Structural Behavior Evaluation of Reinforced Concrete Using the Fiber-Reinforced Polymer Strengthening Method
Abstract
1. Introduction
2. Background of Fiber-Reinforced Polymer (FRP)
2.1. Carbon-Fiber-Reinforced Polymer (CFRP)
2.2. Glass-Fiber-Reinforced Polymer (GFRP)
3. Reinforcement Techniques
3.1. Near-Surface Mounted
3.2. External Prestressing
3.3. External Bonding
3.4. Section Enlargement
4. Test Conditions and Methods
4.1. Concrete Mixture Properties
4.2. Specimen Details
4.3. Flexural Strength Test Setup
5. Test Results
5.1. Comparison Between Crack, Yield, and Ultimate Loads
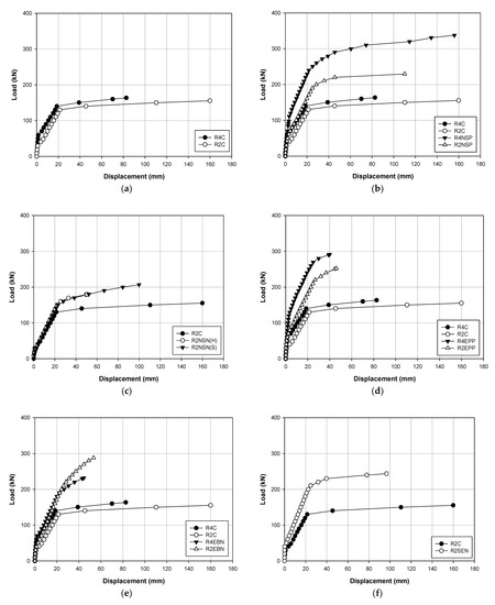
5.2. Load–Displacement Results for Different Strengthening Methods
5.3. Steel Strain
5.4. Concrete Strain
5.5. Suggestion of Design Plans for Each Reinforcement Technique
6. Ductility Evaluation of Reinforced Concrete
6.1. Ductility Theory
6.2. Ductility Evaluation Using Displacement
6.3. Ductility of the Energy Ratio Method
7. Conclusions
- (1)
- The NSM method showed highly similar design and experimental values of the maximum load, whereas the EP, EB, and SE methods showed differences of –60–40% between the design and experimental values. The reason for these differences is that the reinforcement design is not clearly defined in South Korea and the structures did not exhibit their performance properly. This is because the material and structure could not behave in an integral manner due to a construction problem when applying the various methods.
- (2)
- Regarding the stiffness increasing effect, every method showed an improving trend. In particular, in cases involving high concrete strength and action of a prestress force, such as those involving use of the EP and NSM(P) methods, the stiffness almost doubled compared to the non-strengthened specimen. However, the EP and EB methods failed the structure immediately after yielding, whereas the NSM method showed sufficient ductility after yielding.
- (3)
- In the comparison of the load–displacement curve, under the condition of concrete that was subjected to 40 MPa, the maximum load and displacement of the R4NSP specimen were 337.7 kN and 155.98 mm, respectively, which were approximately 106% and 90% higher, respectively, than those of the non-strengthened specimens. In cases involving 20-MPa concrete strength, the R2EBN and R2EPP specimens could sustain greater loads compared to the non-strengthened specimens, but they showed highly brittle behaviors, which indicates that the R2NSP specimen was appropriate. Therefore, by considering the stiffness, maximum load, and maximum displacement in this study, the most efficient strengthening method for the RC structures is NSM.
- (4)
- The strain of the steel bar was 0.002, whereas the compressive failure strain of concrete for the prevention of brittle failure was 0.003. Thus, with respect to the strain of the steel bar, the R4EEP specimen demonstrated the highest yield strength of 270 kN, while R2NSN(S) exhibited the lowest yield strength of 154.2 kN. Furthermore, in the case of concrete, every specimen reached the maximum load before reaching the compressive failure strain of 0.003.
