Abstract
This paper proposes a new method for calculating the monomer reactivity ratios for binary copolymerization based on the terminal model. The original optimization method involves a numerical integration algorithm and an optimization algorithm based on k-nearest neighbour non-parametric regression. The calculation method has been tested on simulated and experimental data sets, at low (<10%), medium (10–35%) and high conversions (>40%), yielding reactivity ratios in a good agreement with the usual methods such as intersection, Fineman–Ross, reverse Fineman–Ross, Kelen–Tüdös, extended Kelen–Tüdös and the error in variable method. The experimental data sets used in this comparative analysis are copolymerization of 2-(N-phthalimido) ethyl acrylate with 1-vinyl-2-pyrolidone for low conversion, copolymerization of isoprene with glycidyl methacrylate for medium conversion and copolymerization of N-isopropylacrylamide with N,N-dimethylacrylamide for high conversion. Also, the possibility to estimate experimental errors from a single experimental data set formed by n experimental data is shown.
1. Introduction
Technological development brings with it the need to create new polymers with predefined physico-chemical properties. It is well known that the physico-chemical properties of polymers are given by their microstructure, and the microstructure is determined by the reaction kinetics. By the nature of the monomers used in the copolymerization reaction and by a controlled kinetics, specific microstructures can be obtained such as: polymers with amorphous or crystalline areas, polymers with large molecular masses, branching polymers, crosslinked polymers or more other microstructure types. All these microstructure types have great influence on the mechanical and chemical behavior of the resulting polymers. The possibilities to obtain any kind of mechanical or chemical properties of copolymers are practically unlimited, but there exists only one limitation to our imagination. The mechanism of binary copolymerization in which it is considered that only the last structural unit attached to the polymer chain influences the growth mode of the polymer is described by the following kinetic relations [1]:
where Pn—growing polymer chain, M1*, M2*—the active center on monomers, , , , —propagation rate constants.
The transformation of the above kinetic equations into a mathematical model that connects the kinetic evolution, and the microstructure of the formed copolymer is obtained using the mathematical equations of a first order kinetics, described by the following equations:
where −dM1/dt, −dM2/dt—rate of monomers consumption, [M1], [M2]—molar concentration of monomers in feed, [M1*], [M2*]—molar concentration of polymer chain growth active centers.
It is obvious that both the reaction mechanism and the kinetic Equations (1) and (2) are not entirely correct because they do not consider the initiation reaction, the termination reaction, and the transfer reaction of the active center. However, to be able to generate a mathematical model in which parameters that cannot be measured do not appear, it is mandatory to impose the stationary state condition described by relation (3):
Considering the above, several authors [2,3,4,5] have proposed various mathematical solutions that describe the connection between the microstructure of the copolymer and the kinetics of the reaction. Thus, Alfrey Jr. and Goldfinger [2] propose the following relation (4):
Mayo and Lewis [3] propose relation (5):
and Wall [4] and Skeist [5] propose the following form:
where,
r1, r2—reactivity ratios of monomers.
After all, it is easy to see that the Equations (4)–(6) are nested equations, and the most common form is that described by Equation (5). This mathematical model is a differential one that makes the connection between the reaction kinetics and the instantaneous composition of the copolymer and can be used for experimental data which have conversion below 10%.
For experimental data with conversions greater than 10% it is necessary to use the integral form of the differential equation, the equation makes the connection between the reaction kinetics and the global composition of the copolymer. The integral equation proposed by Mayo and Lewis [3] has the form:
where [M10], [M20]—initial molar concentration of monomers in feed, [M1], [M2]—molar concentration of monomers in feed at given conversion.
Integrating the equation proposed by Wall [4] and Skeist [5], Meyer and Lowry [6] obtain the following mathematical solution:
where
X—conversion.
As can be seen, Equations (8) and (9) also are nested equations.
Into a r1, r2 coordinate system, the Equations (3) and (9) proposed by Mayo and Lewis [3] describe a line for each experimental point of an experimental data set. Taking account of this Equation (5) can be rewritten as:
and Equation (9) has the following form:
where
By intersecting two lines thus obtained, are obtained the reactivity ratios as a solution that satisfy the parameters of the two experimental points considered. If we have n experimental points, we obtain m solutions of the experimental data set. The number of solutions m of an experimental data set is obtained with the relation:
Unfortunately, Mayo and Lewis [3] in their paper do not offer a solution for finding the best solution of reactivity ratios for the situation where n > 2. Since the publication of the intersection method [3] a few authors [7,8,9,10] have proposed various solutions to find the best value of the reactivity ratios from (2, m) matrix of solutions. An interesting solution for finding the best pair of values r1, r2 from the matrix of solutions obtained by the intersection method is proposed by Abdollahi et al. [10] (ANA). These authors consider that the optimal values of reactivity ratios r10, r20 are that which has the smallest distance from all calculated lines using the Equation (5) for all experimental points. To determine the optimal values r10, r20 the authors rewrite Equation (5) in the following form:
The sum of the squares of the distance from the optimal point r10, r20 at each line is calculated with the relation:
where i—denote the number of the experimental point from experimental data set.
