Noise and Electrical Characteristics of Composites Filled with Onion-Like Carbon Nanoparticles
Abstract
1. Introduction
2. Materials and Methods
2.1. Investigated Composite Materials with Onion-Like Carbon Filler
2.2. Low-Frequency Noise Measurement Technique
3. Results
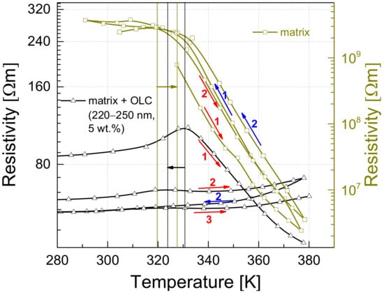
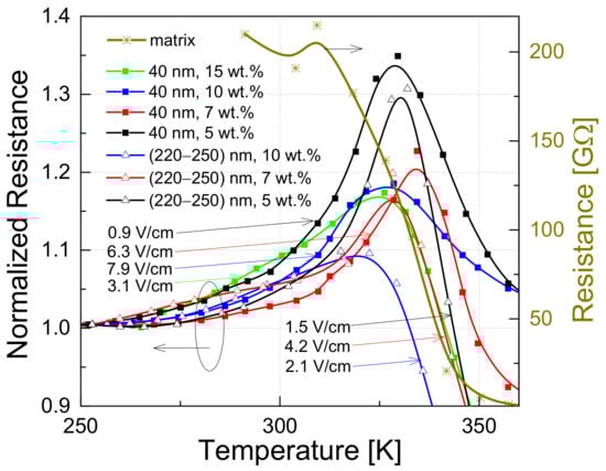
3.1. Electrical Characteristics
3.2. Noise Characteristics
4. Discussion
5. Conclusions
Author Contributions
Funding
Institutional Review Board Statement
Informed Consent Statement
Data Availability Statement
Acknowledgments
Conflicts of Interest
References
- Lu, P.Y.; Li, Y.R.; Yen, C.M.; Hung, H.T.; Kao, C.R.; Pu, W.C.; Chen, C.C.A.; Lee, M.H.; Liao, M.H. The Real Demon-stration of High-Quality Carbon Nano-Tubes (CNTs) as the Electrical Connection for the Potential Application in a Vertical 3D Integrated Technology. In Proceedings of the 2020 IEEE 70th Electronic Components and Technology Conf. (ECTC), Orlando, FL, USA, 3–30 June 2020; pp. 1573–1578. [Google Scholar]
- Khan, J.B.; Smith, A.C.; Tuohy, P.M.; Gresil, M.; Soutis, C.; Lambourne, A. Experimental electrical characterisation of carbon fibre composites for use in future aircraft applications. IET Sci. Meas. Technol. 2019, 13, 1131–1138. [Google Scholar] [CrossRef]
- Karbovnyk, I.; Klym, H.; Lukashevych, D.; Chalyy, D.; Zhydenko, I. Electrical Behavior of Single/Multi-Walled Carbon Nanotubes Composites. In Proceedings of the 2020 IEEE 40th International Conference on Electronics and Nanotechnology (ELNANO), Kyiv, Ukraine, 22–24 April 2020; pp. 351–354. [Google Scholar]
- Ganesh, P.; Kent, P.R.C.; Mochalin, V. Formation, characterization, and dynamics of onion-like carbon structures for electrical energy storage from nanodiamonds using reactive force fields. J. Appl. Phys. 2011, 110, 073506. [Google Scholar] [CrossRef]
- Makgopa, K.; Raju, K.; Ejikeme, P.M.; Ozoemena, K.I. High-performance Mn3O4/onion-like carbon (OLC) nanohybrid pseudocapacitor: Unravelling the intrinsic properties of OLC against other carbon supports. Carbon 2017, 117, 20–32. [Google Scholar] [CrossRef]
- Jiang, L.; Wang, Z.; Geng, D.; Lin, Y.; Wang, Y.; An, J.; He, J.; Li, D.; Liu, W.; Zhang, Z. Structure and electromagnetic properties of both regular and defective onion-like carbon nanoparticles. Carbon 2015, 95, 910–918. [Google Scholar] [CrossRef]
- Kuznetsov, V.L.; Chuvilin, A.L.; Butenko, Y.V.; Mal’kov, I.Y.; Titov, V.M. Onion-like Carbon from Ultra-Disperse Diamond. Chem. Phys. Lett. 1994, 222, 343–348. [Google Scholar] [CrossRef]
- Wang, C.; Murugadoss, V.; Kong, J.; He, Z.; Mai, X.; Shao, Q.; Chen, Y.; Guo, L.; Liu, C.; Angaiah, S.; et al. Overview of carbon nanostructures and nanocomposites for electromagnetic wave shielding. Carbon 2018, 140, 696–733. [Google Scholar] [CrossRef]