- (5)
- With respect to the ductility evaluation methods, the ductility index based on the deflection and the ductility based on the energy ratio were compared. As a result, the NSM and SE methods had approximately twice or more ductility indices than the EP and EB methods. In addition, NSM and SE also showed excellent ductility. This result confirms that the ductility index based on the deflection and the ductility based on the energy ratio have similar trends.
- (6)
- The most critical advantages of the NSM, EP, EB, and SE methods determined from this study are as follows: the NSM method protects the reinforcement material with the burial effect, the EP method introduces external force, the EB method enables easy construction, and the SE method increases the bending moment due to the rise of the neutral axis. Improvements in actual structural performance by applying these methods can be confirmed.
- (7)
- Accurate designs for the various strengthening methods have not yet been clearly defined. Common problems in construction includes anchorages, the interface between the member and the material, the step difference between the member and anchorage, the integration behavior with the member, and the material properties differ from manufacturer to manufacturer. Therefore, to solve these problems in future studies, more accurate data should be secured and reflected in the design and the actual construction sites. This can be achieved by setting higher strengthening values, considering more strengthening methods, and using a greater number of material parameters from the strengthening companies.
- (8)
- In this study, the experiment was limited to only two types of FRP: CFRP and GFRP. However, in future studies, aramid fibers will be further considered, and comparative analysis will be performed on the same structural method and material-specific experiments. Since all fibers have unique material properties and many factors directly affect the structure such as elastic modulus, more precise research will be required. Additionally, based on the information, it will be possible to reinforce structure economically, safely, and sustainably.
Author Contributions
Funding
Institutional Review Board Statement
Informed Consent Statement
Data Availability Statement
Conflicts of Interest
References
- Shin, H.M.; Lee, J.H. Reinforced Concrete, 11th ed.; Dong Myeong: Paju City, Gyeonggi, Korea, 2013. [Google Scholar]
- Byun, C.H. Improvement in Urban Infrastructure Maintenance and Management; Report No. 2002-R-23; Seoul Development Institute: Seoul, Korea, 2002. (In Korean) [Google Scholar]
- Mehta, P.K.; Paulo, J.M.M. CONCRETE (Microstructure, Properties, and Materials), 3rd ed.; McGraw Hill: New York, NY, USA, 2006. [Google Scholar]
- Sidney, M.; Francis, Y.; David, D. CONCRETE, 2nd ed.; Prentice Hall: Upper Saddle River, NJ, USA, 2003. [Google Scholar]
- Kim, T.K.; Choi, S.J.; Kim, J.H.J.; Chu, Y.S.; Yu, E. Performance based evaluation of carbonation resistance of concrete according to various curing conditions from climate change effect. Int. J. Concr. Struct. Mater. 2017, 11, 687–700. [Google Scholar] [CrossRef]