To calculate the minimum distance from the optimal point r10, r20 to each line, the partial derivatives to r10 and r20 of the function f(r10, r20) respectively, are both of them set to zero. The partial derivatives equations are described by:
Solving the Equations (17) and (18) can obtain the optimal values of reactivity ratios r10, r20.
The algorithm described above is a k nearest neighbour (k-NN) regression algorithm where k = n, where the differential copolymerization equation is used. The algorithm called k nearest neighbour [11] (k-NN) is a non-parametric regression algorithm that is permitted to obtain an optimal point based on calculation of the Euclidian distance between k points located in neighbourhood, where k is an integer chosen value between 2 and total number of points of data set.
An approach in determining the reactivity ratios is either the linearization of the Mayo-Lewis differential Equation (5) or the linearization of the integral Equation (9). The method proposed by Fineman and Ross [12] is chronologically the first method that uses the linearization of the Mayo–Lewis differential Equation (5). The mathematical equations that describe the method proposed by Fineman and Ross are:
where,
Equation (19) is known as the Fineman–Ross method (FR) and Equation (20) as the reverse Fineman–Ross method (r-FR).
The disadvantage of the uneven distribution of points along the line passing between the calculated points, which is observed in the Fineman–Ross method, was removed by Kelen–Tudos [13,14] (KT) by using a correction factor α which is calculated with the relation:
where
Considering this aspect presented above, the Mayo-Lewis Equation (5) is rewritten in the form:
where
In the coordinate system G/(α + F), F/(α + F) the points calculated by means of the Equation (25) have a uniform and collinear distribution.
The KT linear method has been extended to be used to determine reactivity ratios for experimental data obtained at high conversions [15] (e-KT). In this case Equation (25) is rewritten as follows:
where
where the 0 index refer to the initial concentration of monomer i, α has the same mathematical form as presented above, Pn weight percent conversion, μ—molecular weight of monomers.
For all the linear methods presented above we can write a generalized equation of the following form:
where ζ-dependent variable, η-independent variable, a—slope, b—intercept. The line parameters for the methods presented above are centralized in Table 1.
Table 1.
The line parameters for the linear methods presented above.
Determination of the slope (a) and the intercept (b) (31) for a line can be obtained using the ordinary least squares methods (OLS) described by following relations:
Using OLS to obtain the best slope and intercept values, the parameters ζ and η must respect the Gauss–Markov assumptions, which are:
- (a)
- The independent variable η must not be correlated with the dependent variable ζ. This is the fundamental hypothesis of OLS. By linearization of the Mayo–Lewis Equation (5) the obtained parameters ζ and η have a degree of correlation, this fact leads to obtaining erroneous or inconsistent values for a and b parameters
- (b)
- The non-linearity between ζ and η parameters, and if the errors are not random gives wrong estimation of a and b parameters.
- (c)
- The estimation of the a and b parameters values is less accurate if the covariance of the errors of η is not constant. The covariance of errors of the parameter η represents a measure of the uncertainty of the model.
- (d)
- The intercept value (b) is biased if the expected error in terms of the independent variable η is not zero
- (e)
- All calculated values for the η parameter obtained by using the linear forms of the Mayo–Lewis Equation (5) must be collinear, otherwise the values of a and b parameters obtained by using the OLS method will be have big errors.
Therefore, obtaining reactivity ratios by linearizing the Mayo–Lewis Equation (5) is limiting because it is difficult to fully respect Gauss–Markov’s assumptions.
Considering the above, Tidwell and Mortimer [16] approached the solution of the Mayo–Lewis Equation (5) through a nonlinear view. Tidwell and Mortimer (TM) derived the Mayo–Lewis equation written in the form proposed by Wall [4] and Skeist [5] (6) obtaining the following relation:
where:
i is the number of the experimental run, j is number of the estimation set and , are the expectation values of and respectively.
By making the difference (d) between the measured value of the composition of the copolymer () and the calculated composition of the copolymer (), the following equation is obtained:
then estimates, , of the smallest squares of and provide the necessary corrections so that the new values of and given by:
The method proposed by Tidwell and Mortimer uses the Gauss–Newton optimization algorithm by minimizing for the search for the best pair of reactivity ratios.
It is well known that any experimental measurement contains errors, and for this reason a number of authors [17,18,19,20,21,22,23,24,25,26] have used the principle of minimizing these errors to obtain the true value of composition of the feed and the copolymer, and finally to obtain the best values of reactivity ratios.
