Loop and Bridge Conformations of ABA Triblock Comb Copolymers: A Conformational Assessment for Molecular Composites
Abstract
1. Introduction
2. Simulation Methods
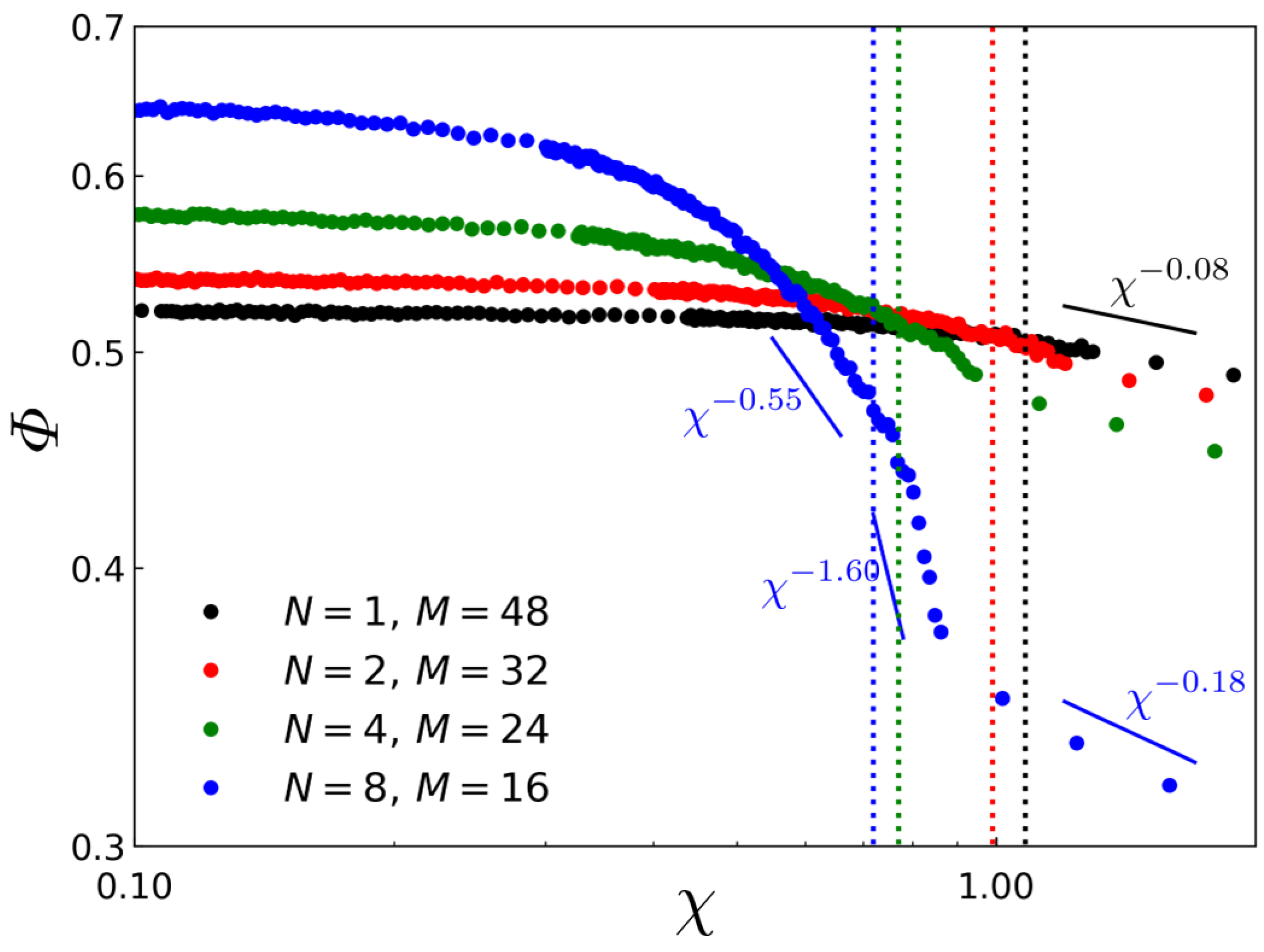
3. Results
4. Conclusions
Author Contributions
Funding
Institutional Review Board Statement
Informed Consent Statement
Data Availability Statement
Conflicts of Interest
References
- Holden, G.L.; Legge, N.R.; Quirk, R.P.; Schroeder, H.E. Thermoplastic Elastomers; Hanser: Munich, Germany, 1996. [Google Scholar]
- Ding, W.; Wang, S.; Yao, K.; Ganewatta, M.S.; Tang, C.; Robertson, M.L. Physical Behavior of Triblock Copolymer Thermoplastic Elastomers Containing Sustainable Rosin-Derived Polymethacrylate End Blocks. ACS Sustain. Chem. Eng. 2017, 5, 11470–11480. [Google Scholar] [CrossRef]
- Gregory, G.L.; Sulley, G.S.; Carrodeguas, L.P.; Chen, T.P.D.; Santmarti, A.; Terrill, N.J.; Lee, K.Y.; Williams, C.K. Triblock Polyester Thermoplastic Elastomers with Semi-Aromatic Polymer End Blocks by Ring-Opening Copolymerization. Chem. Sci. 2020, 11, 6567–6581. [Google Scholar] [CrossRef]
- Jia, M.; Zhang, D.; de Kort, G.W.; Wilsens, C.H.R.M.; Rastogi, S.; Hadjichristidis, N.; Gnanou, Y.; Feng, X. All-Polycarbonate Thermoplastic Elastomers Based on Triblock Copolymers Derived from Triethylborane-Mediated Sequential Copolymerization of CO2 with Various Epoxides. Macromolecules 2020, 53, 5297–5307. [Google Scholar] [CrossRef] [PubMed]
- Kalita, U.; Samanta, S.; Banerjee, S.L.; Das, N.C.; Singha, N.K. Biobased Thermoplastic Elastomer Based on an SMS Triblock Copolymer Prepared via RAFT Polymerization in Aqueous Medium. Macromolecules 2021, 54, 1478–1488. [Google Scholar] [CrossRef]
- Kawarazaki, I.; Hayashi, M. Enhancement of Mechanical Properties of ABA Triblock CopolymerBased Elastomers by Incorporating Partial Cross-Links on the Soft Bridge Chains. ACS Appl. Polym. Mater. 2021, 3, 1271–1275. [Google Scholar] [CrossRef]
- Wu, H.; Thakur, V.K.; Kessler, M.R. Novel Low-Cost Hybrid Composites from Asphaltene/SBS Triblock Copolymer with Improved Thermal and Mechanical Properties. J. Mater. Sci. 2016, 51, 2394–2403. [Google Scholar] [CrossRef]
- Thakur, V.K.; Grewell, D.; Thunga, M.; Kessler, M.R. Novel Composites from Eco-Friendly SoyFlour/SBS Triblock Copolymer. Macromol. Mater. Eng. 2014, 299, 953–958. [Google Scholar] [CrossRef]
- Zhang, Y.; Chen, S.; Zhang, H.; Ding, X.; Fu, P.; Du, F. Fabrication of Conjugated Triblock Copolymer/Single-Walled Carbon Nanotubes Composite Films with Enhanced Thermoelectric Performance. Compos. Commun. 2021, 27, 10083. [Google Scholar] [CrossRef]
- Watanabe, H.; Sato, T.; Osaki, K.; Yao, M.L.; Yamagishi, A. Rheological and Dielectric Behavior of a Styrene-Isoprene-Styrene Triblock Copolymer in Selective Solvents. 2. Contribution of Loop-Type Middle Blocks to Elasticity and Plasticity. Macromolecules 1997, 30, 5877–5892. [Google Scholar] [CrossRef]
