elaine, B.; Jose, J.R.A.; Wim, T. Chemolytic depolymerisation of PET: A review. Green Chem. 2021, 23, 3765–3789. [Google Scholar]
- Eder, M.; Wlochowicz, A. Kinetics of non-isothermal crystallization of polyethylene and polypropylene. Polymer 1983, 24, 1593–1595. [Google Scholar] [CrossRef]
- Sun, Z.; Wang, X.; Guo, F.; Jiang, C.; Pan, Q. Isothermal and non-isothermal crystallization kinetics of bio-sourced nylon 69. Chin. J. Chem. Eng. 2016, 24, 638–645. [Google Scholar] [CrossRef]
- Fernández, M.J.; Fernández, M.D. Effect of Organic Modifier and Clay Content on Non-Isothermal Cold Crystallization and Melting Behavior of Polylactide/Organovermiculite Nanocomposites. Polymers 2020, 12, 364. [Google Scholar] [CrossRef] [PubMed] [Green Version]
- Qu, D.; Gao, H.; Wang, Q.; Bai, Y.; Li, N. Non-isothermal crystallization kinetics of bio-based poly(butylene-co-isosorbide succinate) (PBIS). J. Therm. Anal. Calorim. 2019, 139, 1931–1939. [Google Scholar] [CrossRef]
- Wang, Y.; Ding, T. Crystallization kinetics and morphology of dynamically vulcanized poly(vinylidene fluoride)/silicone rub-ber blends. Polym. Bull. 2020, 77, 671–686. [Google Scholar] [CrossRef]
- Chen, T.; Zhang, J. Non-isothermal cold crystallization kinetics of poly(ethylene glycol-co-1,4-cyclohexanedimethanol ter-ephthalate) (PETG) copolyesters with different compositions. Polym. Test. 2015, 48, 23–30. [Google Scholar] [CrossRef]
- Ozawa, T. Kinetics of non-isothermal crystallization. Polymer 1971, 12, 150–158. [Google Scholar] [CrossRef]
- Jeziorny, A. Parameters characterizing the kinetics of the non-isothermal crystallization of poly(ethylene terephthalate) determined by d.s.c. Polymer 1978, 19, 1142–1144. [Google Scholar] [CrossRef]
- Avrami, M. Kinetics of phase change. I General theory. J. Chem. Phys. 1939, 7, 1103–1112. [Google Scholar] [CrossRef]
- Gao, J.G.; Yu, M.S.; Li, Z.T. Non-isothermal crystallization kinetics and melting behavior of bimodal medium density polyeth-ylene/low density polyethylene blends. Eur. Polym. J. 2004, 40, 1533–1539. [Google Scholar] [CrossRef]
- Zhishen, M.O. A method for the non-isothermal crystallization kinetics of polymers. Acta Polym. Sin. 2008, 7, 656–671. [Google Scholar]
- Liu, M.; Zhao, Q.; Wang, Y.; Zhang, C.; Mo, Z.; Cao, S. Melting behaviors, isothermal and non-isothermal crystallization kinetics of nylon 1212. Polymer 2003, 44, 2537–2545. [Google Scholar] [CrossRef]
- Sun, S.; Wang, L.; Song, P.; Ding, L.; Bai, Y. Facile fabrication of hydrolysis resistant phosphite antioxidants for high-performance optical PET films via in situ incorporation. Chem. Eng. J. 2017, 328, 406–416. [Google Scholar] [CrossRef]
