Ageing Effects on a Softened Bitumen by the Addition of DSA (Dodecenyl Succinic Anhydride)
Abstract
:1. Introduction
2. Materials and Methods
2.1. Materials
- Dodecenylsuccinic anhydride (DSA), supplied by Sigma Aldrich. A reactive surfactant with the empirical formula C16H26O3 and a molecular weight of 266.38 g/mol, exhibiting a melting point of 41–43 °C and boiling at 180–182 °C. It consists of a polar head, which corresponds to the succinic anhydride group, linked to an apolar tail, constituted by aliphatic chains.
- Succinic anhydride (SA), also supplied by Sigma Aldrich. A colourless solid characterized by the empirical formula C4H4O3, with a molecular weight of 100.07 g/mol, and melting and boiling points of 118–120 and 261 °C, respectively.
- Siliceous-type mineral greywacke, used for the preparation of bituminous mixtures and as a substrate in contact angle measurements. It was obtained from the “Rus/Eiffage Infraestructuras” stone quarry located in Huelva (Huelva, Spain).
- Finally, Havoline Motor Oil 10w30, manufactured by Chevron Global Lubricants (San Ramon, CA, USA) was employed as a benchmark, for the purposes of comparison.
2.2. Ageing Protocol
2.3. Processing of Samples
2.4. Tests and Measurements
2.4.1. Rheological Measurements
- For low temperatures (below 30 °C): Rectangular torsion bars with dimensions of 25.5 ± 0.1 × 12 × 2.65 mm. In order to obtain them, molten bituminous samples were poured into custom moulds and preheated at 150 °C for 5 min [12].
- For intermediate–high temperatures (from 30 to 90 °C): Smooth plate–plate geometry with a diameter of 25 mm.
- (a)