- Jung, W.T.; Park, J.S.; Kang, J.Y.; Keum, M.S. Flexural behavior of concrete beam strengthened by near-surface mounted CFRP reinforcement using equivalent section model. Adv. Mater. Sci. Eng. 2017, 2017, 9180624. [Google Scholar] [CrossRef]
- Jung, W.T.; Park, J.S.; Kang, J.Y.; Keum, M.S.; Park, Y.H. Flexural behaviour of RC beams strengthened with prestressed CFRP NSM tendon using new prestressing system. Int. J. Polym. Sci. 2017, 2017, 1497349. [Google Scholar] [CrossRef]
- American Concrete Institute (ACI). Guide for the Design and Construction of Externally Bonded FRP Systems for Strengthening Concrete Structures; ACI 440. 2R-17; American Concrete Institute (ACI): Farmington Hills, MI, USA, 2017. [Google Scholar]
- Lee, H.; Jung, W.T.; Chung, W. Post-tension near-surface mounted strengthening system for reinforced concrete beams with changes in concrete condition. Compos. Part B Eng. 2019, 161, 514–529. [Google Scholar] [CrossRef]
- Coelho, M.R.; Sena-Cruz, J.M.; Neves, L.A. A review on the bond behavior of FRP NSM systems in concrete. Constr. Build. Mater. 2015, 93, 1157–1169. [Google Scholar] [CrossRef]
- Bilotta, A.; Ceroni, F.; Nigro, E.; Pecce, M. Efficiency of CFRP NSM strips and EBR plates for flexural strengthening of RC beams and loading pattern influence. Compos. Struct. 2015, 124, 163–175. [Google Scholar] [CrossRef]
- Jumaat, M.Z.; Shukri, A.A.; Obaydullah, M.; Huda, M.; Hosen, M.; Hoque, N. Strengthening of RC beams using externally bonded reinforcement combined with near-surface mounted technique. Polymers 2016, 8, 261. [Google Scholar] [CrossRef]
- Herbrand, M.; Classen, M. Shear tests on continuous prestressed concrete beams with external prestressing. Struct. Concr. 2015, 16, 428–437. [Google Scholar] [CrossRef]
- Wang, X.; Shi, J.; Wu, G.; Yang, L.; Wu, Z. Effectiveness of basalt FRP tendons for strengthening of RC beams through the external prestressing technique. Eng. Struct. 2015, 101, 34–44. [Google Scholar] [CrossRef]
- Pisani, M.A. Behaviour under long-term loading of externally prestressed concrete beams. Eng. Struct. 2018, 160, 24–33. [Google Scholar] [CrossRef]
- Mostofinejad, D.; Moghaddas, A. Bond efficiency of EBR and EBROG methods in different flexural failure mechanisms of FRP strengthened RC beams. Constr. Build. Mater. 2014, 54, 605–614. [Google Scholar] [CrossRef]
- Sobuz, H.R.; Ahmed, E.; Sutan, N.M.; Hasan, N.M.S.; Uddin, M.A.; Uddin, M.J. Bending and time-dependent responses of RC beams strengthened with bonded carbon fiber composite laminates. Constr. Build. Mater. 2012, 29, 597–611. [Google Scholar] [CrossRef]
- Yi, S.T.; Lee, C.Y. Flexural behavior of hybrid fiber reinforcement strengthened RC beams. J. Korea Inst. Struct. Maint. Insp. 2010, 14, 79–86. (In Korean) [Google Scholar]
- Kim, Y.I.; Jo, B.H.; Hong, S.H. An Experiment on Anchorage and Usefullness of Expanded Steel-Plate Nets of RC Beams Strengthened by Increasing Section. J. Archit. Inst. Korea Struct. Constr. 2008, 8, 65–74. (In Korean) [Google Scholar]