- Honeker, C.C.; Thomas, E.L. Impact of Morphological Orientation in Determining Mechanical Properties in Triblock Copolymer Systems. Chem. Mater. 1996, 8, 1702–1714. [Google Scholar] [CrossRef]
- Takano, A.; Kamaya, I.; Takahashi, Y.; Matsushita, Y. Effect of Loop/Bridge Conformation Ratio on Elastic Properties of the Sphere-Forming ABA Triblock Copolymers: Preparation of Samples and Determination of Loop/Bridge Ratio. Macromolecules 2005, 38, 9718–9723. [Google Scholar] [CrossRef]
- Milner, S.T.; Witten, T.A. Bridging Attraction by Telechelic Polymers. Macromolecules 1992, 25, 5495–5503. [Google Scholar] [CrossRef]
- Watanabe, H. Slow Dielectric Relaxation of a Styrene—Isoprene—Styrene Triblock Copolymer with Dipole Inversion in the Middle Block: A Challenge to a Loop/Bridge Problem. Macromolecules 1995, 28, 5006–5011. [Google Scholar] [CrossRef]
- Karatasos, K.; Anastasiadis, S.H.; Pakula, T.; Wayanabe, H. On the Loops-to-Bridges Ratio in Ordered Triblock Copolymers: An Investigation by Dielectric Relaxation Spectroscopy and Computer Simulations. Macromolecules 2000, 33, 523–541. [Google Scholar] [CrossRef]
- Mori, Y.; Lim, L.S.; Bates, F.S. Consequences of Molecular Bridging in Lamellae-Forming Triblock/Pentablock Copolymer Blends. Macromolecules 2003, 36, 9879–9898. [Google Scholar] [CrossRef]
- Zhulina, E.B.; Halperin, A. Lamellar Mesogels and Mesophases: A Self-Consistent-Field Theory. Macromolecules 1992, 25, 5730–5741. [Google Scholar] [CrossRef]
- Avalas, J.B.; Johner, A.; Joanny, J.F. Bridging by Adsorbed Polymers Between Two Surfaces. J. Chem. Phys. 1994, 101, 9181–9194. [Google Scholar] [CrossRef]
- Matsen, M.W.; Schick, M. Lamellar Phase of a Symmetric Triblock Copolymer. Macromolecules 1994, 27, 187–192. [Google Scholar] [CrossRef]
- Huh, J.; Jo, W.H.; Brinke, G.T. Conformational Analysis in ABA Triblock Melts by Monte Carlo Simulation. Macromolecules 2002, 35, 2413–2416. [Google Scholar] [CrossRef][Green Version]
- Aoyagi, T.; Honda, T.; Doi, M. Microstructural Study of Mechanical Properties of the ABA Triblock Copolymer Using Self-Consistent Field and Molecular Dynamics. J. Chem. Phys. 2002, 117, 8153–8161. [Google Scholar] [CrossRef]
- Abu-Sharkh, B.; AlSunaidi, A. Morphology and Conformation Analysis of Self-Assembled Triblock Copolymer Melts. Macromol. B Theory Simul. 2006, 15, 507–515. [Google Scholar] [CrossRef]
- Morita, H.; Miyamoto, A.; Kotani, M. Recoverably and Destructively Deformed Domain Structures in Elongation Process of Thermoplastic Elastomer Analyzed by Graph Theory. Polymer 2020, 188, 122098. [Google Scholar] [CrossRef]