- Temperature sweep tests in oscillatory shear, from −35 to 30 °C with torsion bars and from 30 to 100 °C using parallel plate geometries, applying a continuous heating ramp of 1 °C/min, at a frequency of 10 rad/s and strains ≤ 1% within the linear viscoelastic range.
- (b)
- Frequency sweep tests, in accordance with AASHTO T315 [15], from 0.1 to 100 rad/s, at a selected deformation within the linear viscoelastic region, with temperatures ranging from 30 °C to 90 °C and stepping every 10 °C for each test.
2.4.2. Fourier Transform Infrared Spectroscopy (FTIR)
2.4.3. SARA Analysis
2.4.4. Contact Angle Measurements
2.4.5. Compactibility Tests
3. Results
3.1. Influence of DSA Addition on Fresh Bitumen
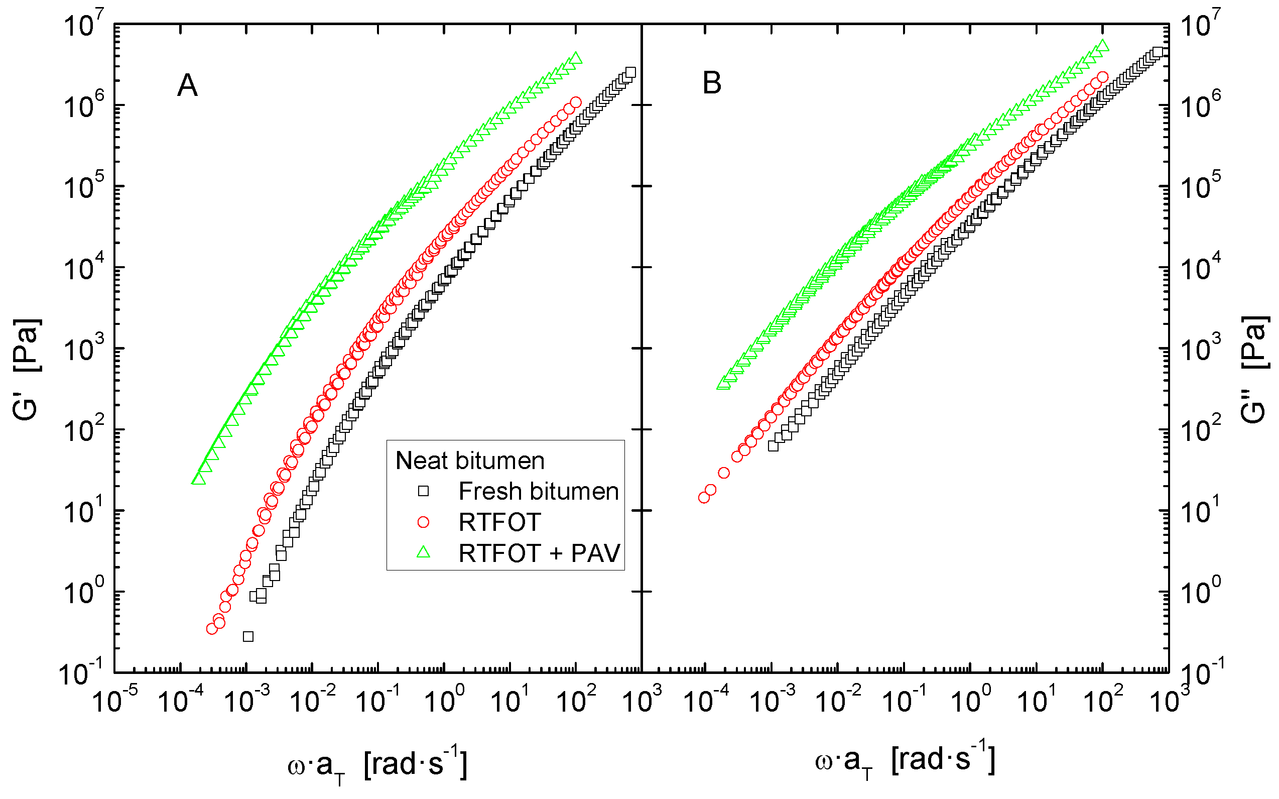
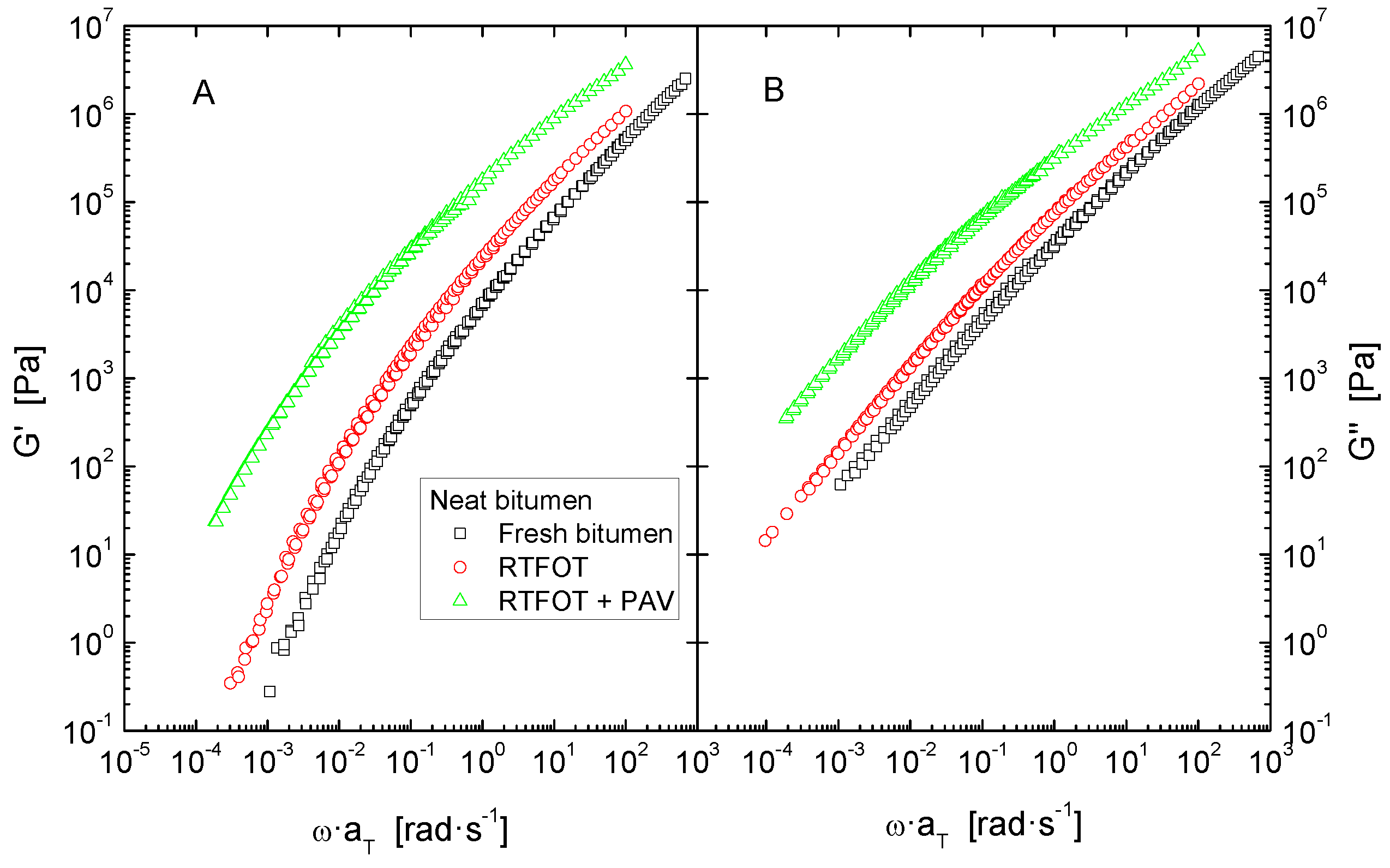
3.2. Ageing Effects on Neat Bitumen and Rejuvenation
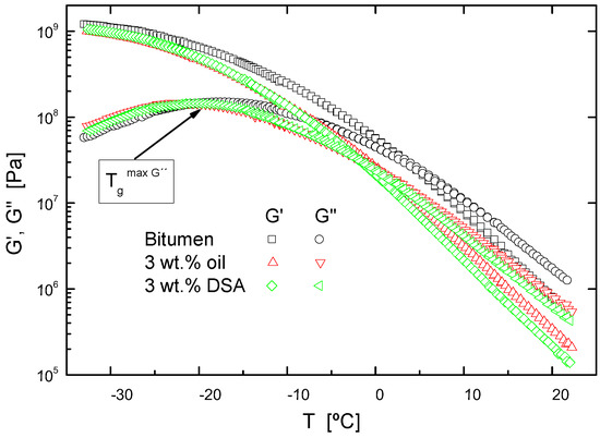
3.3. Ageing Effects on Softened Bitumen
3.4. Chemical Reactions and Microstructure
3.5. Contact Angle and Asphalt Compactibility
4. Conclusions
Author Contributions
Funding
Institutional Review Board Statement
Informed Consent Statement
Data Availability Statement
Conflicts of Interest
References
- Hesp, S.A.M.; Iliuta, S.; Shirokoff, J.W. Reversible Aging in Asphalt Binders. Energy Fuels 2007, 21, 1112–1121. [Google Scholar] [CrossRef] [Green Version]
- Lu, X.; Isacsson, U. Effect of ageing on bitumen chemistry and rheology. Constr. Build. Mater. 2002, 16, 15–22. [Google Scholar] [CrossRef]
- Ortega-Rodríguez, A.; Cruz, S.A.; Gil-Villegas, A.; Guevara-Rodríguez, A.F.; Lira-Galeana, C. Molecular View of the Asphaltene Aggregation Behavior in Asphaltene−Resin Mixtures. Energy Fuels 2003, 17, 1100–1108. [Google Scholar] [CrossRef]
