A Customized Knee Antibiotic-Loaded PMMA Spacer: A Preliminary Design Analysis
Abstract
1. Introduction
2. Material and Methods
2.1. Theoretical Background
2.2. Experimental Characterization
3. Result and Discussion
3.1. Compressive Tests
3.2. Dynamic Mechanical Analysis
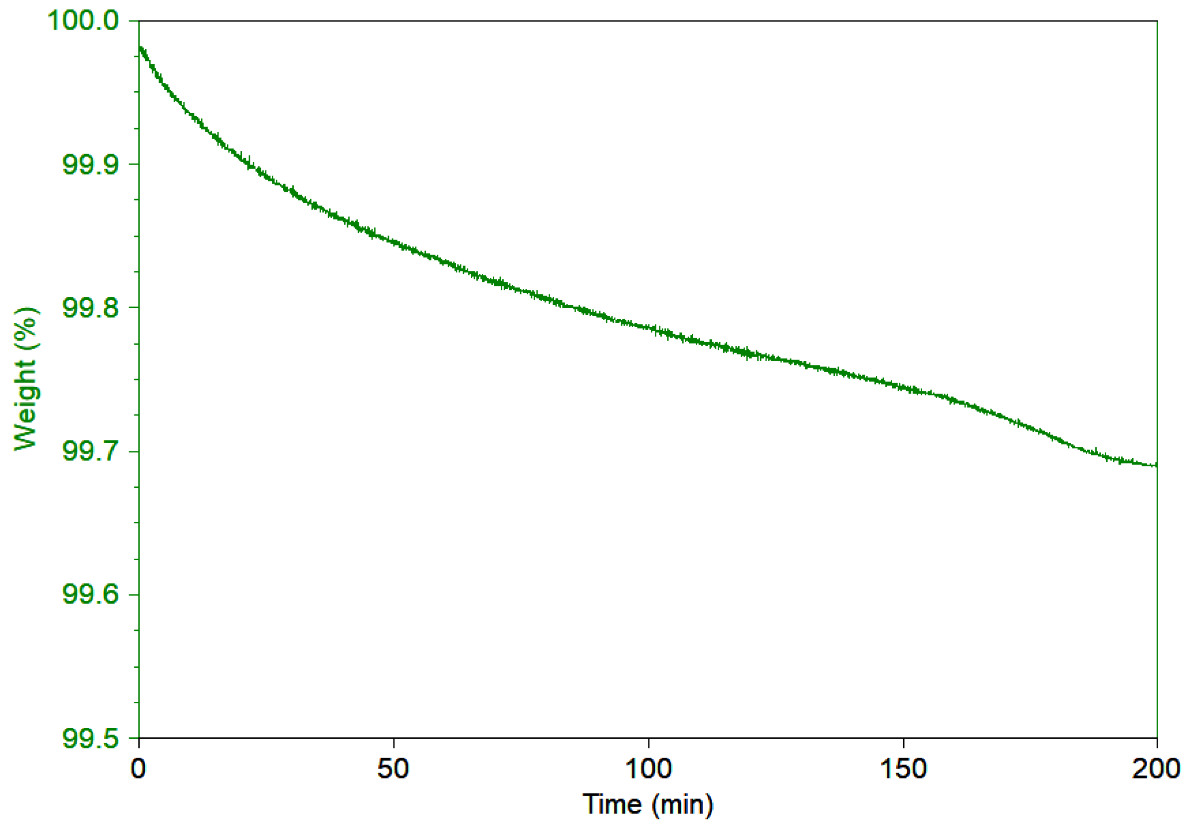
3.3. Thermo-Gravimetrical Analysis
3.4. Evaluation of the Coefficient of Thermal Expansion
3.5. Simulation Data Analysis and Discussion
4. Conclusions
Author Contributions
Funding
Institutional Review Board Statement
Informed Consent Statement
Data Availability Statement
Acknowledgments
Conflicts of Interest
References
- Centers for Disease Control and Prevention. National Hospital Discharge Survey: 2010 Table, Procedures by Selected Patient Characteristics; Centers for Disease Control and Prevention: Atlanta, GA, USA, 2013.
