Dual-Functional Iron Oxide Nanoparticles Coated with Polyvinyl Alcohol/5-Fluorouracil/Zinc-Aluminium-Layered Double Hydroxide for a Simultaneous Drug and Target Delivery System
Abstract
1. Introduction
2. Materials and Methods
2.1. Materials
2.2. The Provision of Samples
2.3. Characterization
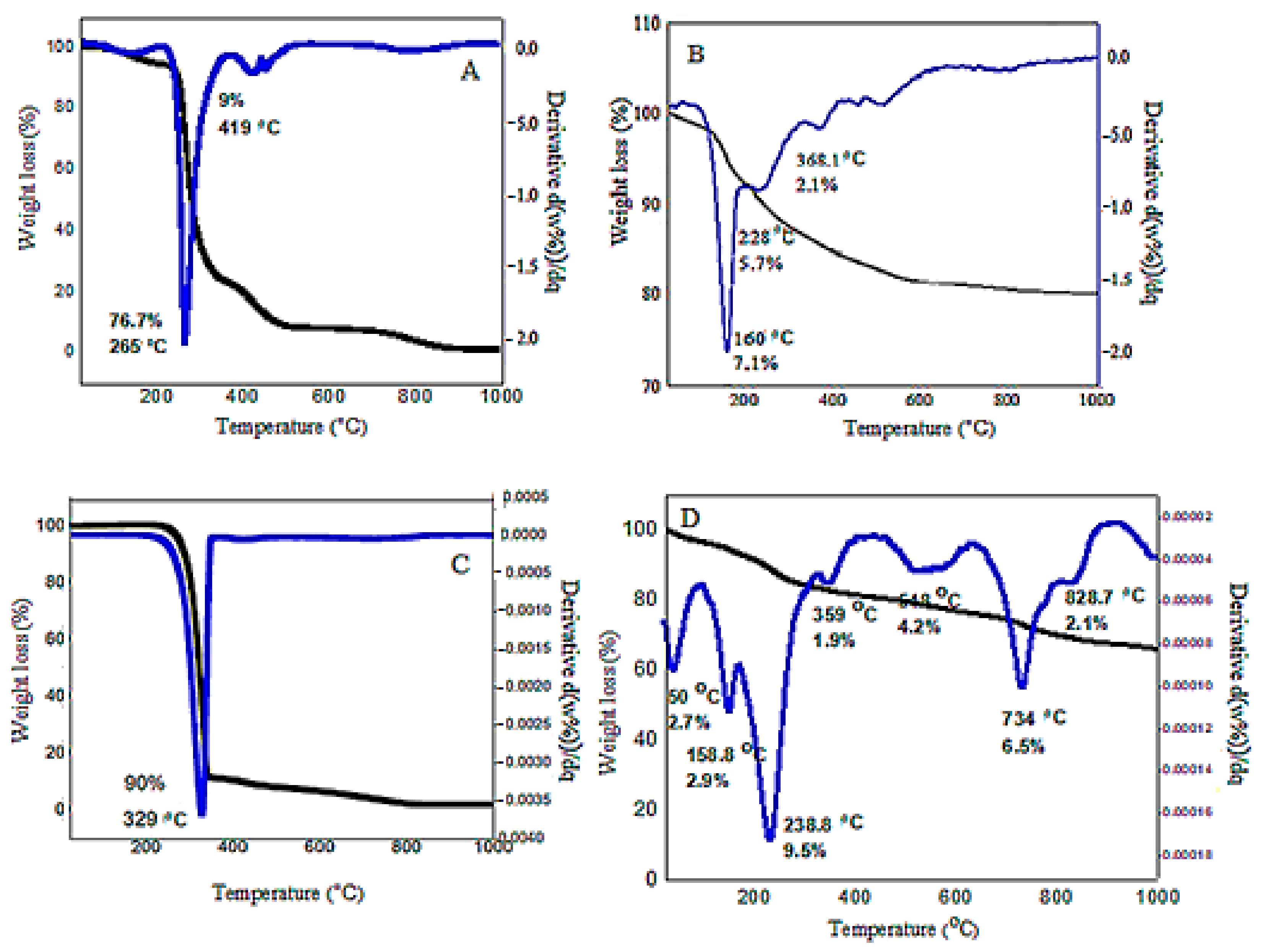
3. Results and Discussion
3.1. X-ray Diffraction
3.2. Fourier Transform Infrared Spectroscopy Spectra
3.3. Thermal Analysis
3.4. Magnetic Properties Evaluation
3.5. Surface Morphology
3.6. HRTEM of the Sample
3.7. Elemental Analyses
3.8. In Vitro Release of 5-Fluorouracil from the Magnetic Nanoparticles
3.9. Release Kinetics of 5-Fluorouracil from the Magnetic Nanoparticles
3.10. In Vitro Bioassay
3.10.1. Cytotoxicity Studies on Normal 3T3 Fibroblast Cells
3.10.2. Anticancer Action against Liver Cancer Cells (HepG2)
4. Conclusions
Author Contributions
Funding
Data Availability Statement
Conflicts of Interest
References
- Jeevanandam, J.; Barhoum, A.; Chan, Y.S.; Dufresne, A.; Danquah, M.K. Review on nanoparticles and nanostructured materials: History, sources, toxicity and regulations. Beilstein J. Nanotechnol. 2018, 9, 1050–1074. [Google Scholar] [CrossRef]
- Buckton, K.E.; Jacobs, P.A.; Brown, W.M.C.; Doll, R.; Buckton, P.A.J.K.E. Cancer Subjects and Abnormal Cell Division. Nat. Cell Biol. 1962, 193, 591. [Google Scholar] [CrossRef]
- Singh, A.; Sahoo, S.K. Magnetic nanoparticles: A novel platform for cancer theranostics. Drug Discov. Today 2014, 19, 474–481. [Google Scholar] [CrossRef] [PubMed]
- Sun, R.; Liu, Y.; Li, S.-Y.; Shen, S.; Du, X.-J.; Xu, C.-F.; Cao, Z.-T.; Bao, Y.; Zhu, Y.-H.; Li, Y.-P.; et al. Co-delivery of all-trans-retinoic acid and doxorubicin for cancer therapy with synergistic inhibition of cancer stem cells. Biomaterials 2015, 37, 405–414. [Google Scholar] [CrossRef]
- Snyder, H. Literature review as a research methodology: An overview and guidelines. J. Bus. Res. 2019, 104, 333–339. [Google Scholar] [CrossRef]
- Aguilar, Z.P. Nanomaterials for Medical Applications; Elsevier: Amsterdam, The Netherlands, 2013. [Google Scholar]
- Singh, A.P.; Biswas, A.; Shukla, A.; Maiti, P. Targeted therapy in chronic diseases using nanomaterial-based drug delivery vehicles. Signal Transduct. Target. Ther. 2019, 4, 1–21. [Google Scholar] [CrossRef] [PubMed]