- Lopes, M.D.M.; Zhao, D.; Chailleux, E.; Kane, M.; Gabet, T.; Petiteau, C.; Soares, J. Characterisation of ageing processes on the asphalt mixture surface. Road Mater. Pavement Des. 2014, 15, 477–487. [Google Scholar] [CrossRef]
- Gamarra, A.; Ossa, E.A. Thermo-oxidative aging of bitumen. Int. J. Pavement Eng. 2016, 19, 641–650. [Google Scholar] [CrossRef]
- Casado, R.; Lastra-González, P.; Castro-Fresno, D.; Perez, L.M. Synthesis, characterisation and mechanical impact of novel capsules using porous aggregates containing asphalt rejuvenator as an effective way to restore aged binder properties. Int. J. Pavement Eng. 2021, 1–18. [Google Scholar] [CrossRef]
- Pais, J.C.; Santos, C.R.G.; Presti, D.L. Application of textile fibres from tire recycling in asphalt mixtures. Road Mater. Pavement Des. 2021, 1–22. [Google Scholar] [CrossRef]
- Zaumanis, M.; Mallick, R.B.; Poulikakos, L.; Frank, R. Influence of six rejuvenators on the performance properties of Reclaimed Asphalt Pavement (RAP) binder and 100% recycled asphalt mixtures. Constr. Build. Mater. 2014, 71, 538–550. [Google Scholar] [CrossRef]
- Sotoodeh-Nia, Z.; Manke, N.; Williams, R.C.; Cochran, E.; Porot, L.; Chailleux, E.; Presti, D.L.; Carrión, A.J.D.B.; Blanc, J. Effect of two novel bio-based rejuvenators on the performance of 50% RAP mixes—A statistical study on the complex modulus of asphalt binders and asphalt mixtures. Road Mater. Pavement Des. 2021, 22, 1060–1077. [Google Scholar] [CrossRef]
- Asli, H.; Ahmadinia, E.; Zargar, M.; Karim, M.R. Investigation on physical properties of waste cooking oil—Rejuvenated bitumen binder. Constr. Build. Mater. 2012, 37, 398–405. [Google Scholar] [CrossRef]