- Kurtz, S.; Ong, K.; Lau, E.; Mowat, F.; Halpern, M. Projections of Primary and Revision Hip and Knee Arthroplasty in the United States from 2005 to 2030. J. Bone Jt. Surg. 2007, 89, 780–785. [Google Scholar] [CrossRef]
- Havelin, L.I.; Fenstad, A.M.; Salomonsson, R.; Mehnert, F.; Furnes, O.; Overgaard, S.; Pedersen, A.B.; Herberts, P.; Kärrholm, J.; Garellick, G. The Nordic Arthroplasty Register Association: A unique collaboration between 3 national hip arthroplasty registries with 280,201 THRs. Acta Orthop. 2009, 80, 393–401. [Google Scholar] [CrossRef]
- Robertsson, O.; Bizjajeva, S.; Fenstad, A.M.; Furnes, O.; Lidgren, L.; Mehnert, F.; Odgaard, A.; Pedersen, A.B.; Havelin, L.I. Knee arthroplasty in Denmark, Norway and Sweden. Acta Orthop. 2010, 81, 82–89. [Google Scholar] [CrossRef] [PubMed]
- Singh, J.A.; Yu, S.; Chen, L.; Cleveland, J.D. Rates of Total Joint Replacement in the United States: Future Projections to 2020–2040 Using the National Inpatient Sample. J. Rheumatol. 2019, 46, 1134–1140. [Google Scholar] [CrossRef]
- Patel, R. Aseptic Failure in Total Knee Arthroplasty. In Total Knee Arthroplasty; Rodríguez-Merchán, E., Oussedik, S., Eds.; Springer: Berlin/Heidelberg, Germany, 2015; pp. 183–196. [Google Scholar] [CrossRef]
- Balato, G.; Ascione, T.; Iorio, P.; De Franco, C.; De Matteo, V.; D’Addona, A.; Tammaro, N.; Pellegrino, A. Knee septic arthritis caused by α-hemolytic Streptococcus in a patient with a recent history of knee arthroscopy: A case report. BMC Infect. Dis. 2019, 19, 887. [Google Scholar] [CrossRef] [PubMed]
- Tande, A.J.; Patel, R. Prosthetic Joint Infection. Clin. Microbiol. Rev. 2014, 27, 302–345. [Google Scholar] [CrossRef] [PubMed]
- Garfield, K.; Noble, S.; Lenguerrand, E.; Whitehouse, M.R.; Sayers, A.; Reed, M.R.; Blom, A.W. What are the inpatient and day case costs following primary total hip replacement of patients treated for prosthetic joint infection: A matched cohort study using linked data from the National Joint Registry and Hospital Episode Statistics. BMC Med. 2020, 18, 335. [Google Scholar] [CrossRef]
- Smeraglia, F.; Soldati, A.; Orabona, G.; Ivone, A.; Balato, G.; Pacelli, M. Trapeziometacarpal arthrodesis: Is bone union necessary for a good outcome? J. Hand Surg. (Eur. Vol.) 2015, 40, 356–361. [Google Scholar] [CrossRef]
- Bozic, K.J.; Ries, M.D. The impact of infection after total hip arthroplasty on hospital and surgeon resource utilization. J. Bone Jt. Surg. 2005, 87, 1746–1751. [Google Scholar] [CrossRef]
- Kurtz, S.M.; Lau, E.; Watson, H.; Schmier, J.K.; Parvizi, J. Economic Burden of Periprosthetic Joint Infection in the United States. J. Arthroplast. 2012, 27, 61–65.e1. [Google Scholar] [CrossRef]
- Parisi, T.J.; Konopka, J.F.; Bedair, H.S. What is the long-term economic societal effect of peripros-thetic infections after THA? A Markov analysis. Clin. Orthop. Relat. Res. 2017, 475, 1891–1900. [Google Scholar] [CrossRef]
- Patel, A.; Pavlou, G.; Mújica-Mota, R.E.; Toms, A.D. The epidemiology of revision total knee and hip arthroplasty in England and Wales a comparative analysis with projections for the United States. A study using the National Joint Registry dataset. Bone Jt. J. 2015, 97, 1076–1081. [Google Scholar] [CrossRef]
- Vanhegan, I.S.; Malik, A.K.; Jayakumar, P.; Ul Islam, S.; Haddad, F.S. A financial analysis of revision hip arthroplasty: The economic burden in relation to the national tariff. J. Bone Jt. Surg. 2012, 94, 619–623. [Google Scholar] [CrossRef]
