Synergy Effect of Nano-Organic Palygorskite on the Properties of Star-Shaped SBS-Modified Asphalt
Abstract
1. Introduction
2. Materials Preparation and Test Method
2.1. Materials
2.2. Preparation of A-Pal-Compounded SBS-Modified Asphalt
2.3. Characterization
2.4. High Temperature Rheological Evaluation
2.5. Water Stability Evaluation
2.6. Aging Performance Evaluation
2.7. Low Temperature Rheological Evaluation
3. Results and Discussion
3.1. Morphological Characteristics
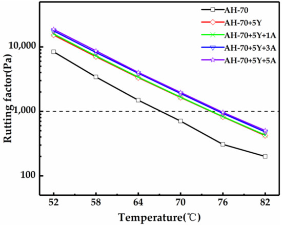
3.2. High Temperature Performance of A-Pal-Compounded SBS-Modified Asphalt
3.3. Water Stability of A-Pal-Compounded SBS-Modified Asphalt
3.4. Aging Resistance of A-Pal-Compounded SBS-Modified Asphalt
3.4.1. Short-Term Aging Analysis
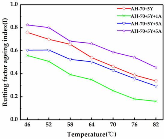
3.4.2. Long-Term Aging Analysis
3.4.3. Anti-Fatigue Performance Analysis
3.5. Low-Temperature Stability of A-Pal-Compounded SBS-Modified Asphalt
4. Conclusions
Author Contributions
Funding
Data Availability Statement
Conflicts of Interest
References
- Shaffie, E.; Ahmad, J.; Arshad, A.K.; Jaya, R.P.; Rais, N.M.; Shafii, M.A. Relationship between rheological properties of nano polymer modified asphalt binder and permanent deformation of asphalt mixture. Int. J. Integr. Eng. 2019, 11, 244–253. [Google Scholar] [CrossRef][Green Version]
- Jin, J.; Chen, B.; Liu, L.; Liu, R.; Qian, G.; Wei, H.; Zheng, J. A study on modified bitumen with metal doped nano-TiO2 pillared montmorillonite. Materials 2019, 12, 1910. [Google Scholar] [CrossRef]
- Jiang, S.; Li, J.; Zhang, Z.; Wu, H.; Liu, G. Factors influencing the performance of cement emulsified asphalt mortar—A review. Constr. Build. Mater. 2021, 279. [Google Scholar] [CrossRef]
- Jin, J.; Liu, S.; Gao, Y.; Liu, R.; Huang, W.; Wang, L.; Xiao, T.; Lin, F.; Xu, L.; Zheng, J. Fabrication of cooling asphalt pavement by novel material and its thermodynamics model. Constr. Build. Mater. 2021, 272, 121930. [Google Scholar] [CrossRef]
- Yang, X.; Shen, A.; Guo, Y.; Wu, H.; Wang, H. A review of nano layered silicate technologies applied to asphalt materials. Road. Mater. Pavement. 2020, 1–26. [Google Scholar] [CrossRef]
- Editorial Department of China Journal of Highway and Transport. Review on China’s Pavement Engineering Research 2020. China J. Highw. Transp. 2020, 33, 1–66. [Google Scholar]
- Hui, W.; Jue, L.; Feiyue, W.; Jianlong, Z.; Yiyang, T.; Yuhao, Z. Numerical investigation on fracture evolution of asphalt mixture compared with acoustic emission. Int. J. Pavement Eng. 2021. [Google Scholar] [CrossRef]
- Jin, J.; Tan, Y.; Liu, R.; Zheng, J.; Zhang, J. Synergy effect of attapulgite, rubber, and diatomite on organic montmorillonite-modified asphalt. J. Mater. Civ. Eng. 2019, 31, 04018388. [Google Scholar] [CrossRef]
- Guo, M.; Tan, Y. Interaction between asphalt and mineral fillers and its correlation to mastics’ viscoelasticity. Int. J. Pavement Eng. 2019, 22, 1–10. [Google Scholar] [CrossRef]
- Zhang, J.; Wang, J.; Wu, Y.; Wang, Y.; Wang, Y. Preparation and properties of organic palygorskite SBR/organic palygorskite compound and asphalt modified with the compound. Constr. Build. Mater. 2008, 22, 1820–1830. [Google Scholar] [CrossRef]