- Chukov, D.; Nematulloev, S.; Zadorozhnyy, M.; Tcherdyntsev, V.; Stepashkin, A.; Zherebtsov, D. Structure, Mechanical and Thermal Properties of Polyphenylene Sulfide and Polysulfone Impregnated Carbon Fiber Composites. Polymers 2019, 11, 684. [Google Scholar] [CrossRef]
- Monteiro, S.N.; De Assis, F.S.; Ferreira, C.L.; Simonassi, N.T.; Weber, R.P.; Oliveira, M.S.; Colorado, H.A.; Pereira, A.C. Fique Fabric: A Promising Reinforcement for Polymer Composites. Polymers 2018, 10, 246. [Google Scholar] [CrossRef]
- Du, Y.; Li, D.; Liu, L.; Gai, G. Recent Achievements of Self-Healing Graphene/Polymer Composites. Polymers 2018, 10, 114. [Google Scholar] [CrossRef]
- Chen, H.; Xi, N.; Song, B.; Chen, L.; Lai, K.W.C. Carbon nanotube based multiple spectrum infrared camera. In Proceedings of the 2011 IEEE Nanotechnology Materials and Devices Conference, Jeju, Korea, 18–21 October 2011; pp. 19–22. [Google Scholar]
- Yadav, R.; Tirumali, M.; Wang, X.; Naebe, M.; Kandasubramanian, B. Polymer composite for antistatic application in aerospace. Def. Technol. 2020, 16, 107–118. [Google Scholar] [CrossRef]
- Clyne, T.W.; Hull, D. An Introduction to Composite Materials; Cambridge University Press: Cambridge, UK; New York, NY, USA, 2019. [Google Scholar]
- Karpov, A. Results of research in the area of nanotechnologies and nanomaterials. Part 5. Nanotechnologies Constr. A Sci. Internet-J. 2014, 6, 68–85. [Google Scholar] [CrossRef]
- Dawson, J.F.; Austin, A.N.; Flintoft, I.D.; Marvin, A.C. Shielding Effectiveness and Sheet Conductance of Nonwoven Carbon-Fiber Sheets. IEEE Trans. Electromagn. Compat. 2016, 59, 84–92. [Google Scholar] [CrossRef]
- Huang, X.; Sun, B.; Yu, C.; Wu, J.; Zhang, J.; Jiang, P. Highly conductive polymer nanocomposites for emerging high voltage power cable shields: Experiment, simulation and applications. High Volt. 2020, 5, 387–396. [Google Scholar] [CrossRef]
- Strümpler, R.; Maidorn, G.; Rhyner, J. Fast current limitation by conducting polymer composites. J. Appl. Phys. 1997, 81, 6786–6794. [Google Scholar] [CrossRef]
- Liu, X.; Wu, Y.; Li, X.; Yu, J.; Sun, Y. FeS onion-like Carbon Nanocapsules Embedded in Amorphous Carbon for the Lithium Ion Batteries with Excellent Cycling Stability. Ceram. Int. 2018, 44, 13654–13661. [Google Scholar] [CrossRef]
- Aref, A.R.; Chen, S.-W.; Rajagopalan, R.; Randall, C. Bimodal porous carbon cathode and prelithiated coalesced carbon onion anode for ultrahigh power energy efficient lithium ion capacitors. Carbon 2019, 152, 89–97. [Google Scholar] [CrossRef]
