Synergistic Effect by Polyethylene Glycol as Interfacial Modifier in Silane-Modified Silica-Reinforced Composites
Abstract
1. Introduction
2. Materials and Methods
2.1. Materials
2.2. Silica Modification
2.3. Compound Preparation and Vulcanization
2.4. Characterizations
2.4.1. ATR–FTIR Spectroscopy
2.4.2. Thermal Gravimetric Analyzer (TGA)
2.4.3. Mooney viscosity
2.4.4. Payne Effect of the Composites
2.4.5. Tensile and Tear Properties
2.4.6. Rebound Resilience
2.4.7. Compression Set
2.4.8. DIN Abrasion
2.4.9. Dynamic Mechanical Analysis on Vulcanizates
2.4.10. Equilibrium Swelling Experiments
2.4.11. Morphological Analysis
3. Results and Discussion
3.1. Characterization of Silica Modified by TESPD and PEG
3.2. Properties of the Unvulcanized Compounds
3.3. Payne Effect of the Composites
3.4. SEM Images of Fracture Surface
3.5. Equilibrium Swelling Experiments
3.6. Physical Mechanical Properties
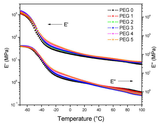
3.7. Dynamic Viscoelastic Properties
4. Conclusions
Supplementary Materials
Author Contributions
Funding
Institutional Review Board Statement
Informed Consent Statement
Data Availability Statement
Conflicts of Interest
References
- Lin, Y.; Liu, S.; Peng, J.; Liu, L. The filler–rubber interface and reinforcement in styrene butadiene rubber composites with graphene/silica hybrids: A quantitative correlation with the constrained region. Compos. Part A Appl. Sci. Manuf. 2016, 86, 19–30. [Google Scholar] [CrossRef]
- Das, S.; Chattopadhyay, S.; Dhanania, S.; Bhowmick, A.K. Reactive grafting of 3-octanoylthio-1-propyltriethoxysilane in styrene butadiene rubber: Characterization and its effect on silica reinforced tire composites. Polymer 2019, 179, 1–15. [Google Scholar] [CrossRef]
- Weng, P.; Tang, Z.; Guo, B. Solving “magic triangle” of tread rubber composites with phosphonium-modified petroleum resin. Polymer 2020, 190, 122244. [Google Scholar] [CrossRef]
- Li, Y.; Han, B.; Liu, L.; Zhang, F.; Zhang, L.; Wen, S.; Lu, Y.; Yang, H.; Shen, J. Surface modification of silica by two-step method and properties of solution styrene butadiene rubber (SSBR) nanocomposites filled with modified silica. Compos. Sci. Technol. 2013, 88, 69–75. [Google Scholar] [CrossRef]
- Liu, X.; Zhao, S.; Zhang, X.; Li, X.; Bai, Y. Preparation, structure, and properties of solution-polymerized styrene-butadiene rubber with functionalized end-groups and its silica-filled composites. Polymer 2014, 55, 1964–1976. [Google Scholar] [CrossRef]
- Wang, D.; Ren, F.; Zhu, C.; Feng, J.; Cheng, Q.; Chen, S.; Shen, G.; Wang, F. Hybrid Silane Technology in Silica-Reinforced Tread Compound. Rubber Chem. Technol. 2019, 92, 310–325. [Google Scholar] [CrossRef]
- Kaewsakul, W.; Sahakaro, K.; Dierkes, W.K.; Noordermeer, J.W.M. Optimization of Mixing Conditions for Silica-Reinforced Natural Rubber Tire Tread Compounds. Rubber Chem. Technol. 2012, 85, 277–294. [Google Scholar] [CrossRef]
- Kapgate, B.P.; Das, C.; Basu, D.; Das, A.; Heinrich, G. Rubber composites based on silane-treated stöber silica and nitrile rubber. J. Elastomers Plast. 2013, 47, 248–261. [Google Scholar] [CrossRef]
- Lin, C.J.; York, W.M.; Cody, R.J. Silanization Characterization and Compound Properties of Silica-Filled Rubber Containing a Blocked Mercapto Silane. Rubber Chem. Technol. 2017, 90, 126–145. [Google Scholar] [CrossRef]
- Gui, Y.; Zheng, J.; Ye, X.; Han, D.; Xi, M.; Zhang, L. Preparation and performance of silica/SBR masterbatches with high silica loading by latex compounding method. Compos. Part B Eng. 2016, 85, 130–139. [Google Scholar] [CrossRef]
- Kim, W.; Yu, E.; Ryu, G.; Kim, D.; Ryu, C.; Seo, Y.; Kim, W. Silica dispersion and properties of silica filled ESBR/BR/NR ternary blend composites by applying wet masterbatch technology. Polym. Test. 2020, 84. [Google Scholar] [CrossRef]
