Highly Efficient Piezoelectrets through Ultra-Soft Elastomeric Spacers
Abstract
:1. Introduction
2. Materials and Methods
3. Results and Discussion
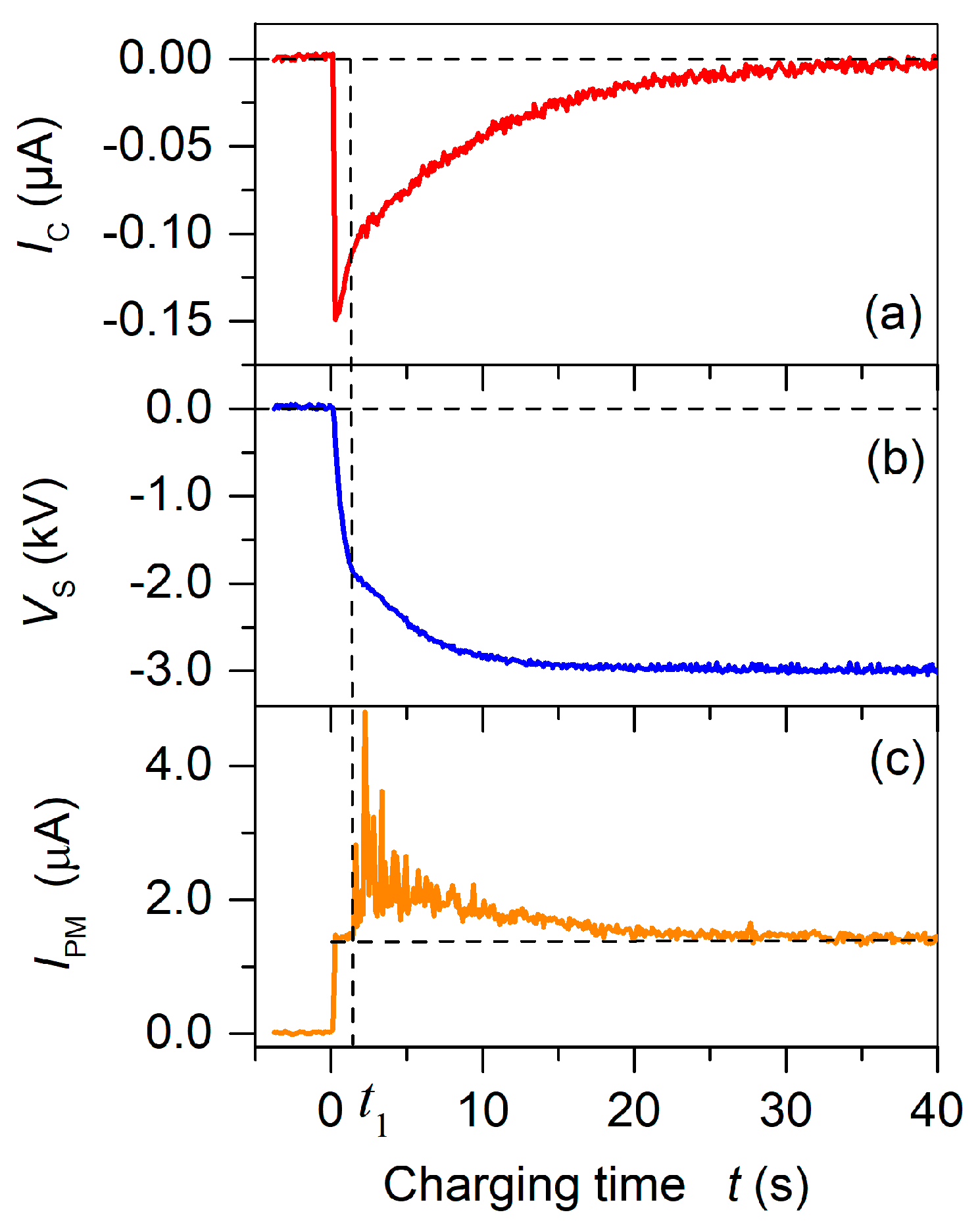
3.1. Poling of Elastomer-Spaced Fluoropolymer Piezoelectrets
3.2. Temporal and Thermal Stability of the d33 Coefficient
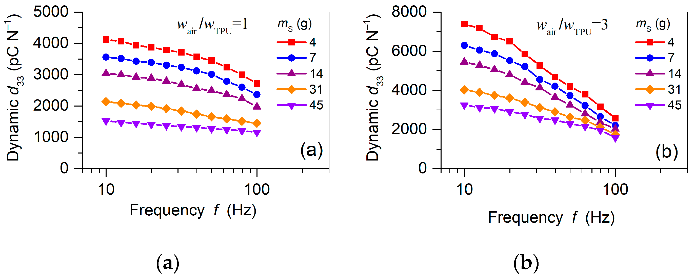
3.3. Mechanical Properties and Dependence of the d33 Coefficient on Pressure, Frequency, and Acceleration
4. Conclusions
Author Contributions
Funding
Institutional Review Board Statement
Informed Consent Statement
Data Availability Statement
Acknowledgments
Conflicts of Interest
References
- Bauer, S.; Gerhard, R.; Sessler, G.M. Ferroelectrets: Soft electroactive foams for transducers. Phys. Today 2004, 57, 37–43. [Google Scholar] [CrossRef]
- Wegener, M.; Bauer, S. Microstorms in cellular polymers: A route to soft piezoelectric transducer materials with engineered macroscopic dipoles. ChemPhysChem 2005, 6, 1014–1025. [Google Scholar] [CrossRef]
- Wang, T.; Herbert, J.; Glass, A. The Application of Ferroelectric Polymers; Blackie: Glasgow, Scotland, 1988. [Google Scholar]
- Ramadan, K.S.; Sameoto, D.; Evoy, S. A review of piezoelectric polymers as functional materials for electromechanical transducers. Smart Mater. Struct. 2014, 23, 033001. [Google Scholar] [CrossRef]
- Lines, M.E.; Glass, A.M.; Burns, G. Principles and applications of ferroelectrics and related materials. Phys. Today 1978, 31, 56. [Google Scholar] [CrossRef]
- Gerhard-Multhaupt, R. Less can be more. Holes in polymers lead to a new paradigm of piezoelectric materials for electret transducers. IEEE Trans. Dielectr. Electr. Insul. 2002, 9, 850–859. [Google Scholar] [CrossRef]
- Bauer, S. Piezo-, pyro- and ferroelectrets: Soft transducer materials for electromechanical energy conversion. IEEE Trans. Dielectr. Electr. Insul. 2006, 13, 953–962. [Google Scholar] [CrossRef]
- Qiu, X. Patterned piezo-, pyro-, and ferroelectricity of poled polymer electrets. J. Appl. Phys. 2010, 108, 011101. [Google Scholar] [CrossRef] [Green Version]
- Hamdi, O.; Mighri, F.; Rodrigue, D. Piezoelectric cellular polymer films: Fabrication, properties and applications. AIMS Mater. Sci. 2018, 5, 845–869. [Google Scholar] [CrossRef]
- Zhang, Y.; Bowen, C.R.; Ghosh, S.K.; Mandal, D.; Khanbareh, H.; Arafa, M.; Wan, C. Ferroelectret materials and devices for energy harvesting applications. Nano Energy 2019, 57, 118–140. [Google Scholar] [CrossRef]
- Zhang, X.; Von Seggern, H.; Sessler, G.M.; Kupnik, M. Mechanical energy harvesting with ferroelectrets. IEEE Electr. Insul. Mag. 2020, 36, 47–58. [Google Scholar] [CrossRef]