- Nayak, P.; Sahoo, U.C. A rheological study on aged binder rejuvenated with Pongamia oil and Composite castor oil. Int. J. Pavement Eng. 2015, 18, 595–607. [Google Scholar] [CrossRef]
- Ortega, F.J.; Navarro, F.J.; Jasso, M.; Zanzotto, L. Physicochemical softening of a bituminous binder by a reactive surfactant (dodecenyl succinic anhydride, DSA). Constr. Build. Mater. 2019, 222, 766–775. [Google Scholar] [CrossRef]
- Planche, J.-P. Insights into binder chemistry, microstructure, properties relationships-usage in the real world. In Asph Pavements, Proceedings of the International Conference Asphalt Pavements, ISAP 2014, Raleigh, NC, USA, 1–5 June 2014; CRC Press: Boca Raton, FL, USA, 2014; Volume 1, pp. 13–20. [Google Scholar]
- Nahar, S.N.; Mohajeri, M.; Schmets, A.J.M.; Scarpas, A.; van de Ven, M.F.C.; Schitter, G. First Observation of Blending-Zone Morphology at Interface of Reclaimed Asphalt Binder and Virgin Bitumen. Transp. Res. Rec. J. Transp. Res. Board 2013, 2370, 1–9. [Google Scholar] [CrossRef] [Green Version]
- AASHTO T 315; Standard Method of Test for Determining the Rheological Properties of Asphalt Binder Using a Dynamic Shear Rheometer (DSR). American Association of State Highway and Transportation Officials: Washington, DC, USA, 2012.
- AASHTO T 316; Standard Method of Test for Viscosity Determination of Asphalt Binder Using Rotational Viscometer. American Association of State Highway and Transportation Officials: Washington, DC, USA, 2006.
- AASHTO T 313; Standard Method of Test for Determining the Flexural Creep Stiffness of Asphalt Binder Using the Bending Beam Rheometer (BBR). American Association of State Highway and Transportation Officials: Washington, DC, USA, 2012.