- Jin, J.; Noordermeer, J.W.M.; Dierkes, W.K.; Blume, A. The Effect of Silanization Temperature and Time on the Marching Modulus of Silica-Filled Tire Tread Compounds. Polymer 2020, 12, 209. [Google Scholar] [CrossRef]
- Hassana, A.A.; Wanga, S.; Anwar, F. Physiochemical characterization of soybean oil derived silanized factice and its interaction with styrene butadiene rubber_silica composite. Polym. Test. 2019, 78, 105933. [Google Scholar] [CrossRef]
- Dierkes, W.; Louis, A.; Noordermeer, J.; Blume, A. A Novel Approach of Promoting Adhesion of Reinforcing Cord to Elastomers by Plasma Polymerization. Polymer 2019, 11, 577. [Google Scholar] [CrossRef]
- Tao, Y.-C.; Dong, B.; Zhang, L.-Q.; Wu, Y.-P. Reactions of Silica–Silane Rubber and Properties of Silane–Silica/Solution-Polymerized Styrene–Butadiene Rubber Composite. Rubber Chem. Technol. 2016, 89, 526–539. [Google Scholar] [CrossRef]
- Otegui, J.; Schwartz, G.A.; Cerveny, S.; Colmenero, J. Influence of Water and Filler Content on the Dielectric Response of Silica-Filled Rubber Compounds. Macromolecules 2013, 46, 2407–2416. [Google Scholar] [CrossRef][Green Version]
- Xu, M.; Giese, U.; Obrecht, W.; Frueh, T. Influence of Water on Dynamic Mechanical Properties of Silica Loaded Tire Tread Vulcanizates. Kautsch. Gummi Kunstst. 2017, 4, 47–53. [Google Scholar]
- Hayichelaeh, C.; Reuvekamp, L.; Dierkes, W.K.; Blume, A.; Noordermeer, J.W.M.; Sahakaro, K. Enhancing the Silanization Reaction of the Silica-Silane System by Different Amines in Model and Practical Silica-Filled Natural Rubber Compounds. Polymer 2018, 10, 584. [Google Scholar] [CrossRef] [PubMed]
- Xiao, Y.; Zou, H.; Zhang, L.; Ye, X.; Han, D. Surface modification of silica nanoparticles by a polyoxyethylene sorbitan and silane coupling agent to prepare high-performance rubber composites. Polym. Test. 2020, 81. [Google Scholar] [CrossRef]
- Fathurrohman, M.I.; Rugmai, S.; Hayeemasae, N.; Sahakaro, K. Better Balance of Silica-Reinforced Natural Rubber Tire Tread Compound Properties by the Use of Montmorillonite with Optimum Surface Modifier Content. Rubber Chem. Technol. 2020. [Google Scholar] [CrossRef]
- Weng, P.; Tang, Z.; Guo, B. Effects of Alkalinity of Ionic Liquid on Catalyzed Silanization in Rubber/Silica Composites. Ind. Eng. Chem. Res. 2019, 58, 18654–18662. [Google Scholar] [CrossRef]
- Jong, L. Improved mechanical properties of silica reinforced rubber with natural polymer. Polym. Test. 2019, 79. [Google Scholar] [CrossRef]
- Hussain, M.; Yasin, S.; Adnan Akram, M.; Xu, H.; Song, Y.; Zheng, Q. Influence of Ionic Liquids on Structure and Rheological Behaviors of Silica-Filled Butadiene Rubber. Ind. Eng. Chem. Res. 2019, 58, 18205–18212. [Google Scholar] [CrossRef]
- Björkegren, S.; Nordstierna, L.; Sundblom, A.; Palmqvist, A. Clouding observed for surface active, mPEG-grafted silica nanoparticles. Rsc Adv. 2019, 9, 13297–13303. [Google Scholar] [CrossRef]
- Akbaria, A.; Yegania, R.; Pourabbas, B. Synthesis of poly(ethylene glycol) (PEG) grafted silica nanoparticles with a minimum adhesion of proteins via one-pot one-step method. Colloids Surf. A Physicochem. Eng. Asp. 2015, 484, 206–215. [Google Scholar] [CrossRef]
- Baione, F.; Nanni, M.N.; Sala, F. Tire with Controlled Resistance to The Formation of Surface Defects. Patent EP2424738B1, 2 April 2014. [Google Scholar]
- PerkinElmer. Tg and Melting Point of a Series of Polyethylene Glycols Using the Material Pocket. Available online: https://www.perkinelmer.com/lab-solutions/resources/docs/APP_TgandMeltofPolyethylene.pdf (accessed on 27 October 2016).