- Gu, W.; Huh, J.; Hong, S.W.; Sveinbjornsson, B.R.; Park, C.; Grubbs, R.H.; Russell, T.P. Self-Assembly of Symmetric Brush Diblock Copolymers. ACS Nano 2013, 7, 2551–2558. [Google Scholar] [CrossRef]
- Rzayev, J. Synthesis of Polystyrene-Polylactide Bottlebrush Block Copolymers and Their Melt Self-Assembly into Large Domain Nanostructures. Macromolecules 2009, 42, 2135–2141. [Google Scholar] [CrossRef]
- Bolton, J.; Bailey, T.S.; Rzayev, J. Large Pore Size Nanoporous Materials from the Self-Assembly of Asymmetric Bottlebrush Block Copolymers. Nano Lett. 2011, 11, 998–1001. [Google Scholar] [CrossRef]
- Fenyves, R.; Schmutz, M.; Horner, I.J.; Bright, F.V.; Rzayev, J. Aqueous Self-Assembly of Giant Bottlebrush Block Copolymer Surfactants as Shape-Tunable Building Blocks. J. Am. Chem. Soc. 2014, 136, 7762–7770. [Google Scholar] [CrossRef]
- Song, D.P.; Zhao, T.H.; Guidetti, G.; Vignolini, S.; Parker, R.M. Hierarchical Photonic Pigments via the Confined Self-Assembly of Bottlebrush Block Copolymers. ACS Nano 2019, 13, 1764–1771. [Google Scholar] [CrossRef]
- Kim, E.J.; Shin, J.J.; Do, T.; Lee, G.S.; Park, J.; Thapar, V.; Choi, J.; Bang, J.; Yi, G.R.; Hur, S.M.; et al. Molecular Weight Dependent Morphological Transitions of Bottlebrush Block Copolymer Particles: Experiments and Simulations. ACS Nano 2021, 15, 5513–5522. [Google Scholar] [CrossRef]
- Yang, J.X.; Long, Y.Y.; Pan, L.; Men, Y.F.; Li, Y.S. Spontaneously Healable Thermoplastic Elastomers Achieved through One-Pot Living Ring-Opening Metathesis Copolymerization of Well-Designed Bulky Monomers. ACS Appl. Mater. Interfaces 2016, 8, 12445–12455. [Google Scholar] [CrossRef]
- Sunday, D.F.; Chang, A.B.; Liman, C.D.; Gann, E.; Delongchamp, D.M.; Thomsen, L.; Matsen, M.W.; Grubbs, R.H.; Soles, C.L. Self-Assembly of ABC Bottlebrush Triblock Terpolymers with Evidence for Looped Backbone Conformations. Macromolecules 2018, 51, 7178–7185. [Google Scholar] [CrossRef]
- Nian, S.; Lian, H.; Gong, Z.; Zhernenkov, M.; Qin, J.; Cai, L.H. Molecular Architecture Directs Linear-Bottlebrush-Linear Triblock Copolymers to Self-Assemble to Soft Reprocessable Elastomers. ACS Macro Lett. 2019, 8, 1528–1534. [Google Scholar] [CrossRef]
- Español, P.; Warren, P.B. Statistical Mechanics of Dissipative Particle Dynamics. Europhys. Lett. 1995, 30, 191–196. [Google Scholar] [CrossRef]
- Groot, R.D.; Warren, P.B. Dissipative Particle Dynamics: Bridging the Gap between Atomistic and Mesoscopic Simulation. J. Chem. Phys. 1997, 107, 4423–4435. [Google Scholar] [CrossRef]
- Andersona, J.A.; Glaser, J.; Glotzer, S.C. HOOMD-blue: A Python Package for High-Performance Molecular Dynamics and Hard Particle Monte Carlo Simulations. Comput. Mater. Sci. 2020, 173, 109363. [Google Scholar] [CrossRef]
- Groot, R.D.; Madden, T.J. Dynamic Simulation of Diblock Copolymer Microphase Separation. J. Chem. Phys. 1998, 108, 8713–8724. [Google Scholar] [CrossRef]