- Lee, H.Y.; Jung, W.T.; Chung, W. Flexural strengthening of reinforced concrete beams with pre-stressed near surface mounted CFRP systems. Compos. Struct. 2017, 163, 1–12. [Google Scholar] [CrossRef]
- Barros, J.A.; Dias, S.J.; Lima, J.L. Efficacy of CFRP-based techniques for the flexural and shear strengthening of concrete beams. Cem. Concr. Compos. 2007, 29, 203–217. [Google Scholar] [CrossRef]
- Fan, Y.; Chen, L.; Fang, Q.; Wang, T. Blast resistance of externally prestressed RC Beam: A theoretical approach. Eng. Struct. 2019, 179, 211–224. [Google Scholar] [CrossRef]
- Chen, W.; Pham, T.M.; Sichembe, H.; Chen, L.; Hao, H. Experimental study of flexural behaviour of RC beams strengthened by longitudinal and U-shaped basalt FRP sheet. Compos. B Eng. 2018, 134, 114–126. [Google Scholar] [CrossRef]
- Li, Y.Y.; Guo, B.; Liu, J. Research on reinforced concrete beam enlarged cross section method experiment and finite element simulation. Appl. Mech. Mater. 2014, 638, 208–213. [Google Scholar] [CrossRef]
- Soutis, C. Fibre reinforced composites in aircraft construction. Prog. Aerosp. Sci. 2005, 41, 143–151. [Google Scholar] [CrossRef]
- Scribante, A.; Vallittu, P.K.; Özcan, M. Fiber-reinforced composites for dental applications. Biomed. Res. Int. 2018, 2018, 4734986. [Google Scholar] [CrossRef]
- Bachtiar, E.V.; Kurkowiak, K.; Yan, L.; Kasal, B.; Kolb, T. Thermal stability, fire performance, and mechanical properties of natural fibre fabric-reinforced polymer composites with different fire retardants. Polymers 2019, 11, 699. [Google Scholar] [CrossRef] [PubMed]
- Xiao, B.; Huang, Q.; Chen, H.; Chen, X.; Long, G. A fractal model for capillary flow through a single tortuous capillary with roughened surfaces in fibrous porous media. Fractals 2021, 29, 2150017. [Google Scholar] [CrossRef]
- Liang, M.; Fu, C.; Xiao, B.; Luo, L.; Wang, Z. A fractal study for the effective electrolyte diffusion through charged porous media. Int. J. Heat Mass Transf. 2019, 137, 365–371. [Google Scholar] [CrossRef]
- You, Y.J.; Kim, J.H.J.; Kim, S.J.; Park, Y.H. Methods to enhance the guaranteed tensile strength of GFRP rebar to 900 MPa with general fiber volume fraction. Constr. Build. Mater. 2015, 75, 54–62. [Google Scholar] [CrossRef]
- Bakis, C.E.; Bank, L.C.; Brown, V.; Cosenza, E.; Davalos, J.F.; Lesko, J.J.; Triantafillou, T.C. Fiber-reinforced polymer composites for construction—State-of-the-art review. J. Compos. Constr. 2002, 6, 73–87. [Google Scholar] [CrossRef]
- Saeed, Y.M. Behavior of Prestressed Concrete Beams with CFRP Strands. Master’s Thesis, Portland State University, Portland, OR, USA, 2016. [Google Scholar]
- Jo, B.W. Ductility Evaluation of Prestressed Concrete Beams with CFRP Tendon. KSCE 2001, 2, 186–194. (In Korean) [Google Scholar] [CrossRef]
- Kim, J.W.; Kim, T.W.; Hong, S.N.; Park, S.K. Evaluation of Behavior and Ductility of Reinforced Concrete Beams Strengthened With AFRP. J. Korea Inst. Struct. Maint. Insp. 2009, 13, 206–214. (In Korean) [Google Scholar]