- Flory, P.J. Thermodynamics of High Polymer Solutions. J. Chem. Phys. 1942, 10, 51–61. [Google Scholar] [CrossRef]
- Zheng, J.; Ye, X.; Han, D.; Zhao, S.; Wu, X.; Wu, Y.; Dong, D.; Wang, Y.; Zhang, L. Silica Modified by Alcohol Polyoxyethylene Ether and Silane Coupling Agent Together to Achieve High Performance Rubber Composites Using the Latex Compounding Method. Polymers 2017, 10, 1. [Google Scholar] [CrossRef]
- Vilmin, F.; Bottero, I.; Travert, A.; Malicki, N.; Gaboriaud, F.; Trivella, A.l.; Thibault-Starzyk, F.d.r. Reactivity of Bis[3-(triethoxysilyl)propyl] Tetrasulfide (TESPT) Silane Coupling Agent over Hydrated Silica Operando IR Spectroscopy and Chemometrics Study. J. Phys. Chem. C 2014, 118, 4056–4071. [Google Scholar] [CrossRef]
- Wang, X.; Wu, L.; Yu, H.; Xiao, T.; Li, H.; Yang, J. Modified silica-based isoprene rubber composite by a multi-functional silane_ Preparation and its mechanical and dynamic mechanical properties. Polym. Test. 2020, 91, 106840. [Google Scholar] [CrossRef]
- Dondi, D.; Buttafava, A.; Zeffiro, A.; Bracco, S.; Sozzani, P.; Faucitano, A. Reaction mechanisms in irradiated, precipitated, and mesoporous silica. J. Phys. Chem. A 2013, 117, 3304–3318. [Google Scholar] [CrossRef]
- Hassan, A.A.; Formela, K.; Wang, S. Reclaimed Rubber in Situ Grafted with Soybean Oil as a Novel Green Reactive Plasticizer in SBR/Silica Compounds. ACS Sustain. Chem. Eng. 2019, 7, 14991–15001. [Google Scholar] [CrossRef]
- Hassan, A.A.; Formela, K.; Wang, S. Enhanced interfacial and mechanical performance of styrene-butadiene rubber/silica composites compatibilized by soybean oil derived silanized plasticization. Compos. Sci. Technol. 2020, 197, 108271. [Google Scholar] [CrossRef]
- Liu, C.; Guo, M.; Zhai, X.; Ye, X.; Zhang, L. Using Epoxidized Solution Polymerized Styrene-Butadiene Rubbers (ESSBRs) as Coupling Agents to Modify Silica without Volatile Organic Compounds. Polymer 2020, 12, 1257. [Google Scholar] [CrossRef]
- El-Roz, M.; Blume, A.; Thibault-Starzyk, F. Infrared Study of the Silica/Silane Reaction. Kautsch. Gummi Kunstst. 2013, 10, 63–70. [Google Scholar]
- Sattayanurak, S.; Sahakaro, K.; Kaewsakul, W.; Dierkes, W.K.; Reuvekamp, L.A.E.M.; Blume, A.; Noordermeer, J.W.M. Synergistic effect by high specific surface area carbon black as secondary filler in silica reinforced natural rubber tire tread compounds. Polym. Test. 2020, 81. [Google Scholar] [CrossRef]
- Meera, A.P.; Said, S.; Grohens, Y.; Thomas, S. Nonlinear Viscoelastic Behavior of Silica-Filled Natural Rubber Nanocomposites. J. Phys. Chem. C 2009, 113, 17997–18002. [Google Scholar] [CrossRef]
- Sun, C.; Wen, S.; Ma, H.; Li, Y.; Chen, L.; Wang, Z.; Yuan, B.; Liu, L. Improvement of Silica Dispersion in Solution Polymerized Styrene–Butadiene Rubber via Introducing Amino Functional Groups. Ind. Eng. Chem. Res. 2019, 58, 1454–1461. [Google Scholar] [CrossRef]
- Ji, H.; Yang, H.; Li, L.; Zhou, X.; Yin, L.; Zhang, L.; Wang, R. Preparation and Performance of Silica/ESBR Nanocomposites Modified by Bio-Based Dibutyl Itaconate. Polymer 2019, 11, 1820. [Google Scholar] [CrossRef] [PubMed]