- Klouche, S.; Sariali, E.; Mamoudy, P. Total hip arthroplasty revision due to infection: A cost analysis approach. Orthop. Traumatol. Surg. Res. 2010, 96, 124–132. [Google Scholar] [CrossRef] [PubMed]
- Haddad, F.S.; Muirhead-Allwood, S.K.; Manktelow, A.R.J.; Bacarese-Hamilton, I. Two-stage uncemented revision hip arthroplasty for infection. J. Bone Jt. Surg. Br. Vol. 2000, 82, 689–694. [Google Scholar] [CrossRef]
- Hsieh, P.-H.; Shih, C.-H.; Chang, Y.-H.; Lee, M.S.; Yang, W.-E.; Shih, H.-N. Treatment of deep infection of the hip associated with massive bone loss: Two-stage revision with an antibiotic-loaded interim cement prosthesis followed by reconstruction with allograft. J. Bone Jt. Surg. Br. Vol. 2005, 87, 770–775. [Google Scholar] [CrossRef]
- Citak, M.; Argenson, J.N.; Masri, B.; Kendoff, D.; Springer, B.; Alt, V.; Taunton, M.J.; Vogely, C.H.; Wellman, S.S. Spacers. J. Arthroplast. 2014, 29, 93–99. [Google Scholar] [CrossRef]
- Balato, G.; Ascione, T.; Rosa, D.; Pagliano, P.; Solarino, G.; Moretti, B.; Mariconda, M. Release of gentamicin from cement spacers in two-stage procedures for hip and knee prosthetic infection: An in vivo pharmacokinetic study with clinical follow-up. J. Biol. Regul. Homeost. Agents 2015, 29, 63–72. [Google Scholar] [PubMed]
- Balato, G.; Roscetto, E.; Vollaro, A.; Galasso, O.; Gasparini, G.; Ascione, T.; Catania, M.R.; Mariconda, M. Bacterial biofilm formation is variably inhibited by different formulations of antibiotic-loaded bone cement in vitro. Knee Surg. Sports Traumatol. Arthrosc. 2019, 27, 1943–1952. [Google Scholar] [CrossRef]
- Pascarella, R.; Cerbasi, S.; Politano, R.; Balato, G.; Fantasia, R.; Orabona, G.; Mariconda, M. Surgical results and factors influencing outcome in patients with posterior wall acetabular fracture. Injury 2017, 48, 1819–1824. [Google Scholar] [CrossRef] [PubMed]
- Van Thiel, G.S.; Berend, K.R.; Klein, G.R.; Gordon, A.C.; Lombardi, A.V.; Della Valle, C.J. Intraoperative Molds to Create an Articulating Spacer for the Infected Knee Arthroplasty. Clin. Orthop. Relat. Res. 2011, 469, 994–1001. [Google Scholar] [CrossRef]
- Chang, Y.; Lee, M.S.; Liau, J.-J.; Liu, Y.-L.; Chen, W.-C.; Ueng, S.W.N. Polyethylene-Based Knee Spacer for Infection Control: Design Concept and Pre-Clinical In Vitro Validations. Polymers 2020, 12, 2334. [Google Scholar] [CrossRef] [PubMed]
- Amanatullah, D.; Dennis, D.; Oltra, E.G.; Gomes, L.S.M.; Goodman, S.B.; Hamlin, B.; Hansen, E.; Hashemi-Nejad, A.; Holst, D.C.; Komnos, G.; et al. Hip and Knee Section, Diagnosis, Definitions: Proceedings of International Consensus on Orthopedic Infections. J. Arthroplast. 2019, 34, S329–S337. [Google Scholar] [CrossRef]
- Balato, G.; Ascione, T.; De Franco, C.; De Matteo, V.; Verrazzo, R.; Smeraglia, F.; Rizzo, M.; Bernasconi, A.; Mariconda, M. Blood loss and transfusion rate in patients undergoing two-stage exchange in infected total knee arthroplasty. J. Biol. Regul. Homeost Agents 2020, 34, 1–5. [Google Scholar]
- Balato, M.; Petrarca, C.; de Matteo, V.; Lenzi, M.; Festa, E.; Sellitto, A.; Campi, J.; Zarrelli, M.; Balato, G. On the Necessity of a Customized Knee Spacer in Peri-Prosthetic Joint Infection Treatment: 3D Numerical Simulation Results. J. Pers. Med. 2021, 11, 1039. [Google Scholar] [CrossRef]
- Available online: https://www.zimmerbiomet.com/content/dam/zb-corporate/en/products/specialties/cement/refobacin-bone-cement-r/16361USenBiometBCRandRefobacinBCRProductSheetdigital.pdf (accessed on 24 October 2017).