This concept, called error in variable method (EVM), was originally developed by German [17] considering the error in only one variable. Later van der Meer et al. [18] extended the concept to analysis the errors in both variables, after which various approaches appeared in the calculation methodology [19,20,21,22,23,24,25,26]. For the comparative analysis of the methods for calculating the reactivity ratios, the EVM variant proposed by Chee and Ng [26] was chosen, because it uses the integral equation proposed by Mayo and Lewis (12) and does not require to know the experimental error.
The variant of EVM proposed by Chee and Ng (EVM-CN) minimizes the objective function given by the relationship:
where
—the value of r2 estimated with Equation (12), Pn—weight percent conversion, σ—standard deviation of M10, m1—molar fraction of monomer 1 in copolymer.
Although the methods for calculating reactivity ratios using the EVM technique are integral methods, they do not include conversion measurement errors in their analysis.
The non-parametric regression algorithm k-NN is widely used in medicine and pharmaceutics [27,28,29,30,31], machine learning [32,33,34,35], the facial recognition algorithm programs [36], traffic flow prediction [37] and many other fields.
The new integral method proposed below is an adaptation of the non-parametric k-NN regression algorithm to the calculation of reactivity ratios from terminal model of binary copolymerization.
2. Materials and Methods
In the work of Mayo and Lewis [3] the following expression draws attention, “The experimental error, measured by the size of the area bounded by the three lines, is halved by a change of only 0.10% in the carbon analysis (0.5% in the styrene content) of the copolymer”.
In the coordination system r1, r2 through the intersection of three lines results a triangle whose vertices are described by the coordinates of the points Pi (r1, r2), Pj (r1, r2) and Pq (r1, r2). The determination of the values of the coordinates of the points Pi (r1, r2), Pj (r1, r2) and Pq (r1, r2) is undertaken by solving the following system of equations:
where:
i, j, q—indices referring to the number of the experimental point from data set.
By solving the system of Equation (49) for “n” experimental points a number of “m” of triangles can be generated, according with the relation (51):
The calculation of the experimental errors starting from the statement of Mayo and Lewis [3] is undertaken by solving the following system of Equation (52):
where Si—the size of area of the triangle, i = 1… m; , , —the errors of the experiments that leads to the formation of the triangle i.
The surface of the formed triangle, where are knowing the values of its peaks Pi (r1, r2), Pj (r1, r2) and Pq (r1, r2) is calculated with the following relation (53):
The solutions of the system of Equations (52) are obtained by solving the matrix Equation (54):
Based on these observations presented above, it was considered that the determination of reactivity ratios could be achieved by an error regression analysis using the k-NN algorithm where k = 3. The method of calculating the reactivity ratios using the k-NN regression algorithm has the following steps:
- 1.
- Calculate all possible sets of P3t (r1, r2) points that can be generated from the experimental data set.
- 2.
- For each set of points, P3t (r1, r2) will calculate the weight center, Pcen (, ), using the relations:where , —the coordinates of the weight center of a set of points P3t (r1, r2), r1i,j, r2i,j—the coordinates of the vertices of the triangle in the data set P3t(r1, r2), i—index of the vertices point i = 1,2,3 and j—number of set of points P3t(r1, r2), where n—number of experimental data sets.
- 3.
- For each Pcen(, ) point, calculate the composition of the substrate using the integration method [24,25] until the experimental conversion of each point from the experimental data set is touched.
- 4.
- Using the experimental data of copolymer composition and calculated copolymer composition with , , calculate the value of the objective function, the Fischer criterion (Fc) [38], using the relation (57)where is the value of the Fisher criterion for the reactivity ratios from the center of each triangle, n is the number of monomers used in copolymerization and p is the number of the experimental data set. Thus, mij(e) is the molar fraction of monomer “i” from copolymer for “j” experimental data set, mij(c) is the molar fraction of monomer “i” calculated based on a mathematical model for the experiment “j”.
- 5.
- The Pcen(, ) points are ordered in ascending order according to the value of at which point is selected the first n points Pcen(, ) which have the lowest values. These selected points will generate a new set of points P3t (r1, r2). This step is intended to eliminate the reactivity ratios which have great errors and to reduce computation time.
- 6.
- The error of the optimization process is evaluated with the following relation:where —the best value of Fischer criterion at step s of the optimization process, —the best value of Fischer criterion at step s − 1 of the optimization process. If the error (err) is not less than 1 × 10−4, then with the last generated set of points P3t (r1, r2) return to step 2, else the search process will be stopped.
The reactivity ratios which have the lowest value of the Fischer criterion from the last search step will become the final solution of the optimization process.