- Kissinger, H.E. Variation of peak temperature with heating rate in differential thermal analysis. J. Res. Natl. Bur. Stand. 1956, 57, 217–221. [Google Scholar] [CrossRef]
- Friedman, H.L. Kinetics of thermal degradation of char-forming plastics from thermogravimetry. Application to a phenolic plastic. J. Polym. Sci. Polym. Symp. 1964, 6, 183–195. [Google Scholar] [CrossRef]
- Flynn, J.H.; Wall, L.A. A quick, direct method for the determination of activation energy from thermogravimetric data. J. Polym. Sci. Part B Polym. Lett. 1966, 4, 323–328. [Google Scholar] [CrossRef]











| Sample | Φ/°C·min−1 | Tb */°C | Tp */°C | Te */°C | ΔH */kJ·mol−1 |
|---|---|---|---|---|---|
| PET | 5 | 209.6 | 182.1 | 169.5 | 42.24 |
| 10 | 183.2 | 158.4 | 129.3 | 27.25 | |
| 12.5 | 173.3 | 153.6 | 123.1 | 7.17 | |
| 0.01 wt% | 5 | 214.9 | 198.6 | 184.4 | 45.40 |
| 10 | 191.5 | 166.0 | 142.7 | 39.46 | |
| 12.5 | 182.2 | 156.4 | 126.2 | 19.04 | |
| 15 | 175.6 | 152.7 | 124.8 | 4.19 | |
| 0.03 wt% | 5 | 213.2 | 197.9 | 182.0 | 43.94 |
| 10 | 190.0 | 165.9 | 142.0 | 36.86 | |
| 12.5 | 181.6 | 155.2 | 125.8 | 17.44 | |
| 15 | 174.1 | 152.8 | 124.4 | 3.517 | |
| 0.05 wt% | 5 | 212.2 | 196.1 | 180.3 | 44.32 |
| 10 | 188.8 | 164.3 | 141.5 | 35.97 | |
| 12.5 | 179.4 | 154.3 | 124.7 | 15.53 | |
| 15 | 170.0 | 151.1 | 123.5 | 2.30 | |
| 0.07 wt% | 5 | 215.4 | 200.0 | 181.8 | 46.61 |
| 10 | 192.5 | 167.7 | 146.0 | 40.34 | |
| 12.5 | 183.9 | 154.9 | 127.9 | 20.98 | |
| 15 | 172.8 | 151.1 | 124.9 | 3.527 | |
| 0.1 wt% | 5 | 216.1 | 201.8 | 183.4 | 47.17 |
| 10 | 192.7 | 169.1 | 149.9 | 40.38 | |
| 12.5 | 180.8 | 156.7 | 131.1 | 21.69 | |
| 15 | 174.2 | 151.3 | 126.3 | 4.54 |
| Sample | Φ/°C·min−1 | Tpcc */°C | ΔHcc */kJ·mol−1 | Tmp */°C | ΔHm */kJ·mol−1 |
|---|---|---|---|---|---|
| PET | 5 | - | - | 242.3 | 43.84 |
| 10 | 136.5 | 2.14 | 235.8 | 36.82 | |
| 12.5 | 142.2 | 17.03 | 231.8 | 33.76 | |
| 15 | 147.8 | 24.24 | 229.0 | 31.48 | |
| 0.01 wt% | 5 | - | - | 244.5 (232.2) | 46.32 |
| 10 | - | - | 236.2 | 40.59 | |
| 12.5 | 141.3 | 9.55 | 233.3 | 38.80 | |
| 15 | 148.2 | 23.87 | 230.4 | 36.12 | |
| 17.5 | 155.7 | 27.59 | 227.2 | 34.40 | |
| 0.03 wt% | 5 | - | - | 243.7 (232.2) | 45.36 |
| 10 | - | - | 236.1 | 38.29 | |
| 12.5 | 141.7 | 8.80 | 232.3 | 35.66 | |
| 15 | 148.4 | 22.92 | 229.5 | 33.32 | |
| 17.5 | 156.1 | 25.82 | 227.5 | 30.63 | |
| 0.05 wt% | 5 | - | - | 243.6 (231.7) | 45.61 |
| 10 | - | - | 235.9 | 38.48 | |
| 12.5 | 140.8 | 9.46 | 233.8 | 35.72 | |
| 15 | 147.2 | 22.62 | 230.0 | 34.16 | |
| 17.5 | 154.5 | 25.71 | 227.4 | 31.13 | |