- Sahu, P.; Sarkar, P.; Bhowmick, A.K. Design of a Molecular Architecture via a Green Route for an Improved Silica Reinforced Nanocomposite using Bioresources. ACS Sustain. Chem. Eng. 2018, 6, 6599–6611. [Google Scholar] [CrossRef]
- Kim, I.J.; Kim, D.; Ahn, B.; Lee, H.J.; Kim, H.J.; Kim, W. Vulcanizate Structures of SBR Compounds with Silica and Carbon Black Binary Filler Systems at Different Curing Temperatures. Polymer 2020, 12, 2343. [Google Scholar] [CrossRef]














| Materials | PEG 0-S | PEG 1-S | PEG 2-S | PEG 3-S | PEG 4-S | PEG 5-S |
|---|---|---|---|---|---|---|
| Silica (g) | 80 | 80 | 80 | 80 | 80 | 80 |
| TESPD (g) | 6.4 | 6.4 | 6.4 | 6.4 | 6.4 | 6.4 |
| PEG 400 (g) | 0 | 1 | 2 | 3 | 4 | 5 |
| Materials | PEG 0 | PEG 1 | PEG 2 | PEG 3 | PEG 4 | PEG 5 |
|---|---|---|---|---|---|---|
| SBR | 80 | 80 | 80 | 80 | 80 | 80 |
| BR | 20 | 20 | 20 | 20 | 20 | 20 |
| Silica | 80 | 80 | 80 | 80 | 80 | 80 |
| TESPD | 6.4 | 6.4 | 6.4 | 6.4 | 6.4 | 6.4 |
| Naphthenic oil | 10 | 10 | 10 | 10 | 10 | 10 |
| PEG | 0 | 1 | 2 | 3 | 4 | 5 |
| Stearic acid | 2 | 2 | 2 | 2 | 2 | 2 |
| Zinc oxide | 3 | 3 | 3 | 3 | 3 | 3 |
| Vulkanox® 4020 | 2 | 2 | 2 | 2 | 2 | 2 |
| Antilux® 500 | 1 | 1 | 1 | 1 | 1 | 1 |
| CBS | 1.6 | 1.6 | 1.6 | 1.6 | 1.6 | 1.6 |
| DPG | 1.5 | 1.5 | 1.5 | 1.5 | 1.5 | 1.5 |
| Sulfur | 2.0 | 2.0 | 2.0 | 2.0 | 2.0 | 2.0 |
| Weight Loss/% | PEG 0-S | PEG 1-S | PEG 2-S | PEG 3-S | PEG 4-S | PEG 5-S |
|---|---|---|---|---|---|---|
| 30–110 °C | 1.73 | 1.76 | 1.85 | 1.90 | 2.00 | 2.05 |
| 110–800 °C | 4.03 | 4.07 | 4.11 | 4.39 | 4.94 | 4.91 |
| RI | PEG 0-S | PEG 1-S | PEG 2-S | PEG 3-S | PEG 4-S | PEG 5-S |
|---|---|---|---|---|---|---|
| 3350 cm−1 | 0.152 | 0.118 | 0.101 | 0.080 | 0.074 | 0.087 |
| 1630 cm−1 | 0.787 | 0.028 | 0.029 | 0.029 | 0.023 | 0.025 |
Publisher’s Note: MDPI stays neutral with regard to jurisdictional claims in published maps and institutional affiliations. |
© 2021 by the authors. Licensee MDPI, Basel, Switzerland. This article is an open access article distributed under the terms and conditions of the Creative Commons Attribution (CC BY) license (http://creativecommons.org/licenses/by/4.0/).
Share and Cite
Xu, M.; Xue, H.; Tin, W.Y.; Wang, H.; Yong, Z.; Wang, Q. Synergistic Effect by Polyethylene Glycol as Interfacial Modifier in Silane-Modified Silica-Reinforced Composites. Polymers 2021, 13, 788. https://doi.org/10.3390/polym13050788
Xu M, Xue H, Tin WY, Wang H, Yong Z, Wang Q. Synergistic Effect by Polyethylene Glycol as Interfacial Modifier in Silane-Modified Silica-Reinforced Composites. Polymers. 2021; 13(5):788. https://doi.org/10.3390/polym13050788
Chicago/Turabian StyleXu, Minghan, Hao Xue, Wit Yee Tin, He Wang, Zhanfu Yong, and Qingfu Wang. 2021. "Synergistic Effect by Polyethylene Glycol as Interfacial Modifier in Silane-Modified Silica-Reinforced Composites" Polymers 13, no. 5: 788. https://doi.org/10.3390/polym13050788
APA StyleXu, M., Xue, H., Tin, W. Y., Wang, H., Yong, Z., & Wang, Q. (2021). Synergistic Effect by Polyethylene Glycol as Interfacial Modifier in Silane-Modified Silica-Reinforced Composites. Polymers, 13(5), 788. https://doi.org/10.3390/polym13050788