- Frost, R.L.; Ding, Z. Controlled rate thermal analysis and differential scanning calorimetry of sepiolites and palygorskites. Thermochim. Acta 2003, 397, 119–128. [Google Scholar] [CrossRef]
- Gueye, R.S.; Davy, C.A.; Cazaux, F.; Ndiaye, A.; Diop, M.B.; Skoczylas, F.; Wele, A. Mineralogical and physico-chemical characterization of mbodiene palygorskite for pharmaceutical applications. J. Afr. Earth. Sci. 2017, 135, 186–203. [Google Scholar] [CrossRef]
- Zhang, P.; Tian, N.; Zhang, J.; Wang, A. Effects of modification of palygorskite on superamphiphobicity and microstructure of palygorskite@ fluorinated polysiloxane superamphiphobic coatings. Appl. Clay Sci. 2018, 160, 144–152. [Google Scholar] [CrossRef]
- Qian, Y.; Geert, D.S. Enhancing thixotropy of fresh cement pastes with nanoclay in presence of polycarboxylate ether superplasticizer (PCE). Cem. Concr. Res. 2018, 111, 15–22. [Google Scholar] [CrossRef]
- Sun, Y.; Zhang, Y.; Xu, K.; Xu, W.; Yu, D.; Zhu, L.; Xie, H.; Cheng, R. Thermal, mechanical properties, and low-temperature performance of fibrous nanoclay-reinforced epoxy asphalt composites and their concretes. J. Appl. Polym. Sci. 2015, 132. [Google Scholar] [CrossRef]
- Zhang, H.; Zhang, L.; Li, Q.; Huang, C.; Guo, H.; Xiong, L.; Chen, X. Preparation and characterization of methyl palmitate/palygorskite composite phase change material for thermal energy storage in buildings. Constr. Build. Mater. 2019, 226, 212–219. [Google Scholar] [CrossRef]
- Yang, D.; Peng, F.; Zhang, H.; Guo, H.; Xiong, L.; Wang, C.; Shi, S.; Chen, X. Preparation of palygorskite paraffin nanocomposite suitable for thermal energy storage. Appl. Clay Sci. 2016, 126, 190–196. [Google Scholar] [CrossRef]
- Zhang, J.; Wang, J.; Wu, Y.; Sun, W.; Wang, Y. Investigation on thermo-rheological properties and stability of SBR modified asphalts containing palygorskite clay. J. Appl. Polym. Sci. 2009, 113, 2524–2535. [Google Scholar] [CrossRef]
- Jin, J.; Gao, Y.; Wu, Y.; Liu, S.; Liu, R.; Wei, H.; Qian, G.; Zheng, J. Rheological and adhesion properties of nano-organic palygorskite and linear SBS on the composite modified asphalt. Powder Technol. 2021, 377, 212–221. [Google Scholar] [CrossRef]
- Tu, Z.; Jing, G.; Sun, Z.; Zhen, Z.; Li, W. Effect of nanocomposite of attapulgite/EVA on flow behavior and wax crystallization of model oil. J. Dispersion Sci. Technol. 2018, 39, 1280–1284. [Google Scholar] [CrossRef]
- Jin, J.; Gao, Y.; Wu, Y.; Li, R.; Liu, R.; Wei, H.; Qian, G.; Zheng, J. Performance evaluation of surface-organic grafting on the palygorskite nanofiber for the modification of asphalt. Constr. Build. Mater. 2021, 268, 121072. [Google Scholar] [CrossRef]
- Shan, L.; Xie, R.; Wagner, N.J.; He, H.; Liu, Y. Microstructure of neat and SBS modified asphalt binder by small-angle neutron scattering. Fuel 2019, 253, 1589–1596. [Google Scholar] [CrossRef]
- AASHTO T315-05. Standard Method of Test for Determining the Rheological Properties of Asphalt Binder Using a Dynamic Shear Rheometer; American Association of State Highway and Transportation Officials: Washington, DC, USA, 2005. [Google Scholar]
- Elnasri, M.; Airey, G.; Thom, N. Developing the multiple stress–strain creep recovery (MS-SCR) test. Mech. Time-Depend. Mater. 2019, 23, 97–117. [Google Scholar] [CrossRef]