- Patra, J.K.; Das, G.; Fraceto, L.F.; Campos, E.V.R.; del Pilar Rodriguez-Torres, M.; Acosta-Torres, L.S.; Diaz-Torres, L.A.; Grillo, R.; Swamy, M.K.; Sharma, S.; et al. Nano based drug delivery systems: Recent developments and future prospects. J. Nanobiotechnol. 2018, 16, 71. [Google Scholar] [CrossRef] [PubMed]
- Varadan, V.K.; Chen, L.; Xie, J. Nanomedicine: Design and Applications of Magnetic Nanomaterials, Nanosensors and Nanosystems; John Wiley & Sons: Hoboken, NJ, USA, 2008. [Google Scholar]
- Manchanda, S.; Das, N.; Chandra, A.; Bandyopadhyay, S.; Chaurasia, S. Fabrication of advanced parenteral drug-delivery systems. In Drug Delivery Systems; Elsevier: Amsterdam, The Netherlands, 2020; pp. 47–84. [Google Scholar]
- Li, M.; Zhao, G.; Su, W.-K.; Shuai, Q. Enzyme-Responsive Nanoparticles for Anti-tumor Drug Delivery. Front. Chem. 2020, 8, 647. [Google Scholar] [CrossRef]
- Sahilhusen, I.; Mukesh, R.; Alpesh, D. Sustained release drug delivery systems: A patent overview. Aperito J. Drug Des. Pharmacol. 2014, 1, 1–14. [Google Scholar]
- Tamargo, J.; Le Heuzey, J.-Y.; Mabo, P. Narrow therapeutic index drugs: A clinical pharmacological consideration to flecainide. Eur. J. Clin. Pharmacol. 2015, 71, 549–567. [Google Scholar] [CrossRef]
- Lim, K.; Hamid, Z.A. Polymer nanoparticle carriers in drug delivery systems: Research trend. In Applications of Nanocomposite Materials in Drug Delivery; Elsevier: Amsterdam, The Netherlands, 2018; pp. 217–237. [Google Scholar]
- Du, Y.; Chen, B. Combination of drugs and carriers in drug delivery technology and its development. Drug Des. Dev. Ther. 2019, 13, 1401–1408. [Google Scholar] [CrossRef] [PubMed]
- Sahoo, S.K.; Jain, T.K.; Reddy, M.K.; Labhasetwar, V. Nano-Sized Carriers for Drug Delivery. In NanoBioTechnology; Springer: Berlin/Heidelberg, Germany, 2008; pp. 329–348. [Google Scholar]
- Ali, I.; Lone, M.N.; Suhail, M.; Mukhtar, S.D.; Asnin, L. Advances in Nanocarriers for Anticancer Drugs Delivery. Curr. Med. Chem. 2016, 23, 2159–2187. [Google Scholar] [CrossRef] [PubMed]
- Hossen, S.; Hossain, M.K.; Basher, M.; Mia, M.; Rahman, M.; Uddin, M.J. Smart nanocarrier-based drug delivery systems for cancer therapy and toxicity studies: A review. J. Adv. Res. 2019, 15, 1–18. [Google Scholar] [CrossRef] [PubMed]