- Spenley, N.A. Scaling Laws for Polymers in Dissipative Particle Dynamics. Europhys. Lett. 2000, 49, 534–540. [Google Scholar] [CrossRef]
- Phillips, C.L.; Anderson, J.A.; Glotzer, S.C. Pseudo-Random Number Generation for Brownian Dynamics and Dissipative Particle Dynamics Simulations on GPU Devices. J. Comput. Phys. 2011, 230, 7191–7201. [Google Scholar] [CrossRef]
- Allen, M.P.; Tildesley, D.J. Computer Simulation of Liquids, 2nd ed.; Clarendon Press: Oxford, UK, 2017. [Google Scholar]
- Karabin, M.; Stuartb, S.J. Simulated Annealing with Adaptive Cooling Rates. J. Chem. Phys. 2020, 153, 114103. [Google Scholar] [CrossRef]
- Bishop, M.; Frinks, S. Error Analysis in Computer Simulations. J. Chem. Phys. 2020, 87, 3675–3676. [Google Scholar] [CrossRef]
- Mikhailov, I.V.; Leermakers, F.A.; Darinskii, A.A.; Zhulina, E.B.; Borisov, O.V. Theory of microphase segregation in ABA triblock comb-shaped copolymers: Lamellar mesophase. Macromolecules 2021, 54, 4747–4759. [Google Scholar] [CrossRef]




| Parameter | Value | Unit 1 | Equations |
|---|---|---|---|
| 25.0 | (2) | ||
| 4.5 | (3) and (4) | ||
| K | 100.0 | (6) | |
| 0.7 | (6) |
| Architecure | M | N | L1 | |
|---|---|---|---|---|
| L-TBC | 48 | 1 | 1.08 | 8.26 ± 0.19 |
| C-TBC | 32 | 2 | 0.99 | 8.18 ± 0.26 |
| C-TBC | 24 | 4 | 0.77 | 8.17 ± 0.16 |
| C-TBC | 16 | 8 | 0.72 | 8.26 ± 0.18 |
Publisher’s Note: MDPI stays neutral with regard to jurisdictional claims in published maps and institutional affiliations. |
© 2022 by the authors. Licensee MDPI, Basel, Switzerland. This article is an open access article distributed under the terms and conditions of the Creative Commons Attribution (CC BY) license (https://creativecommons.org/licenses/by/4.0/).
Share and Cite
Park, J.; Jung, J.-Y.; Shin, H.-W.; Park, J.-W.; Bang, J.; Huh, J. Loop and Bridge Conformations of ABA Triblock Comb Copolymers: A Conformational Assessment for Molecular Composites. Polymers 2022, 14, 2301. https://doi.org/10.3390/polym14112301
Park J, Jung J-Y, Shin H-W, Park J-W, Bang J, Huh J. Loop and Bridge Conformations of ABA Triblock Comb Copolymers: A Conformational Assessment for Molecular Composites. Polymers. 2022; 14(11):2301. https://doi.org/10.3390/polym14112301
Chicago/Turabian StylePark, Jihoon, Je-Yeon Jung, Hyun-Woo Shin, Jong-Wan Park, Joona Bang, and June Huh. 2022. "Loop and Bridge Conformations of ABA Triblock Comb Copolymers: A Conformational Assessment for Molecular Composites" Polymers 14, no. 11: 2301. https://doi.org/10.3390/polym14112301
APA StylePark, J., Jung, J.-Y., Shin, H.-W., Park, J.-W., Bang, J., & Huh, J. (2022). Loop and Bridge Conformations of ABA Triblock Comb Copolymers: A Conformational Assessment for Molecular Composites. Polymers, 14(11), 2301. https://doi.org/10.3390/polym14112301