- Koudoumas, E.; Kokkinaki, O.; Konstantaki, M.; Couris, S.; Korovin, S.; Detkov, P.; Kuznetsov, V.; Pimenov, S.; Pustovoi, V. Onion-like carbon and diamond nanoparticles for optical limiting. Chem. Phys. Lett. 2002, 357, 336–340. [Google Scholar] [CrossRef]
- De Heer, W.A.; Ugarte, D. Carbon Onions Produced by Heat Treatment of Carbon Soot and Their Relation to the 217.5 Nm Interstellar Absorption Feature. Chem. Phys. Lett. 1993, 207, 480–486. [Google Scholar] [CrossRef]
- Zhang, M.; Yu, J.; Ying, T.; Yu, J.; Sun, Y.; Liu, X. P doped onion-like carbon layers coated FeP nanoparticles for anode materials in lithium ion batteries. J. Alloy. Compd. 2019, 777, 860–865. [Google Scholar] [CrossRef]
- Chen, J.; Yang, B.; Li, H.; Ma, P.; Lang, J.; Yan, X. Candle soot: Onion-like carbon, an advanced anode material for a potassium-ion hybrid capacitor. J. Mater. Chem. A 2019, 7, 9247–9252. [Google Scholar] [CrossRef]
- Sichel, E.K.; Gittleman, J.I.; Sheng, P. Transport properties of the composite material carbon-poly(vinyl chloride). Phys. Rev. B 1978, 18, 5712–5716. [Google Scholar] [CrossRef]
- Strumpler, R.; Glatz-Reichenbach, J. Conducting Polymer Composites. J. Electroceramics 1999, 3, 329–346. [Google Scholar] [CrossRef]
- Grimaldi, C.; Kecsenovity, E.; Majidian, M.; Kuznetsov, V.L.; Magrez, A.; Forró, L. Electrical transport in onion-like carbon—PMMA nanocomposites. Appl. Phys. Lett. 2019, 114, 103102. [Google Scholar] [CrossRef]
- Celzard, A.; Furdin, G.; Marêché, J.F.; McRae, E. Nonlinear current - voltage characteristics in anisotropic epoxy resin - graphite flake composites. J. Materials Science 1997, 32, 1849–1853. [Google Scholar] [CrossRef]
- Celzard, A.; McRae, E.; Furdin, G.; Marêché, J.F. Conduction mechanisms in some graphite-polymer composites: The effect of a direct-current electric field. J. Physics: Condensed Matter. 1997, 9, 2225–2237. [Google Scholar] [CrossRef]
- Celzard, A.; McRae, E.; Marêché, J.F.; Furdin, G.; Sundqvist, B. Conduction mechanisms in some graphite-polymer composites: Effects of temperature and hydrostatic pressure. J. Appl. Phys. 1998, 83, 1410–1419. [Google Scholar] [CrossRef]
- Li, G.; Chen, G.; Li, S. Charge transport characteristics in nanodielectrics. In Proceedings of the 2016 IEEE Conference on Electrical Insulation and Dielectric Phenomena (CEIDP), Toronto, ON, Canada, 16–19 October 2016; pp. 522–525. [Google Scholar]
- Macutkevic, J.; Adomavičius, R.; Krotkus, A.; Banys, J.; Kuznetsov, V.; Moseenkov, S.; Romanenko, A.; Shenderova, O. Localization and electrical transport in onion-like carbon based composites. J. Appl. Phys. 2012, 111, 103701. [Google Scholar] [CrossRef]
- Macutkevic, J.; Kranauskaite, I.; Banys, J.; Moseenkov, S.; Kuznetsov, V.; Shenderova, O. Metal-insulator transition and size dependent electrical percolation in onion-like carbon/polydymethylsiloxane composites. J. Appl. Phys. 2014, 115, 213702. [Google Scholar] [CrossRef]