- Sybilski, D. Zero-shear viscosity of bituminous binder and its relation to bituminous mixture’s rutting resistance. Transp. Res. Rec. 1996, 1535, 15–21. [Google Scholar] [CrossRef]
- Tanzadeh, J.; Otadi, A. Testing and evaluating the effect of adding fibers and nanomaterials on improving the performance properties of thin surface asphalt. J. Test. Eval. 2018, 47, 654–677. [Google Scholar] [CrossRef]
- Alvarez, A.E.; Ovalles, E.; Martin, A.E. Comparison of asphalt rubber-aggregate and polymer modified asphalt–aggregate systems in terms of surface free energy and energy indices. Constr. Build. Mater. 2012, 35, 385–392. [Google Scholar] [CrossRef]
- Kakar, M.R.; Hamzah, M.O.; Akhtar, M.N.; Woodward, D. Surface free energy and moisture susceptibility evaluation of asphalt binders modified with surfactant-based chemical additive. J. Cleaner Prod. 2016, 112, 2342–2353. [Google Scholar] [CrossRef]
- Alvarez, A.E.; Espinosa, L.V.; Perea, A.M.; Reyes, O.J.; Paba, I.J. Adhesion quality of chip seals: Comparing and correlating the plate-stripping test, boiling-water test, and energy parameters from surface free energy. J. Mater. Civ. Eng. 2019, 31, 04018401. [Google Scholar] [CrossRef]
- AASHTO R28-09. Standard Practice for Accelerated Aging of Asphalt Binder Using a Pressurized Aging Vessel; American Association of State Highway and Transportation Officials: Washington, DC, USA, 2009. [Google Scholar]
- AASHTO T313-12. Determining the Flexural Creep Stiffness of Asphalt Binder Using the Bending Beam Rheometer (BBR); American Association of State Highway and Transportation Officials: Washington, DC, USA, 2012. [Google Scholar]
- Jin, J.; Tan, Y.; Liu, R.; Lin, F.; Wu, Y.; Qian, G.; Wei, H.; Zheng, J. Structure characteristics of organic bentonite and the effects on rheological and aging properties of asphalt. Powder Technol. 2018, 329, 107–114. [Google Scholar] [CrossRef]
- Voorhees, P.W. The theory of ostwald ripening. J. Stat. Phys. 1985, 38, 231–252. [Google Scholar] [CrossRef]
- Wang, H.; Yang, Z.; Zhan, S.; Ding, L.; Jin, K. Fatigue performance and model of polyacrylonitrile fiber reinforced asphalt mixture. Appl. Sci. 2018, 8, 1818. [Google Scholar] [CrossRef]
- Behnood, A.; Modiri Gharehveran, M. Morphology, rheology, and physical properties of polymer-modified asphalt binders. Eur. Polym. J. 2019, 112, 766–791. [Google Scholar] [CrossRef]
- Zhang, H.; Chen, Z.; Xu, G.; Shi, C. Evaluation of aging behaviors of asphalt binders through different rheological indices. Fuel 2018, 221, 78–88. [Google Scholar] [CrossRef]
- Pszczola, M.; Jaczewski, M.; Rys, D.; Jaskula, P.; Szydlowski, C. Evaluation of asphalt mixture low-temperature performance in bending beam creep test. Materials 2018, 11, 100. [Google Scholar] [CrossRef] [PubMed]








| Test Indicator | Technical Requirements | Measured Value | Test Methods |
|---|---|---|---|
| Penetration (25 °C, 100 g, 5 s) (0.1 mm) | 60~80 | 68 | ASTM D5 |
| Penetration index PI | −1.5~+1.0 | −0.77 | ASTM D5 |
| Ductility (5 cm/min, 5 °C) (cm) | ≥15 | 19.1 | ASTM D113 |
| Softening point (Ring ball) (°C) | ≥46 | 49 | ASTM D36 |
| Wax content (%) | ≤2.2 | 2 | ASTM D721 |
| Density (15 °C) (g/cm3) | - | 1.033 | ASTM D70 |
| Dynamic viscosity (60 °C), Pa·s | ≥180 | 217 | ASTM D2171 |