- Smith, M. ABAQUS/Explicit User’s Manual; Dassault Systèmes Simulia Corp: Providence, RI, USA, 2019. [Google Scholar]
- Berman, B. 3-D printing: The new industrial revolution. Bus. Horiz. 2012, 55, 155–162. [Google Scholar] [CrossRef]
- Tofail, S.A.M.; Koumoulos, E.P.; Bandyopadhyay, A.; Bose, S.; O’Donoghue, L.; Charitidis, C. Additive manufacturing: Scientific and technological challenges, market uptake and opportunities. Mater. Today 2018, 21, 22–37. [Google Scholar] [CrossRef]
- Di Caprio, F.; Acanfora, V.; Franchitti, S.; Sellitto, A.; Riccio, A. Hybrid Metal/Composite Lattice Structures: Design for Additive Manufacturing. Aerospace 2019, 6, 71. [Google Scholar] [CrossRef]
- Otten, E. Inverse and forward dynamics: Models of multi–body systems. Philos. Trans. R. Soc. B Biol. Sci. 2003, 358, 1493–1500. [Google Scholar] [CrossRef] [PubMed][Green Version]
- Ramsey, J.K. Calculating Factors of Safety and Margins of Safety from Interaction Equations, NASA Scientific and Technical Information (STI). Program. 2019. Available online: https://ntrs.nasa.gov/api/citations/20190032150/downloads/20190032150.pdf (accessed on 9 October 2021).
- Rasmussen, L.S.; Gisvold, S.E.; Wisborg, T. Ethics Committee approval for observational studies. Acta Anaesthesiol. Scand. 2014, 58, 1047–1048. [Google Scholar] [CrossRef] [PubMed]


















Publisher’s Note: MDPI stays neutral with regard to jurisdictional claims in published maps and institutional affiliations. |
© 2021 by the authors. Licensee MDPI, Basel, Switzerland. This article is an open access article distributed under the terms and conditions of the Creative Commons Attribution (CC BY) license (https://creativecommons.org/licenses/by/4.0/).
Share and Cite
Balato, M.; Petrarca, C.; Quercia, A.; Riccio, A.; Sellitto, A.; Campi, J.; Borriello, A.; Zarrelli, M.; Balato, G. A Customized Knee Antibiotic-Loaded PMMA Spacer: A Preliminary Design Analysis. Polymers 2021, 13, 4065. https://doi.org/10.3390/polym13234065
Balato M, Petrarca C, Quercia A, Riccio A, Sellitto A, Campi J, Borriello A, Zarrelli M, Balato G. A Customized Knee Antibiotic-Loaded PMMA Spacer: A Preliminary Design Analysis. Polymers. 2021; 13(23):4065. https://doi.org/10.3390/polym13234065
Chicago/Turabian StyleBalato, Marco, Carlo Petrarca, Antonio Quercia, Aniello Riccio, Andrea Sellitto, Jessica Campi, Anna Borriello, Mauro Zarrelli, and Giovanni Balato. 2021. "A Customized Knee Antibiotic-Loaded PMMA Spacer: A Preliminary Design Analysis" Polymers 13, no. 23: 4065. https://doi.org/10.3390/polym13234065
APA StyleBalato, M., Petrarca, C., Quercia, A., Riccio, A., Sellitto, A., Campi, J., Borriello, A., Zarrelli, M., & Balato, G. (2021). A Customized Knee Antibiotic-Loaded PMMA Spacer: A Preliminary Design Analysis. Polymers, 13(23), 4065. https://doi.org/10.3390/polym13234065