- Kranauskaite, I.; Macutkevic, J.; Banys, J.; Kuznetsov, V.; Letellier, M.; Fierro, V.; Celzard, A.; Shenderova, O. Size de-pendent electrical and thermal properties of onion-like carbons/polyurethane composites. Polym. Compos. 2018, 39, E1834. [Google Scholar] [CrossRef]
- Kawahara, T.; Ohno, Y.; Maehashi, K.; Matsumoto, K.; Okamoto, K.; Utsunomiya, R.; Matsuba, T. Noise spectroscopy of self-aligned carbon nanowalls. In Proceedings of the 2015 International Conference on Noise and Fluctuations (ICNF), Xian, China, 2–6 June 2015; pp. 1–4. [Google Scholar]
- Jones, B. Low-frequency noise spectroscopy. IEEE Trans. Electron. Devices 1994, 41, 2188–2197. [Google Scholar] [CrossRef]
- Glemža, J.; Palenskis, V.; Pralgauskaitė, S.; Vysniauskas, J.; Matukas, J. Properties of the surface generation-recombination noise in 1.94 µm GaSb-based laser diodes. Infrared Phys. Technol. 2018, 91, 101–106. [Google Scholar] [CrossRef]
- Van Vliet, K. Noise in Semiconductors and Photoconductors. Proc. IRE 1958, 46, 1004–1018. [Google Scholar] [CrossRef]
- Kawahara, T.; Yamaguchi, S.; Ohno, Y.; Maehashi, K.; Matsumoto, K.; Itaka, K. Gate voltage dependence of 1/f noise in carbon nanotubes with the different metal contacts. In Proceedings of the 2013 22nd International Conference on Noise and Fluctuations (ICNF), Montpellier, France, 24–28 June 2013; pp. 1–4. [Google Scholar]
- Tretjak, M.; Pralgauskaitė, S.; Matukas, J.; Macutkevič, J.; Banys, J.; Shenderova, O. Low Frequency Noise and Resistivity Characteristics of Hybrid Composites with Onion-Like Carbon and Multi-Walled Carbon Nanotubes. Fluct. Noise Lett. 2019, 18, 1940009. [Google Scholar] [CrossRef]
- Tretjak, M.; Pralgauskaitė, S.; Macutkevic, J.; Matukas, J.; Banys, J.; Kuzhir, P.; Ivanov, E.; Kotsilkova, R. Influence of carbon nanotube surface treatment on resistivity and low-frequency noise characteristics of epoxy-based composites. Polym. Compos. 2018, 39, E1224–E1230. [Google Scholar] [CrossRef]
- Kuznetsov, V.; Butenko, Y.; Chuvilin, A.; Romanenko, A.; Okotrub, A. Electrical resistivity of graphitized ultra-disperse diamond and onion-like carbon. Chem. Phys. Lett. 2001, 336, 397–404. [Google Scholar] [CrossRef]
- Langlet, R.; Lambin, P.; Mayer, A.; Kuzhir, P.P.; Maksimenko, S.A. Dipole Polarizability of Onion-like Carbons and Elec-tromagnetic Properties of Their Composites. Nanotechnology 2008, 19, 115706. [Google Scholar] [CrossRef] [PubMed][Green Version]
- EpoThin 2 Resin, 32oz [0.95L]. Lake Bluff, USA. Available online: https://shop.buehler.com/epothin-2-resin-32oz095l (accessed on 12 March 2021).