- Herrington, P.; Wu, Y.; Forbes, M.C. Rheological modification of bitumen with maleic anhydride and dicarboxylic acids. Fuel 1999, 78, 101–110. [Google Scholar] [CrossRef]
- Eckert, A. The application of Iatroscan-technique for analysis of bitumen. Pet. Coal. 2001, 43, 51–53. [Google Scholar]
- Guerrero-Barba, F.; Cabrerizo-Vílchez, M.A.; Rodríguez-Valverde, M.A. Bitumen spreading on calcareous aggregates at high temperature. J. Mater. Sci. 2014, 49, 7723–7729. [Google Scholar] [CrossRef]
- Jing, R.; Varveri, A.; Liu, X.; Scarpas, A.; Erkens, S. Rheological, fatigue and relaxation properties of aged bitumen. Int. J. Pavement Eng. 2020, 21, 1024–1033. [Google Scholar] [CrossRef] [Green Version]
- Cuciniello, G.; Leandri, P.; Polacco, G.; Airey, G.; Losa, M. Applicability of time-temperature superposition for laboratory-aged neat and SBS-modified bitumens. Constr. Build. Mater. 2020, 263, 120964. [Google Scholar] [CrossRef]
- Sol-Sánchez, M.; Carrión, A.J.D.B.; Hidalgo-Arroyo, A.; Moreno-Navarro, F.; Saiz, L.; Rubio-Gámez, M.D.C. Viability of producing sustainable asphalt mixtures with crumb rubber bitumen at reduced temperatures. Constr. Build. Mater. 2020, 265, 120154. [Google Scholar] [CrossRef]
- Airey, G.D. Rheological properties of styrene butadiene styrene polymer modified road bitumens⋆. Fuel 2003, 82, 1709–1719. [Google Scholar] [CrossRef]
- Zani, L.; Giustozzi, F.; Harvey, J. Effect of storage stability on chemical and rheological properties of polymer-modified asphalt binders for road pavement construction. Constr. Build. Mater. 2017, 145, 326–335. [Google Scholar] [CrossRef]
- Dehouche, N.; Kaci, M.; Mokhtar, K.A. Influence of thermo-oxidative aging on chemical composition and physical properties of polymer modified bitumens. Constr. Build. Mater. 2012, 26, 350–356. [Google Scholar] [CrossRef]
- Carrera, V.; Partal, P.; García-Morales, M.; Gallegos, C.; Páez, A. Influence of Bitumen Colloidal Nature on the Design of Isocyanate-Based Bituminous Products with Enhanced Rheological Properties. Ind. Eng. Chem. Res. 2009, 48, 8464–8470. [Google Scholar] [CrossRef]
- Mohammadi, A.H. An Introduction to Asphaltenes Chemistry. In Heavy Oil: Characteristics, Production and Emerging Technologies; Nova Science Publishers: NewYork, NY, USA, 2017; Chapter 5; p. 15. [Google Scholar]
- Bräuer, S.; Meister, F.; Gottlöber, R.-P.; Nechwatal, A. Preparation and Thermoplastic Processing of Modified Plant Proteins. Macromol. Mater. Eng. 2007, 292, 176–183. [Google Scholar] [CrossRef]
- Kumar, K.; Singh, R.K.; Kukrety, A.; Singh, A.; Maity, S.K.; Srivastava, M.; Atray, N.; Ray, S.S. Synthesis of succinimide based novel additives for viscosity reduction of bituminous binder. Constr. Build. Mater. 2016, 126, 566–572. [Google Scholar] [CrossRef]
- Lesueur, D. The colloidal structure of bitumen: Consequences on the rheology and on the mechanisms of bitumen modification. Adv. Colloid Interface Sci. 2009, 145, 42–82. [Google Scholar] [CrossRef]
- Mena-Cervantes, V.Y.; Hernández-Altamirano, R.; Buenrostro-González, E.; Beltrán, H.I.; Zamudio-Rivera, L.S. Development of oxazolidines derived from polyisobutylene succinimides as multifunctional stabilizers of asphaltenes in oil industry. Fuel 2013, 110, 293–301. [Google Scholar] [CrossRef]
- Hashmi, S.M.; Zhong, K.X.; Firoozabadi, A. Acid–base chemistry enables reversible colloid-to-solution transition of asphaltenes in non-polar systems. Soft Matter 2012, 8, 8778. [Google Scholar] [CrossRef]