In order to verify the quality of the new method compared to the methods presented above, an analysis plan was drawn up on simulated data in which the chosen reactivity ratios must meet the conditions: r1 × r2 ≈ 0, r1 × r2 ∊ [0.5,1], r1 × r2 > 1. Table 2 shows the data of a comparison of the quality analysis plan for a new method with the most used methods in reactivity ratios determination, presented above.
Table 2.
The conditions of the analysis plan for methods quality.
The reactivity ratios were chosen randomly in such a way as to meet the conditions imposed above. The feed composition and the conversions were obtained by a normalized randomly software. The copolymer composition was obtained by numerical integration until the specific conversion of each point was reached. Moreover, the methods presented above were also verified on real experimental data for copolymerization of:
- a.
- 2-(N-phthalimido) ethyl acrylate (NPEA) with 1-vinyl-2-pyrolidone (NVP), initiated by AIBN in DMF at 70 °C [39];
- b.
- Isoprene (Is) with glycidyl methacrylate (GMA), initiated by AIBN in bulk at 70 °C [40];
- c.
- N-isopropylacrylamide (NIPAM) with N,N-dimethylacrylamide (DMA), initiated by AIBN in DMF at 70 °C [41].
The simulated input data, which were used in the comparative qualitative analysis of the methods for calculating the reactivity ratios presented above are shown in Table 3, Table 4, Table 5, Table 6, Table 7, Table 8, Table 9, Table 10 and Table 11. The estimated errors shown in the tables below are obtained by solving Equation (39) for given data.
Table 3.
The input data for low conversion and r1 = 0.02 and r2 = 0.40 (LC1).
Table 4.
The input data for low conversion and r1 = 0.72 and r2 = 0.92 (LC2).
Table 5.
The input data for low conversion and r1 = 0.65 and r2 = 2.12 (LC3).
Table 6.
The input data for medium conversion and r1 = 0.02 and r2 = 0.40 (MC1).
Table 7.
The input data for medium conversion and r1 = 0.72 and r2 = 0.92 (MC2).
Table 8.
The input data for medium conversion and r1 = 0.65 and r2 = 2.12 (MC3).
Table 9.
The input data for high conversion and r1 = 0.02 and r2 = 0.40 (HC1).
Table 10.
The input data for high conversion and r1 = 0.72 and r2 = 0.92 (HC2).
Table 11.
The input data for high conversion and r1 = 0.65 and r2 = 2.12 (HC3).
The software used to determine the reactivity ratios with the methods described above was coded in Python 3.
3. Results
The reactivity ratios obtained in this analysis, as well as the Fisher criterion values, using the input from Table 3, Table 4, Table 5, Table 6, Table 7, Table 8, Table 9, Table 10 and Table 11, are presented in Table 12, Table 13, Table 14, Table 15, Table 16, Table 17, Table 18, Table 19 and Table 20. In these tables, the reactivity ratios obtained by the methods used in this analysis are ascending, ordered according to the value of the Fisher criterion (Fc), and the bias represents the value of the difference from the calculated value of the reactivity ratios and the imposed target value.
Table 12.
Reactivity ratios obtained in the imposed conditions of LC1.
Table 13.
Reactivity ratios obtained in the imposed conditions of LC2.
Table 14.
Reactivity ratios obtained in the imposed conditions of LC3.
Table 15.
Reactivity ratios obtained in the imposed conditions of MC1.
Table 16.
Reactivity ratios obtained in the imposed conditions of MC2.
Table 17.
Reactivity ratios obtained in the imposed conditions of MC3.
Table 18.
Reactivity ratios obtained in the imposed conditions of HC1.
Table 19.
Reactivity ratios obtained in the imposed conditions of HC2.
Table 20.
Reactivity ratios obtained in the imposed conditions of HC3.
To highlight the way in which the integral method k-NN looks for the best point, Figure 1, Figure 2, Figure 3, Figure 4, Figure 5, Figure 6, Figure 7, Figure 8 and Figure 9 present the points Pcen (r1, r2) obtained for each search step, where the best point represent the final solution of k-NN method.
Figure 1.
Distribution of Pcen(r1, r2) points for each step of searching for the k-NN method for the conditions imposed by LC1.
Figure 2.
Distribution of Pcen(r1, r2) points for each step of searching for the k-NN method for the conditions imposed by LC2.
Figure 3.
Distribution of Pcen(r1, r2) points for each step of searching for the k-NN method for the conditions imposed by LC3.
Figure 4.
Distribution of Pcen(r1, r2) points for each step of searching for the k-NN method for the conditions imposed by MC1.
Figure 5.
Distribution of Pcen(r1, r2) points for each step of searching for the k-NN method for the conditions imposed by MC2.
Figure 6.
Distribution of Pcen(r1, r2) points for each step of searching for the k-NN method for the conditions imposed by MC3.
Figure 7.
Distribution of Pcen(r1, r2) points for each step of searching for the k-NN method for the conditions imposed by HC1.