- Palaimiene, E.; Macutkevic, J.; Banys, J.; Selskis, A.; Fierro, V.; Celzard, A.; Schaefer, S.; Shenderova, O. Ultra-Low Per-colation Threshold in Epoxy Resin–Onion-like Carbon Composites. Appl. Phys. Lett. 2018, 113, 033105. [Google Scholar] [CrossRef]
- Su, W.F.A.; Schoch, K.F.; Smith, J.D.B. Comparison of cure conditions for rigid rod epoxy and bisphenol A epoxy using thermomechanical analysis. J. Appl. Polym. Sci. 1998, 70, 2163–2167. [Google Scholar] [CrossRef]
- Banks, L.; Ellis, B. The glass transition temperature of an epoxy resin and the effect of absorbed water. Polym. Bull. 1979, 1, 377–382. [Google Scholar] [CrossRef]
- Borodanov, S.D.; Romanenko, A.I.; Anikeeva, O.B.; Kuznetsov, V.L.; Elumeeva, K.V.; Moseenkov, S.I. Temperature De-pendences of Conductivity and Magnetoconductivity of Multiwall Carbon Nanotubes Annealed at Different Temperatures. J. Sib. Fed. Univ. Math. Phys. 2011, 4, 143–148. [Google Scholar]
- Barone, C.; Landi, G.; Mauro, C.; Neitzert, H.C.; Pagano, S. Universal crossover of the charge carrier fluctuation mechanism in different polymer/carbon nanotubes composites. Appl. Phys. Lett. 2015, 107, 143106. [Google Scholar] [CrossRef]
- Mott, N.F.; Davis, E.A. Electronic Processes in Non-Crystalline Materials, 2nd ed.; Int. Series of Monographs on Physics; Clarendon Press: Oxford, UK, 2012. [Google Scholar]
- Vandamme, L.K.L. Noise as a diagnostic tool for quality and reliability of electronic devices. IEEE Trans. Electron. Devices 1994, 41, 2176–2187. [Google Scholar] [CrossRef]
- Rammal, R.; Tannous, C.; Breton, P.; Tremblay, A.-M.S. Flicker (1f) Noise in Percolation Networks: A New Hierarchy of Exponents. Phys. Rev. Lett. 1985, 54, 1718–1721. [Google Scholar] [CrossRef]
- Kogan, S. Electronic Noise and Fluctuations in Solids; Cambridge University Press (CUP): Cambridge, UK, 1996. [Google Scholar]
- Burin, A.L.; Shklovkii, B.I.; Kozub, V.I.; Galperin, Y.M.; Vinokur, V. Many electron theory of 1/f noise in hopping con-ductivity. Phys. Rev. B 2006, 74, 075205. [Google Scholar] [CrossRef]
- Eletskii, A.V.; Knizhnik, A.A.; Potapkin, B.V.; Kenny, J.M. Electrical Characteristics of Carbon Nanotube-Doped Compo-sites. Phys.-Uspekhi 2015, 58, 209. [Google Scholar] [CrossRef]
- Yanashima, R.; Hirai, N.; Ohki, Y. Effects of addition of MgO fillers with various sizes and co-addition of nano-sized SiO2 fillers on the dielectric properties of epoxy resin. In Proceedings of the 2017 International Symposium on Electrical Insulating Materials (ISEIM), Toyohashi, Japan, 11–15 September 2017; Volume 2, pp. 650–653. [Google Scholar]













Publisher’s Note: MDPI stays neutral with regard to jurisdictional claims in published maps and institutional affiliations. |
© 2021 by the authors. Licensee MDPI, Basel, Switzerland. This article is an open access article distributed under the terms and conditions of the Creative Commons Attribution (CC BY) license (http://creativecommons.org/licenses/by/4.0/).
Share and Cite
Tretjak, M.; Palaimiene, E.; Pralgauskaitė, S.; Matukas, J.; Banys, J.; Macutkevič, J.; Fierro, V.; Schaefer, S.; Celzard, A. Noise and Electrical Characteristics of Composites Filled with Onion-Like Carbon Nanoparticles. Polymers 2021, 13, 997. https://doi.org/10.3390/polym13070997
Tretjak M, Palaimiene E, Pralgauskaitė S, Matukas J, Banys J, Macutkevič J, Fierro V, Schaefer S, Celzard A. Noise and Electrical Characteristics of Composites Filled with Onion-Like Carbon Nanoparticles. Polymers. 2021; 13(7):997. https://doi.org/10.3390/polym13070997
Chicago/Turabian StyleTretjak, Marina, Edita Palaimiene, Sandra Pralgauskaitė, Jonas Matukas, Jūras Banys, Jan Macutkevič, Vanessa Fierro, Sébastien Schaefer, and Alain Celzard. 2021. "Noise and Electrical Characteristics of Composites Filled with Onion-Like Carbon Nanoparticles" Polymers 13, no. 7: 997. https://doi.org/10.3390/polym13070997
APA StyleTretjak, M., Palaimiene, E., Pralgauskaitė, S., Matukas, J., Banys, J., Macutkevič, J., Fierro, V., Schaefer, S., & Celzard, A. (2021). Noise and Electrical Characteristics of Composites Filled with Onion-Like Carbon Nanoparticles. Polymers, 13(7), 997. https://doi.org/10.3390/polym13070997