- Senapati, S.; Mahanta, A.K.; Kumar, S.; Maiti, P. Controlled drug delivery vehicles for cancer treatment and their performance. Signal Transduct. Target. Ther. 2018, 3, 7. [Google Scholar] [CrossRef]
- Din, F.U.; Aman, W.; Ullah, I.; Qureshi, O.S.; Mustapha, O.; Shafique, S.; Zeb, A. Effective use of nanocarriers as drug delivery systems for the treatment of selected tumors. Int. J. Nanomed. 2017, 12, 7291–7309. [Google Scholar] [CrossRef] [PubMed]
- Lee, J.H.; Yeo, Y. Controlled drug release from pharmaceutical nanocarriers. Chem. Eng. Sci. 2015, 125, 75–84. [Google Scholar] [CrossRef]
- Son, G.-H.; Lee, B.-J.; Cho, C.-W. Mechanisms of drug release from advanced drug formulations such as polymeric-based drug-delivery systems and lipid nanoparticles. J. Pharm. Investig. 2017, 47, 287–296. [Google Scholar] [CrossRef]
- Sklute, E.C.; Kashyap, S.; Dyar, M.D.; Holden, J.F.; Tague, T.; Wang, P.; Jaret, S.J. Spectral and morphological characteristics of synthetic nanophase iron (oxyhydr)oxides. Phys. Chem. Miner. 2017, 45, 1–26. [Google Scholar] [CrossRef] [PubMed]
- Ebadi, M.; Saifullah, B.; Buskaran, K.; Hussein, M.Z.; Fakurazi, S.; Bullo, S. Synthesis and properties of magnetic nanotheranostics coated with polyethylene glycol/5-fluorouracil/layered double hydroxide. Int. J. Nanomed. 2019, 14, 6661–6678. [Google Scholar] [CrossRef]
- Ricciardi, R.; Auriemma, F.; De Rosa, C.; Lauprêtre, F. X-ray Diffraction Analysis of Poly(vinyl alcohol) Hydrogels, Obtained by Freezing and Thawing Techniques. Macromolecules 2004, 37, 1921–1927. [Google Scholar] [CrossRef]
- Tummala, S.; Kumar, M.S.; Prakash, A. Formulation and characterization of 5-Fluorouracil enteric coated nanoparticles for sustained and localized release in treating colorectal cancer. Saudi Pharm. J. 2015, 23, 308–314. [Google Scholar] [CrossRef]
- Wu, J.-B.; Lin, M.-L.; Cong, X.; Liu, H.-N.; Tan, P.-H. Raman spectroscopy of graphene-based materials and its applications in related devices. Chem. Soc. Rev. 2018, 47, 1822–1873. [Google Scholar] [CrossRef] [PubMed]
- Mohsin, S.M.N.; Hussein, M.Z.; Sarijo, S.H.; Fakurazi, S.; Arulselvan, P.; Taufiq-Yap, Y.H. Nanolayered composite with enhanced ultraviolet ray absorption properties from simultaneous intercalation of sunscreen molecules. Int. J. Nanomed. 2018, 13, 6359–6374. [Google Scholar] [CrossRef]