Figure 8.
Distribution of Pcen(r1, r2) points for each step of searching for the k-NN method for the conditions imposed by HC2.
Figure 9.
Distribution of Pcen(r1, r2) points for each step of searching for the k-NN method for the conditions imposed by HC3.
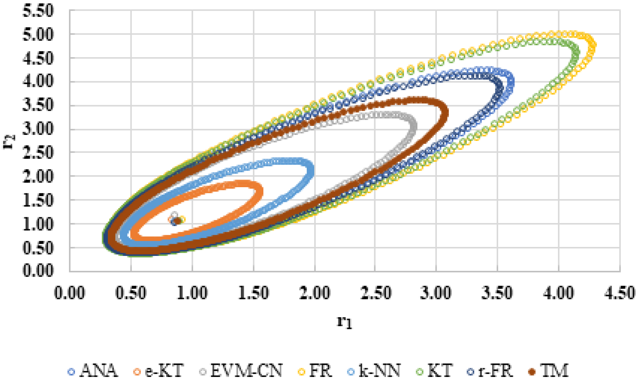
For a complete analysis of the quality of the k-NN method and the other methods used in this comparative analysis, the 95% confidence domains (JCR) were plotted for all nine imposed conditions. Relation (59) was used to trace these JCRs:
where,
Equation (59) was defined by Mathew and Duever as the “exact shape” of JCR [42]. In Figure 10, Figure 11, Figure 12, Figure 13, Figure 14, Figure 15, Figure 16, Figure 17 and Figure 18, the JCRs that do not appear in the graph are so large that they would make the small ones no longer visible. In the following figures, the target value represent the chosen reactivity ratios for each simulated experiment.
Figure 10.
The JCR of analyzed methods for reactivity ratios calculation for LC1 imposed condition (A) and detail of smallest JCR with distribution of reactivity ratios (B).
Figure 11.
The JCR of analyzed methods for reactivity ratios calculation for LC2 imposed condition.
Figure 12.
The JCR of analyzed methods for reactivity ratios calculation for LC3 imposed condition (A) and detail of smallest JCR with distribution of reactivity ratios (B).
Figure 13.
The JCR of analyzed methods for reactivity ratios calculation for MC1 imposed condition (A) and detail of smallest JCR with distribution of reactivity ratios (B).
Figure 14.
The JCR of analyzed methods for reactivity ratios calculation for MC2 imposed condition.
Figure 15.
The JCR of analyzed methods for reactivity ratios calculation for MC3 imposed condition (A) and detail of smallest JCR with distribution of reactivity ratios (B).
Figure 16.
The JCR of analyzed methods for reactivity ratios calculation for HC1 imposed condition (A) and detail of smallest JCR with distribution of reactivity ratios (B).
Figure 17.
The JCR of analyzed methods for reactivity ratios calculation for HC2 imposed condition.
Figure 18.
The JCR of analyzed methods for reactivity ratios calculation for HC3 imposed condition.
The k-NN method for determining the reactivity ratios proposed in this paper as well as the other methods used in this comparative analysis were also tested on real experimental data. The results obtained are presented in Table 21, Table 22 and Table 23 and Figure 19, Figure 20, Figure 21, Figure 22, Figure 23 and Figure 24.
Table 21.
The reactivity ratios obtained for copolymerization of NPEA-NVP [39].
Table 22.
The reactivity ratios obtained for copolymerization of Is-GMA [40].
Table 23.
The reactivity ratios obtained for copolymerization of NIPAM-NVP [41].
Figure 19.
Distribution of Pcen(r1, r2) points for each step of searching for the k-NN method for copolymerization of 2-(N-phthalimido) ethyl acrylate with 1-vinyl-2-pyrolidone (NPEA-NVP) [39].
Figure 20.
The JCR of analyzed methods for reactivity ratios calculation for copolymerization of NPEA-NVP [39].
Figure 21.
Distribution of Pcen(r1, r2) points for each step of searching for the k-NN method for copolymerization of Is-GMA [40].
Figure 22.
The JCR of analyzed methods for reactivity ratios calculation for copolymerization of Is-GMA [40].
Figure 23.
Distribution of Pcen(r1, r2) points for each step of searching for the k-NN method for copolymerization of NIPAM-NVP [41].
Figure 24.
The JCR of analyzed methods for reactivity ratios calculation for copolymerization of NIPAM-NVP [41].
4. Discussion
The visualization of the search steps of the k-NN method shows us that the elimination of the pairs of irrelevant reactivity ratios using as criterion of elimination the value of Fc not only increases the calculation speed but also improves the quality of the result. The improvement in the quality of the result is given by the fact that the numerator of the function Fc is in fact a residual variation due to errors (61).