- Kim, Y.J.; Shi, C.; Green, M.F. Ductility and cracking behavior of prestressed concrete beams strengthened with prestressed CFRP sheets. J. Compos. Constr. 2008, 12, 274–283. [Google Scholar] [CrossRef]
- Zhao, X.L.; Zhang, L. State-of-the-art review on FRP strengthened steel structures. Eng. Struct. 2007, 29, 1808–1823. [Google Scholar] [CrossRef]
- Hollaway, L.C. A review of the present and future utilisation of FRP composites in the civil infrastructure with reference to their important in-service properties. Constr. Build. Mater. 2010, 24, 2419–2445. [Google Scholar] [CrossRef]
- Korea Concrete Institute (KCI). Standard Concrete Specification and Commentary; Korea Concrete Institute (KCI): Seoul, Korea, 2009. [Google Scholar]













| Unit Weight (kg/m3) | Compressive Strength (MPa) | ||||||
|---|---|---|---|---|---|---|---|
| CE | W | C | F | FA | GGBS | AE | |
| 265 | 162 | 905 | 954 | 30 | - | 2.3 | 20 |
| 258 | 151 | 1039 | 626 | 77 | 180 | 5.3 | 40 |
| Specimens | Strengthening Methods | Strengthening Material | Strengthening Amount (EA) |
|---|---|---|---|
| R4C | - | - | - |
| R2C | - | - | - |
| R4NSP | Near Surface Mounted | CFRP | 1 |
| R2NSP | Near Surface Mounted | CFRP | 1 |
| R2NSN(H) | Near Surface Mounted | CFRP | 1 |
| R4NSN(S) | Near Surface Mounted | CFRP | 1 |
| R4EPP | External Prestressing | Strand | 2 |
| R2EPP | External Prestressing | Strand | 2 |
| R4EBN | External Bonding | CFRP Sheet | 2 |
| R2EBN | External Bonding | CFRP Sheet | 2 |
| R2SEN | Section Enlargement | GFRP bar | 6 |
| Material Property | Steel Bar | CFRP Bar | PS Strands |
|---|---|---|---|
| Young’s Modulus (GPa) | 200 | 165 | 200 |
| Yield Stress (MPa) | 400 | - | 1597.9 |
| Ultimate Stress (MPa) | 560 | 2750 | 1880.7 |
| Specimens | (kN) | (kN) | (kN) | |||
|---|---|---|---|---|---|---|
| Analytical | Experimental | Analytical | Experimental | Analytical | Experimental | |
| R4C | 55.8 | 57.7 | 116.7 | 143.1 | 128.8 | 163.5 |
| R2C | 33.4 | 31.2 | 115.7 | 134.4 | 118.9 | 155.4 |
| R4NSP | 119.8 | 110.0 | 231.6 | 256.4 | 338.0 | 337.7 |
| R2NSP | 65.4 | 57.1 | 172.3 | 200.1 | 222.0 | 229.5 |
| R2NSN(H) | 33.4 | 23.6 | 121.7 | 158.8 | 192.0 | 180.1 |
| R2NSN(S) | 33.4 | 22.8 | 121.3 | 154.2 | 193.0 | 206.9 |
| R4EPP | 117.2 | 128.9 | 247.5 | 270.0 | 205.7 | 291.4 |
| R2EPP | 57.8 | 58.9 | 199.2 | 214.3 | 200.2 | 252.5 |
| R4EBN | 55.8 | 69.5 | 158.3 | 194.6 | 695.5 | 232.0 |
| R2EBN | 33.4 | 37.2 | 156.8 | 216.4 | 516.9 | 287.7 |
| R2SEN | 33.4 | 39.1 | 170.1 | 210.1 | 376.3 | 243.9 |
| Specimens | ||||||
|---|---|---|---|---|---|---|
| Load (kN) | Displacement (mm) | Load (kN) | Displacement (mm) | Load (kN) | Displacement (mm) | |
| R4C | 57.7 | 1.35 | 143.1 | 18.85 | 163.5 | 82.68 |
| R2C | 31.2 | 1.2 | 134.4 | 21.84 | 155.4 | 159.87 |
| R4NSP | 110.0 | 3.55 | 256.4 | 27.97 | 337.7 | 155.98 |
| R2NSP | 57.1 | 3.04 | 200.1 | 28.44 | 229.5 | 110.16 |
| R2NSN(H) | 23.6 | 1.42 | 158.8 | 25.01 | 180.1 | 50.61 |
| R2NSN(S) | 22.8 | 1.87 | 154.2 | 25.11 | 206.9 | 99.84 |
| R4EPP | 128.9 | 3.54 | 270.0 | 24.94 | 291.4 | 39.93 |
| R2EPP | 58.9 | 1.37 | 214.3 | 25.72 | 252.5 | 46.05 |