- Klemkaite, K.; Prosycevas, I.; Taraskevicius, R.; Khinsky, A.; Kareiva, A. Synthesis and characterization of layered double hydroxides with different cations (Mg, Co, Ni, Al), decomposition and reformation of mixed metal oxides to layered structures. Open Chem. 2011, 9, 275–282. [Google Scholar] [CrossRef]
- Ebadi, M.; Buskaran, K.; Saifullah, B.; Fakurazi, S.; Hussein, M.Z. The Impact of Magnesium–Aluminum-Layered Double Hydroxide-Based Polyvinyl Alcohol Coated on Magnetite on the Preparation of Core-Shell Nanoparticles as a Drug Delivery Agent. Int. J. Mol. Sci. 2019, 20, 3764. [Google Scholar] [CrossRef]
- Fuster, H.A.; Wang, X.; Wang, X.; Bukusoglu, E.; Spagnolie, S.E.; Abbott, N.L. Programming van der Waals interactions with complex symmetries into microparticles using liquid crystallinity. Sci. Adv. 2020, 6, eabb1327. [Google Scholar] [CrossRef] [PubMed]
- Lin, Y.; Zhang, K.; Zhang, R.; She, Z.; Tan, R.; Fan, Y.; Li, X. Magnetic nanoparticles applied in targeted therapy and magnetic resonance imaging: Crucial preparation parameters, indispensable pre-treatments, updated research advancements and future perspectives. J. Mater. Chem. B 2020, 8, 5973–5991. [Google Scholar] [CrossRef] [PubMed]
- Yokoyama, T. Nanoparticle Technology Handbook; Elsevier: Amsterdam, The Netherlands, 2012. [Google Scholar]













| Samples | T1–T2 (°C) | Tmax (°C) | Δm (mg) | Weight Loss (%) |
|---|---|---|---|---|
| FPVA-FU-ZLDH | 33–90 | 50 | 0.2 | 2.7 |
| 102–180 | 158 | 0.3 | 2.9 | |
| 180–334 | 238 | 1.0 | 9.5 | |
| 334–409 | 359 | 0.2 | 1.9 | |
| 459–635 | 548 | 0.4 | 4.2 | |
| 635–811 | 734 | 0.6 | 6.5 | |
| 811–908 | 828 | 0.2 | 2.1 |
| Samples | Ms (emu/g) | Mr (emu/g) | Hci (G) |
|---|---|---|---|
| Fe3O4 | 80 | 1.45 | 11.5 |
| FPVAFU-ZLDH | 27 | 2.83 | 7.5 |
| Sample | * C% | * H% | * N% | Zn% | Al% | Fe% |
|---|---|---|---|---|---|---|
| Fe3O4 | 0.02 | 0.54 | 1.02 | - | - | 47.00 |
| ZLDH | - | 2.37 | 4.45 | 6.80 | 5.20 | - |
| 5-FU | 52.90 | 5.01 | 19.84 | - | - | - |
| PVA | 52.05 | 8.68 | 1.00 | - | - | - |
| FPVAFU-ZLDH | 5.9 | 1.64 | 0.32 | 1.80 | 2.50 | 20.80 |
| Sample | * C% | * H% | * N% | Zn% | Al% | Fe% |
|---|---|---|---|---|---|---|
| Fe3O4 | - | 0.54 | 0.07 | - | - | 8.50 |
| ZLDH | - | 2.37 | 0.40 | 0.10 | 0.19 | - |
| 5-FU | 4.40 | 5.00 | 1.40 | - | - | - |
| PVA | 4.30 | 8.60 | 0.07 | - | - | - |