The results from Table 13, Table 14, Table 15, Table 16, Table 17, Table 18, Table 19, Table 20 and Table 21 show that the integral k-NN method is in good agreement with the other integral methods for determining reactivity ratios and obviously better than the differential methods used in this comparative analysis.
On the other hand, if we corroborate the data from Table 13, Table 14, Table 15, Table 16, Table 17, Table 18, Table 19, Table 20 and Table 21 with the JCRs presented in Figure 10, Figure 11, Figure 12, Figure 13, Figure 14, Figure 15, Figure 16, Figure 17 and Figure 18, it is observed that:
- -
- The e-KT method has the lowest values of Fc in the case of the conditions imposed by LC1, LC2, LC3, MC1 and HC2 but at the same time the target value imposed for LC1, MC1 and MC3 is outside the JCR determined for this method. Taking into account that JCR represents the set of reactivity ratios that are solutions of the method with 95% confidence and the target value is not part of these solutions, the e-KT method cannot be considered the best method in the situations presented above.
- -
- The EVM-CN method is the best method for the MC3 and HC3 conditions.
- -
- The reactivity ratios obtained by the EVM-CN method for the imposed conditions LC2, and LC3 are outside the JCR of the best method for these cases.
- -
- Under the conditions imposed by HC1, the e-KT and EVM-CN methods did not give good results because the calculation method uses logarithms whose argument takes negative values for large conversions and appropriate reactivity ratios of 0.
The true value of the k-NN method is demonstrated by the results obtained on real experimental data which proves that it is a solid method and can be used successfully at any conversion of less than 55%.
5. Conclusions
The integral method for determining the reactivity ratios based on the k-NN regression algorithm proposed in this paper is a simple method based on the intersection method. The k-NN method provides results comparable to any other integral method. The k-NN method is stable for any combination of reactivity ratios and can be used successfully up to 55% conversions. The notable disadvantage of this method is that it requires a minimum of six experimental points to be effective. Also, in the search process, a way to estimate the experimental errors using a single data set was determined. We believe that future works could establish models with the three conversion parts.
Author Contributions
All the authors (I.S.F.-A., A.M. and S.V.) conceived the framework and structured the whole manuscript, checked the results, and completed the revision of the paper. The authors have equally contributed to the elaboration of this manuscript. All authors have read and agreed to the published version of the manuscript.
Funding
This research received no external funding.
Institutional Review Board Statement
Not applicable.
Informed Consent Statement
Not applicable.
Data Availability Statement
Not applicable.
Acknowledgments
The authors want to thank Cornel Hagiopol for his support, guidance, and advice in this work.
Conflicts of Interest
The authors declare no conflict of interest.
References
- Norrish, R.G.W.; Brookman, E.F. The Mechanism of Polymerization Reactions. I. The Polymerization of Styrene and Methyl Methacrylate. Proc. R. Soc. Lond. 1939, 171, 147–171. [Google Scholar]
- Alfrey, T., Jr.; Goldfinger, G. The Mechanism of Copolymerization. J. Chem. Phys. 1944, 12, 205–209. [Google Scholar] [CrossRef]
- Mayo, F.R.; Lewis, F.M. Copolymerization. I. A Basis for Comparing the Behavior of Monomers in Copolymerization; The Copolymerization of Styrene and Methyl Methacrylate. J. Am. Chem. Soc. 1944, 66, 1594–1601. [Google Scholar] [CrossRef]
- Wall, F.T. The Structure of Copolymers. II. J. Am. Chem. Soc. 1944, 66, 2050–2057. [Google Scholar] [CrossRef]
- Skeist, I. Copolymerization: The Composition Distribution Curve. J. Am. Chem. Soc. 1946, 68, 1781–1784. [Google Scholar] [CrossRef] [PubMed]