| 0.07 wt% | 5 | - | - | 243.9 (232.6) | 48.27 |
| 10 | - | - | 235.9 | 41.07 | |
| 12.5 | 141.2 | 6.79 | 232.5 | 38.36 | |
| 15 | 147.5 | 21.51 | 228.3 | 35.33 | |
| 17.5 | 154.9 | 24.80 | 226.2 | 32.92 | |
| 0.1 wt% | 5 | - | - | 244.4 (234.0) | 48.35 |
| 10 | - | - | 236.8 | 41.38 | |
| 12.5 | 139.2 | 3.96 | 233.3 | 38.73 | |
| 15 | 147.2 | 18.64 | 230.0 | 35.67 | |
| 17.5 | 154.5 | 24.33 | 227.4 | 33.17 |
| Sample | Φ/°C·min−1 | n1 | Zc1 | R | n2 | Zc2 | R |
|---|---|---|---|---|---|---|---|
| PET | 5 | 2.338 | 0.021 | 0.999 | 5.535 | 0.000 | 0.993 |
| 10 | 2.396 | 0.071 | 0.998 | 4.370 | 0.005 | 0.981 | |
| 12.5 | 2.479 | 0.143 | 0.999 | 4.784 | 0.006 | 0.983 | |
| 0.01 wt% | 5 | 2.649 | 0.030 | 0.996 | 4.621 | 0.002 | 0.987 |
| 10 | 2.532 | 0.067 | 0.995 | 4.413 | 0.007 | 0.987 | |
| 12.5 | 2.386 | 0.111 | 0.999 | 4.596 | 0.007 | 0.983 | |
| 15 | 2.363 | 0.215 | 0.999 | 4.909 | 0.018 | 0.990 | |
| 0.03 wt% | 5 | 2.633 | 0.032 | 0.996 | 4.808 | 0.001 | 0.988 |
| 10 | 2.609 | 0.070 | 0.997 | 4.302 | 0.009 | 0.989 | |
| 12.5 | 2.401 | 0.107 | 0.999 | 4.614 | 0.007 | 0.983 | |
| 15 | 2.385 | 0.217 | 0.999 | 4.782 | 0.023 | 0.987 | |
| 0.05 wt% | 5 | 2.873 | 0.022 | 0.996 | 4.511 | 0.002 | 0.987 |
| 10 | 2.575 | 0.064 | 0.994 | 4.419 | 0.008 | 0.989 | |
| 12.5 | 2.475 | 0.099 | 0.998 | 4.780 | 0.006 | 0.985 | |
| 15 | 2.277 | 0.270 | 0.999 | 4.945 | 0.027 | 0.984 | |
| 0.07 wt% | 5 | 2.701 | 0.028 | 0.996 | 4.261 | 0.003 | 0.986 |
| 10 | 2.754 | 0.053 | 0.994 | 4.610 | 0.007 | 0.989 | |
| 12.5 | 2.747 | 0.063 | 0.997 | 5.117 | 0.003 | 0.982 | |
| 15 | 2.291 | 0.244 | 0.999 | 5.075 | 0.020 | 0.983 | |
| 0.1 wt% | 5 | 2.567 | 0.037 | 0.998 | 4.334 | 0.002 | 0.984 |
| 10 | 2.736 | 0.066 | 0.993 | 4.733 | 0.008 | 0.992 | |
| 12.5 | 2.439 | 0.129 | 0.998 | 4.738 | 0.010 | 0.985 | |
| 15 | 2.310 | 0.245 | 0.999 | 5.028 | 0.021 | 0.985 |
| Sample | X(T)/% | F(T)/K·minα−1 | α | R |
|---|---|---|---|---|
| PET | 10 | 3.123 | 1.164 | 0.968 |
| 30 | 3.242 | 1.094 | 0.988 | |
| 50 | 3.275 | 1.049 | 0.995 | |
| 70 | 3.492 | 1.103 | 0.996 | |
| 90 | 3.852 | 1.210 | 0.993 | |
| 0.01 wt% | 10 | 1.072 | 1.292 | 0.951 |
| 30 | 1.377 | 1.476 | 0.942 | |
| 50 | 1.586 | 1.634 | 0.942 | |
| 70 | 1.790 | 1.786 | 0.942 | |
| 90 | 2.034 | 1.927 | 0.938 | |
| 0.03 wt% | 10 | 1.070 | 1.070 | 0.941 |
| 30 | 1.385 | 1.385 | 0.936 | |
| 50 | 1.591 | 1.591 | 0.940 | |
| 70 | 1.782 | 1.782 | 0.945 | |
| 90 | 1.983 | 1.983 | 0.943 | |
| 0.05 wt% | 10 | 1.064 | 1.082 | 0.918 |
| 30 | 1.320 | 1.289 | 0.922 | |
| 50 | 1.499 | 1.430 | 0.926 | |
| 70 | 1.669 | 1.550 | 0.929 | |
| 90 | 1.857 | 1.632 | 0.926 | |