| FPVAFU-ZLDH | 0.49 | 1.60 | 0.02 | 0.02 | 0.10 | 0.30 |
| Sample pH | Saturation Release/% | R2 | Pseudo Second Order Rate Constant (k(mg/min)) | t1/2 | ||
|---|---|---|---|---|---|---|
| Pseudo-First-Order | Pseudo-Second-Order | Parabolic- Diffusion | ||||
| 4.8 | 99.99 | 0.9283 | 0.9999 | 0.7498 | 4.33 × 10−3 | 97 |
| 7.4 | 99.57 | 0.8705 | 0.9987 | 0.5802 | 4.31 × 10−3 | 84 |
| Nanocomposites IC50 (μg/mL) | 3T3 Fibroblast Cells | HepG2 Cells |
|---|---|---|
| Pure Fe3O4 nanoparticles | N.C | N.C |
| FPVA | N.C | N.C |
| FPVA-ZLDH | N.C | N.C |
| 5-FU | N.C | 21.54 |
| FPVAFU-ZLDH | N.C | 11.43 |
Publisher’s Note: MDPI stays neutral with regard to jurisdictional claims in published maps and institutional affiliations. |
© 2021 by the authors. Licensee MDPI, Basel, Switzerland. This article is an open access article distributed under the terms and conditions of the Creative Commons Attribution (CC BY) license (http://creativecommons.org/licenses/by/4.0/).
Share and Cite
Ebadi, M.; Bullo, S.; Buskaran, K.; Hussein, M.Z.; Fakurazi, S.; Pastorin, G. Dual-Functional Iron Oxide Nanoparticles Coated with Polyvinyl Alcohol/5-Fluorouracil/Zinc-Aluminium-Layered Double Hydroxide for a Simultaneous Drug and Target Delivery System. Polymers 2021, 13, 855. https://doi.org/10.3390/polym13060855
Ebadi M, Bullo S, Buskaran K, Hussein MZ, Fakurazi S, Pastorin G. Dual-Functional Iron Oxide Nanoparticles Coated with Polyvinyl Alcohol/5-Fluorouracil/Zinc-Aluminium-Layered Double Hydroxide for a Simultaneous Drug and Target Delivery System. Polymers. 2021; 13(6):855. https://doi.org/10.3390/polym13060855
Chicago/Turabian StyleEbadi, Mona, Saifullah Bullo, Kalaivani Buskaran, Mohd Zobir Hussein, Sharida Fakurazi, and Giorgia Pastorin. 2021. "Dual-Functional Iron Oxide Nanoparticles Coated with Polyvinyl Alcohol/5-Fluorouracil/Zinc-Aluminium-Layered Double Hydroxide for a Simultaneous Drug and Target Delivery System" Polymers 13, no. 6: 855. https://doi.org/10.3390/polym13060855
APA StyleEbadi, M., Bullo, S., Buskaran, K., Hussein, M. Z., Fakurazi, S., & Pastorin, G. (2021). Dual-Functional Iron Oxide Nanoparticles Coated with Polyvinyl Alcohol/5-Fluorouracil/Zinc-Aluminium-Layered Double Hydroxide for a Simultaneous Drug and Target Delivery System. Polymers, 13(6), 855. https://doi.org/10.3390/polym13060855