- Meyer, V.E.; Lowry, G.G. Integral and Differential Binary Copolymerization Equations. J. Polym. Sci. Part A 1965, 3, 2843–2851. [Google Scholar] [CrossRef]
- Joshi, R.M.; Kapur, S.L. A Modified Method of Deriving the Reactivity Constants r1 and r2 in Copolymerization. J. Polym. Sci. 1954, 14, 508–510. [Google Scholar] [CrossRef]
- Joshi, R.M.; Kapur, S.L. Reactivity Constants in Copolymerization. J. Polym. Sci. 1956, 19, 582–583. [Google Scholar] [CrossRef]
- Katz, D. Polymerization and Copolymerization of 1- and 9-Vinylanthracenes and 9-Vinylphenanthrene. J. Polym. Sci. Part A Gen. Pap. 1963, 1, 1635–1643. [Google Scholar] [CrossRef]
- Abdollahi, H.; Najafi, V.; Amiri, F. Determination of Monomer Reactivity Ratios and Thermal Properties of poly(GMA-co-MMA) Copolymers. Polym. Bull. 2021, 78, 493–511. [Google Scholar] [CrossRef]
- Györfi, L.; Kohler, M.; Krzyżak, A.; Walk, H. A Distribution-Free Theory of Nonparametric Regression; Springer: New York, NY, USA, 2002. [Google Scholar]
- Fineman, M.; Ross, S.D. Linear Method for Determining Monomer Reactivity Ratios in Copolymerization. J. Polym. Sci. 1950, 5, 259–265. [Google Scholar] [CrossRef]
- Kelen, T.; Tüdὅs, F. A New Improved Linear Graphical Method for Determining Copolymerization Reactivity Ratios. React. Kinet. Catal. Lett. 1974, 1, 487–492. [Google Scholar] [CrossRef]
- Kelen, T.; Tüdös, F. Analysis of the Linear Methods for Determining Copolymerization Reactivity Ratios. I. A New Improved Linear Graphic Method. J. Macromol. Sci. A 1975, 9, 1–27. [Google Scholar] [CrossRef]
- Tüdös, F.; Kelen, T.; Földes-Berezsnich, T.; Turcsányi, B. Analysis of Linear Methods for Determining Copolymerization Reactivity Ratios. III. Linear Graphic Method for Evaluating Data Obtained at High Conversion Levels. J. Macromol. Sci. Part A Chem. 1976, 10, 1513–1540. [Google Scholar] [CrossRef]
- Tidwell, P.W.; Mortimer, G.A. An Improved Method of Calculating Copolymerization Reactivity Ratios. J. Polym. Sci. Part A 1965, 3, 369–387. [Google Scholar] [CrossRef]
- German, A.L. The Copolymerization of Ethylene and Vinyl Acetate at Low Pressure: Determination of the Kinetics by Sequential Sampling. Ph.D. Thesis, Technische Hogeschool Eindhoven, Eindhoven, The Netherlands, 1970. [Google Scholar] [CrossRef]
- van der Meer, R.; Linssen, H.N.; German, A.L. Improved methods of estimating monomer reactivity ratios in copolymerization by considering experimental error in both variables. J. Polym. Sci. Polym. Chem. Ed. 1978, 16, 2915–2930. [Google Scholar] [CrossRef] [Green Version]
- Yamada, B.; Itahashi, M.; Otsu, T. Estimation of Monomer Reactivity Ratios by Non-linear Least-Squares Procedure with Consideration of the Weight of Experimental Data. J. Polym. Sci. Polym. Chem. Ed. 1978, 16, 1719–1733. [Google Scholar] [CrossRef]
- Patino-Leal, H.; Reilly, P.M.; O’Driscoll, K.F. On the Estimation of Reactivity Ratios. J. Polym. Sci. Polym. Lett. Ed. 1980, 18, 219–227. [Google Scholar] [CrossRef]
- Hautus, F.L.M.; Linssen, H.N.; German, A.L. Dependence of Computed Copolymer Reactivity Ratios on the Calculation Method. II. Effects of Experimental Design and Error Structure. J. Polym. Sci. Polym. Chem. Ed. 1984, 22, 3661–3671. [Google Scholar] [CrossRef] [Green Version]
- van Herk, A.M.; Droge, T. Non-Linear least squares fitting applied to copolymerization modeling. Macromol. Theory Simul. 1997, 6, 1263–1276. [Google Scholar] [CrossRef] [Green Version]
- van den Brink, M.; van Herk, A.M.; German, A.L. Non-Linear Regression by Visualization of the Sum of Residual Space Applied to the Integrated Copolymerization Equation with Errors in all Variables. I. Introduction of the Model, Simulations and Design of Experiments. J. Polym. Sci. Part A Polym. Chem. 1999, 37, 3793–3803. [Google Scholar] [CrossRef]
- Kazemi, N.; Duever, T.A.; Penlidis, A. Reactivity Ratio Estimation from Cumulative Copolymer Composition Data. Macromol. React. Eng. 2015, 5, 385–403. [Google Scholar] [CrossRef]
- Kazemi, N.; Lessard, B.H.; Maric, M.; Duever, T.A.; Penlidis, A. Reactivity Ratio Estimation in Radical Copolymerization: From Preliminary Estimates to Optimal Design of Experiments. Ind. Eng. Chem. Res. 2015, 53, 7305–7312. [Google Scholar] [CrossRef]