- Schramm, L.L.; Stasiuk, E.N.; Turner, D. The influence of interfacial tension in the recovery of bitumen by water-based conditioning and flotation of Athabasca oil sands. Fuel Process. Technol. 2003, 80, 101–118. [Google Scholar] [CrossRef]
- Rossi, C.O.; Caputo, P.; Baldino, N.; Lupi, F.R.; Miriello, D.; Angelico, R. Effects of adhesion promoters on the contact angle of bitumen-aggregate interface. Int. J. Adhes. Adhes. 2016, 70, 297–303. [Google Scholar] [CrossRef]
- Hefer, A.W.; Little, D.N.; Lytton, R.L. A Synthesis of Theories and Mechanisms of Bitumen-Aggregate Adhesion Including Recent Advances in Quantifying the Effects of Water; Association of Asphalt Paving Technologists: Long Beach, CA, USA, 2005. [Google Scholar]
- Hathout, R.M.; Gad, H.A.; Metwally, A.A. Gelatinized-core liposomes: Toward a more robust carrier for hydrophilic molecules. J. Biomed. Mater. Res. Part A 2017, 105, 3086–3092. [Google Scholar] [CrossRef] [PubMed]














| Sieve Size (mm) | AC16S | Sample |
|---|---|---|
| 22.4 | 100 | 100 |
| 16 | 90–100 | 94.3 |
| 8 | 60–75 | 65.4 |
| 4 | 35–50 | 39.0 |
| 2 | 24–38 | 26.8 |
| 0.5 | 11–21 | 14.9 |
| 0.25 | 7–15 | 11.3 |
| 0.063 | 3–7 | 5.1 |
| Sample | Processing Conditions | η (60 °C) Pa·s | η (135 °C) Pa·s |
|---|---|---|---|
| Neat | - | 205 | 0.414 |
| 3 wt.% oil | 150 °C, 1 h | 125 | 0.331 |
| 3 wt.% DSA | 90 °C, 1 h | 99.3 | |
| 120 °C, 1 h | 100 | ||
| 150 °C, 1 h | 96.4 | 0.298 | |
| 180 °C, 1 h | 102 | ||
| 150 °C, 2 h | 114 | ||
| 150 °C, 3 h | 122 |
| AASHTO | B85/100 | 3 wt.% Oil | 3 wt.% DSA | ||
|---|---|---|---|---|---|
| T when G*/sinδ = 1 kPa (°C) | original | T315 | 65.4 | 61.9 | 62 |
| T when G*/sinδ = 2.2 kPa (°C) | RTFOT | T315 | 65.4 | 61.9 | 62.0 |
| Weight loss (%) | RTFOT | 0.39 | 0.38 | 0.98 | |
| T when G*·sinδ = 5 MPa (°C) | PAV | T315 | 20.1 | 15.8 | 18.7 |
| T when S(t) = 300 MPa | PAV | T313 | −17.9 | −22.7 | −19.3 |
| S(t) (MPa) at −12 °C | PAV | T313 | 304 | 173 | 257 |
| m-Value at −12 °C | PAV | T313 | 0.318 | 0.340 | 0.319 |
| Bitumen | Sample | C1 | C2 | Tgmax(G″) (°C) |
|---|---|---|---|---|
| B85/100 | original | 16.58 | 163.24 | −16.6 |
| RTFOT | 11.28 | 109.79 | ||
| PAV | 13.30 | 116.26 | ||
| 3 wt.% oil | original | 14.6 | 155.79 | −21.9 |
| RTFOT | 11.16 | 114.34 | ||
| PAV | 13.42 | 124.64 | ||
| 3 wt.% DSA | original | 12.91 | 142.65 | −22.1 |
| RTFOT | 10.08 | 103.23 | ||
| PAV | 13.53 | 123.28 |
Publisher’s Note: MDPI stays neutral with regard to jurisdictional claims in published maps and institutional affiliations. |
© 2022 by the authors. Licensee MDPI, Basel, Switzerland. This article is an open access article distributed under the terms and conditions of the Creative Commons Attribution (CC BY) license (https://creativecommons.org/licenses/by/4.0/).
Share and Cite
Ortega, F.J.; Cuadri, A.A.; Partal, P.; Navarro, F.J. Ageing Effects on a Softened Bitumen by the Addition of DSA (Dodecenyl Succinic Anhydride). Polymers 2022, 14, 2437. https://doi.org/10.3390/polym14122437
Ortega FJ, Cuadri AA, Partal P, Navarro FJ. Ageing Effects on a Softened Bitumen by the Addition of DSA (Dodecenyl Succinic Anhydride). Polymers. 2022; 14(12):2437. https://doi.org/10.3390/polym14122437
Chicago/Turabian StyleOrtega, Francisco José, Antonio Abad Cuadri, Pedro Partal, and Francisco Javier Navarro. 2022. "Ageing Effects on a Softened Bitumen by the Addition of DSA (Dodecenyl Succinic Anhydride)" Polymers 14, no. 12: 2437. https://doi.org/10.3390/polym14122437
APA StyleOrtega, F. J., Cuadri, A. A., Partal, P., & Navarro, F. J. (2022). Ageing Effects on a Softened Bitumen by the Addition of DSA (Dodecenyl Succinic Anhydride). Polymers, 14(12), 2437. https://doi.org/10.3390/polym14122437