| 0.07 wt% | 10 | 1.087 | 1.076 | 0.846 |
| 30 | 1.348 | 1.315 | 0.879 | |
| 50 | 1.540 | 1.487 | 0.896 | |
| 70 | 1.710 | 1.596 | 0.915 | |
| 90 | 1.883 | 1.647 | 0.926 | |
| 0.10 wt% | 10 | 1.047 | 1.262 | 0.917 |
| 30 | 1.351 | 1.535 | 0.945 | |
| 50 | 1.561 | 1.696 | 0.967 | |
| 70 | 1.731 | 1.757 | 0.983 | |
| 90 | 1.894 | 1.750 | 0.987 |
| Sample | Slope | Ea/kJ·mol−1 | R |
|---|---|---|---|
| PET | 6973.80 | −57.98 | 0.998 |
| 0.01 wt% | 5530.80 | −45.98 | 0.998 |
| 0.03 wt% | 5534.60 | −46.01 | 0.996 |
| 0.05 wt% | 5553.77 | −46.17 | 0.997 |
| 0.07 wt% | 5244.52 | −43.60 | 0.998 |
| 0.1 wt% | 5195.02 | −43.19 | 0.999 |
| Relative Crystallinity (X)/% | ΔE/kJ·mol−1 | |||||
|---|---|---|---|---|---|---|
| PET | 0.01 | 0.03 | 0.05 | 0.07 | 0.1 | |
| 10 | −33.41 | −31.44 | −28.55 | −33.70 | −28.38 | −28.28 |
| 20 | −33.19 | −26.81 | −25.39 | −28.68 | −24.69 | −24.56 |
| 30 | −36.02 | −23.92 | −22.30 | −25.47 | −22.32 | −22.32 |
| 40 | −37.88 | −21.69 | −20.40 | −23.14 | −20.22 | −20.83 |
| 50 | −37.66 | −19.70 | −19.14 | −21.27 | −18.86 | −19.69 |
| 60 | −36.09 | −17.99 | −17.60 | −19.62 | −17.92 | −18.96 |
| 70 | −33.68 | −16.41 | −16.66 | −18.15 | −16.95 | −18.29 |
| 80 | −30.76 | −14.90 | −15.45 | −16.75 | −16.08 | −17.76 |
| 90 | −27.20 | −13.32 | −14.33 | −15.31 | −15.18 | −16.84 |
Publisher’s Note: MDPI stays neutral with regard to jurisdictional claims in published maps and institutional affiliations. |
© 2022 by the authors. Licensee MDPI, Basel, Switzerland. This article is an open access article distributed under the terms and conditions of the Creative Commons Attribution (CC BY) license (https://creativecommons.org/licenses/by/4.0/).
Share and Cite
Qu, D.; Cai, J.; Huang, F.; Zhang, J.; Zuo, H.; Sun, S.; Liu, J.; Bai, Y. High-Performance Optical PET Analysis via Non-Isothermal Crystallization Kinetics. Polymers 2022, 14, 3044. https://doi.org/10.3390/polym14153044
Qu D, Cai J, Huang F, Zhang J, Zuo H, Sun S, Liu J, Bai Y. High-Performance Optical PET Analysis via Non-Isothermal Crystallization Kinetics. Polymers. 2022; 14(15):3044. https://doi.org/10.3390/polym14153044
Chicago/Turabian StyleQu, Dezhi, Jiayang Cai, Fei Huang, Jinyu Zhang, Huajiang Zuo, Shuai Sun, Jinghua Liu, and Yongping Bai. 2022. "High-Performance Optical PET Analysis via Non-Isothermal Crystallization Kinetics" Polymers 14, no. 15: 3044. https://doi.org/10.3390/polym14153044
APA StyleQu, D., Cai, J., Huang, F., Zhang, J., Zuo, H., Sun, S., Liu, J., & Bai, Y. (2022). High-Performance Optical PET Analysis via Non-Isothermal Crystallization Kinetics. Polymers, 14(15), 3044. https://doi.org/10.3390/polym14153044