| R4EBN | 69.5 | 1.70 | 194.6 | 24.41 | 232.0 | 44.49 |
| R2EBN | 37.2 | 1.38 | 216.4 | 27.87 | 287.7 | 53.40 |
| R2SEN | 39.1 | 0.05 | 210.1 | 24.15 | 243.9 | 96.63 |
| Specimens | Ductility Index | ||||
|---|---|---|---|---|---|
| Load (kN) | Displacement (mm) | Load kN) | Displacement (mm) | ||
| R4C | 143.1 | 18.85 | 163.5 | 82.68 | 4.39 |
| R2C | 134.4 | 21.84 | 155.4 | 159.87 | 7.32 |
| R4NSP | 256.4 | 27.97 | 337.7 | 155.98 | 5.58 |
| R2NSP | 200.1 | 28.44 | 229.5 | 110.16 | 3.87 |
| R2NSN(H) | 158.8 | 25.01 | 180.1 | 50.61 | 2.02 |
| R2NSN(S) | 154.2 | 25.11 | 206.9 | 99.84 | 3.98 |
| R4EPP | 270.0 | 24.94 | 291.4 | 39.93 | 1.60 |
| R2EPP | 214.3 | 25.72 | 252.5 | 46.05 | 1.79 |
| R4EBN | 194.6 | 24.41 | 232.0 | 44.49 | 1.82 |
| R2EBN | 216.4 | 27.87 | 287.7 | 53.40 | 1.92 |
| R2SEN | 210.1 | 24.15 | 243.9 | 96.63 | 4.00 |
| Specimens | Ductility Index | Energy | Analysis | |||
|---|---|---|---|---|---|---|
| Total | Elastic | Inelastic | Rate | |||
| R4C | 4.39 | 11,581.09 | 756.33 | 10,824.75 | 93.47 | Ductile |
| R2C | 7.32 | 21,728.26 | 1410.40 | 20,317.86 | 93.51 | Ductile |
| R4NSP | 5.58 | 42,694.36 | 4439.12 | 38,255.24 | 89.60 | Ductile |
| R2NSP | 3.87 | 20,906.69 | 3200.95 | 17,705.73 | 84.69 | Ductile |
| R2NSN(H) | 2.02 | 6506.08 | 2465.26 | 4040.83 | 62.11 | Brittle |
| R4NSN(S) | 3.98 | 15,570.56 | 4185.30 | 11,385.26 | 73.12 | Semi-Ductile |
| R4EPP | 1.60 | 8704.08 | 2188.00 | 6516.07 | 74.86 | Semi-Ductile |
| R2EPP | 1.79 | 8111.58 | 2238.51 | 5873.07 | 72.40 | Semi-Ductile |
| R4EBN | 1.82 | 7340.99 | 1734.28 | 5606.72 | 76.38 | Ductile |
| R4EBN | 1.92 | 9819.44 | 4932.00 | 4887.44 | 49.77 | Brittle |
| R4SEN | 4.00 | 19,456.80 | 228.09 | 19,228.71 | 98.83 | Ductile |
Publisher’s Note: MDPI stays neutral with regard to jurisdictional claims in published maps and institutional affiliations. |
© 2021 by the authors. Licensee MDPI, Basel, Switzerland. This article is an open access article distributed under the terms and conditions of the Creative Commons Attribution (CC BY) license (http://creativecommons.org/licenses/by/4.0/).
Share and Cite
Kim, T.-K.; Park, J.-S.; Kim, S.-H.; Jung, W.-T. Structural Behavior Evaluation of Reinforced Concrete Using the Fiber-Reinforced Polymer Strengthening Method. Polymers 2021, 13, 780. https://doi.org/10.3390/polym13050780
Kim T-K, Park J-S, Kim S-H, Jung W-T. Structural Behavior Evaluation of Reinforced Concrete Using the Fiber-Reinforced Polymer Strengthening Method. Polymers. 2021; 13(5):780. https://doi.org/10.3390/polym13050780
Chicago/Turabian StyleKim, Tae-Kyun, Jong-Sup Park, Sang-Hyun Kim, and Woo-Tai Jung. 2021. "Structural Behavior Evaluation of Reinforced Concrete Using the Fiber-Reinforced Polymer Strengthening Method" Polymers 13, no. 5: 780. https://doi.org/10.3390/polym13050780
APA StyleKim, T.-K., Park, J.-S., Kim, S.-H., & Jung, W.-T. (2021). Structural Behavior Evaluation of Reinforced Concrete Using the Fiber-Reinforced Polymer Strengthening Method. Polymers, 13(5), 780. https://doi.org/10.3390/polym13050780