- Chee, K.K.; Ng, S.C. Estimation of Monomer Reactivity Ratios by the Error-in-Variable Method. Macromolecules 1986, 19, 2779–2787. [Google Scholar] [CrossRef]
- Shaban, W.M.; Rabie, A.H.; Saleh, A.I.; Abo-Elsoud, M.A. A new COVID-19 Patients Detection Strategy (CPDS) based on hybrid feature selection and enhanced KNN classifier. Knowl.-Based Syst. 2015, 205, 106270. [Google Scholar] [CrossRef] [PubMed]
- Kandelhard, F.; Schuldt, K.; Schymura, J.; Georgopanos, P.; Abetz, V. Model-Assisted Optimization of RAFT Polymerization in Micro-Scale Reactors—A Fast Screening Approach. Macromol. React. Eng. 2015, 15, 2000058. [Google Scholar] [CrossRef]
- Sharma, M.C.; Sharma, S.; Sahu, N.K.; Kohli, D.V. 3D QSAR k-NN-MFA studies on 6-substituted benzimidazoles derivatives as Nonpeptide Angiotensin II Receptor Antagonists: A rational approach to antihypertensive agents. J. Saudi Chem. Soc. 2015, 17, 167–176. [Google Scholar] [CrossRef] [Green Version]
- Rahman, S.A.; Huang, Y.; Claassen, J.; Heintzman, N.; Kleinberg, S. Combining Fourier and lagged k-nearest neighbor imputation for biomedical time series data. J. Biomed. Inform. 2015, 58, 198–207. [Google Scholar] [CrossRef] [Green Version]
- Ehsani, R.; Drabløs, F. Robust Distance Measures for kNN Classification of Cancer Data. Cancer Inform. 2015, 19, 1–9. [Google Scholar]
- Tanveer, M.; Sharma, A.; Suganthan, P.N. Least squares KNN-based weighted multiclass twin SVM. Neurocomputing 2015, 21, 454–464. [Google Scholar] [CrossRef]
- Fleckenstein, P.J.; Alter, C.; Lazzari, S.; Vale, H.M. A General Approach for Modeling Acrylate and Methacrylate Solution Copolymerizations. Ind. Eng. Chem. Res. 2021, 60, 10615–10637. [Google Scholar] [CrossRef]
- Edeleva, M.; Van Steenberge, P.H.M.; Sabbe, M.K.; D’hooge, D.R. Connecting Gas-Phase Computational Chemistry to Condensed Phase Kinetic Modeling: The State-of-the-Art. Polymers 2021, 13, 3027. [Google Scholar] [CrossRef]
- Wang, Y.; Pan, Z.; Pan, Y. A Training Data Set Cleaning Method by Classification Ability Ranking for the k -Nearest Neighbor Classifier. IEEE Trans. Neural Netw. Learn. Syst. 2015, 31, 1544–1556. [Google Scholar] [CrossRef] [PubMed]
- Chao, W.L.; Liu, J.Z.; Ding, J.J. Facial age estimation based on label-sensitive learning and age-oriented regression. Pattern Recognit. 2015, 46, 628–641. [Google Scholar] [CrossRef]
- Harrou, F.; Zeroual, A.; Sun, Y. Traffic congestion monitoring using an improved kNN strategy. Measurement 2015, 156, 107534. [Google Scholar] [CrossRef]
- Hagiopol, C. Copolymerization: Toward a Systematic Approach; Kluwer Academic: New York, NY, USA; Plenum Publishers: New York, NY, USA, 1999; p. 26. [Google Scholar]
- Patel, D.M.; Shekh, M.I.; Patel, K.P.; Patel, R.M. Synthesis, Characterization and Antimicrobial Activity of Novel Acrylic Materials. J. Chem. Pharma. Res. 2015, 7, 470–480. [Google Scholar]
- Contreras-López, D.; Saldívar-Guerra, E.; Luna-Bárcenas, G. Copolymerization of Isoprene with Polar Vinyl Monomers: Reactivity Ratios, Characterization and Thermal Properties. Eur. Polym. J. 2015, 49, 1760–1772. [Google Scholar] [CrossRef]
- Bauri, K.; Roy, S.G.; Arora, S.; Dey, R.K.; Goswami, A.; Maéas, G.P. Thermal Degradation Kinetics of Thermoresponsive Poly(N-Isopropylacrylamide-co-N, N-Dimethylacrylamide) Copolymers Prepared Via RAFT Polymerization. J. Therm. Anal. Calorim. 2015, 111, 753–761. [Google Scholar] [CrossRef]
- Mathew, M.; Duever, T. Reactivity Ratio Estimation in Non-Linear Polymerization Models using Markov Chain Monte Carlo Techniques and an Error-In-Variables Framework. Macromol. Theory Simul. 2015, 24, 566–579. [Google Scholar] [CrossRef]
Publisher’s Note: MDPI stays neutral with regard to jurisdictional claims in published maps and institutional affiliations. |
© 2021 by the authors. Licensee MDPI, Basel, Switzerland. This article is an open access article distributed under the terms and conditions of the Creative Commons Attribution (CC BY) license (https://creativecommons.org/licenses/by/4.0/).