| Purity | Appearance | Fineness | Viscosity | Sieve Margin | Bulk Density | pH | Moisture | Proportion |
|---|---|---|---|---|---|---|---|---|
| 99.99% | Grey powder | 325 mesh | 4000 Pa·s | 0.01% | 0.14 g/cm3 | 7.0–9.5 | <15% | 0.3 |
| Sample | AH-70 | AH-70+5Y | AH-70+5Y+1A | AH-70+5Y+3A | AH-70+5Y+5A |
|---|---|---|---|---|---|
| Critical temperature | 67 | 74.2 | 74.4 | 75.3 | 75.7 |
| Sample | ZSV (Pa·s) | ISV (Pa·s) | R2 |
|---|---|---|---|
| AH-70 | 301.55 | 2.65 × 10−5 | 0.995 |
| AH-70+5Y | 893.24 | 4.65 × 10−5 | 0.997 |
| AH-70+5Y+1A | 949.4 | 4.68 × 10−5 | 0.996 |
| AH-70+5Y+3A | 1108.2 | 5.08 × 10−5 | 0.999 |
| AH-70+5Y+5A | 1291.8 | 5.80 × 10−5 | 0.998 |
| Sample | Pure Water | Formamide | Ethylene Glycol |
|---|---|---|---|
| AH-70+5Y | 106.18 | 92.36 | 100.44 |
| AH-70+5Y+1A | 103.83 | 92.57 | 96.83 |
| AH-70+5Y+3A | 104.11 | 94.08 | 98.40 |
| AH-70+5Y+5A | 104.03 | 93.10 | 97.62 |
| Sample | Surface Free Energy | Dispersion Component | Polar Component | Work of Adhesion |
|---|---|---|---|---|
| AH-70+5Y | 11.56 | 8.5 | 3.06 | 23.12 |
| AH-70+5Y+1A | 13.37 | 10.14 | 3.23 | 26.74 |
| AH-70+5Y+3A | 12.03 | 9.4 | 3.63 | 24.06 |
| AH-70+5Y+5A | 12.60 | 9.03 | 3.57 | 25.2 |
| Sample | AH-70+5Y | AH-70+5Y+1A | AH-70+5Y+3A | AH-70+5Y+5A |
|---|---|---|---|---|
| ZSV of original sample | 893.24 | 949.4 | 1108.2 | 1291.8 |
| ZSV after TFOT | 1220.8 | 1225.6 | 1636.3 | 1854.8 |
| ZSVAI | 0.367 | 0.291 | 0.476 | 0.436 |
| Sample | AH-70+5Y | AH-70+5Y+1A | AH-70+5Y+3A | AH-70+5Y+5A |
|---|---|---|---|---|
| ZSV after TFOT | 1220.8 | 1225.6 | 1636.3 | 1854.8 |
| ZSV after PAV | 9062.3 | 10100 | 7252.5 | 6887.7 |
| ZSVAI | 6.423 | 7.241 | 3.432 | 2.713 |
| Sample | AH-70+5Y | AH-70+5Y+1A | AH-70+5Y+3A | AH-70+5Y+5A |
|---|---|---|---|---|
| Critical temperature | 21.6 | 22.3 | 20.9 | 22.0 |
Publisher’s Note: MDPI stays neutral with regard to jurisdictional claims in published maps and institutional affiliations. |
© 2021 by the authors. Licensee MDPI, Basel, Switzerland. This article is an open access article distributed under the terms and conditions of the Creative Commons Attribution (CC BY) license (http://creativecommons.org/licenses/by/4.0/).
Share and Cite
Liu, S.; Gao, Y.; Jin, J.; Chen, H.; Liu, X.; Liu, R.; Guan, Q.; Wu, Y.; Long, H.; Qian, G. Synergy Effect of Nano-Organic Palygorskite on the Properties of Star-Shaped SBS-Modified Asphalt. Polymers 2021, 13, 863. https://doi.org/10.3390/polym13060863
Liu S, Gao Y, Jin J, Chen H, Liu X, Liu R, Guan Q, Wu Y, Long H, Qian G. Synergy Effect of Nano-Organic Palygorskite on the Properties of Star-Shaped SBS-Modified Asphalt. Polymers. 2021; 13(6):863. https://doi.org/10.3390/polym13060863
Chicago/Turabian StyleLiu, Shuai, Yuchao Gao, Jiao Jin, Huiwen Chen, Xinyu Liu, Ruohua Liu, Qingjun Guan, Yinrui Wu, Huaqiang Long, and Guoping Qian. 2021. "Synergy Effect of Nano-Organic Palygorskite on the Properties of Star-Shaped SBS-Modified Asphalt" Polymers 13, no. 6: 863. https://doi.org/10.3390/polym13060863
APA StyleLiu, S., Gao, Y., Jin, J., Chen, H., Liu, X., Liu, R., Guan, Q., Wu, Y., Long, H., & Qian, G. (2021). Synergy Effect of Nano-Organic Palygorskite on the Properties of Star-Shaped SBS-Modified Asphalt. Polymers, 13(6), 863. https://doi.org/10.3390/polym13060863