- Paajanen, M.; Lekkala, J.; Kirjavainen, K. ElectroMechanical Film (EMFi)—A new multipurpose electret material. Sensors Actuators A Phys. 2000, 84, 95–102. [Google Scholar] [CrossRef]
- Zhang, X.; Hillenbrand, J.; Sessler, G.M. Piezoelectric d33 coefficient of cellular polypropylene subjected to expansion by pressure treatment. Appl. Phys. Lett. 2004, 85, 1226. [Google Scholar] [CrossRef]
- Wegener, M.; Wirges, W.; Gerhard-Multhaupt, R. Piezoelectric polyethylene terephthalate (PETP) foams–specifically designed and prepared ferroelectret films. Adv. Eng. Mater. 2005, 7, 1128–1131. [Google Scholar] [CrossRef]
- Hamdi, O.; Mighri, F.; Rodrigue, D. Piezoelectric property improvement of polyethylene ferroelectrets using postprocessing thermal-pressure treatment. Polym. Adv. Technol. 2019, 30, 153–161. [Google Scholar] [CrossRef] [Green Version]
- Zhukov, S.; Ma, X.; Von Seggern, H.; Sessler, G.M.; Ben Dali, O.; Kupnik, M.; Zhang, X. Biodegradable cellular polylactic acid ferroelectrets with strong longitudinal and transverse piezoelectricity. Appl. Phys. Lett. 2020, 117, 112901. [Google Scholar] [CrossRef]
- Gerhard-Multhaupt, R.; Kunstler, W.; Gome, T.; Pucher, A.; Weinhold, T.; Seiss, M.; Xia, Z.; Wedel, A.; Danz, R. Porous PTFE space-charge electrets for piezoelectric applications. IEEE Trans. Dielectr. Electr. Insul. 2000, 7, 480–488. [Google Scholar] [CrossRef]
- Hu, Z.; Von Seggern, H. Breakdown-induced polarization buildup in porous fluoropolymer sandwiches: A thermally stable piezoelectret. J. Appl. Phys. 2006, 99, 024102. [Google Scholar] [CrossRef]
- Huang, J.; Zhang, X.; Xia, Z.; Wang, X. Piezoelectrets from laminated sandwiches of porous polytetrafluoroethylene films and nonporous fluoroethylenepropylene films. J. Appl. Phys. 2008, 103, 084111. [Google Scholar] [CrossRef]
- Seggern, H.; Zhukov, S.; Fedosov, S. Poling dynamics and thermal stability of FEP/ePTFE/FEP sandwiches. IEEE Trans. Dielectr. Electr. Insul. 2010, 17, 1056–1065. [Google Scholar] [CrossRef]
- Von Seggern, H.; Zhukov, S.; Fedosov, S. Importance of geometry and breakdown field on the piezoelectric d33 coefficient of corona charged ferroelectret sandwiches. IEEE Trans. Dielectr. Electr. Insul. 2011, 18, 49–56. [Google Scholar] [CrossRef]
- Zhang, X.; Sessler, G.M.; Xue, Y.; Ma, X. Audio and ultrasonic responses of laminated fluoroethylenepropylene and porous polytetrafluoroethylene films with different charge distributions. J. Phys. D Appl. Phys. 2016, 49, 205502. [Google Scholar] [CrossRef]
- Wang, N.; Daniels, R.; Connelly, L.; Sotzing, M.; Wu, C.; Gerhard, R.; Sotzing, G.A.; Cao, Y. All-organic flexible ferroelectret nanogenerator with fabric-based electrodes for self-powered body area networks. Small 2021, 17, 2103161. [Google Scholar] [CrossRef] [PubMed]
- Zhang, X.; Hillenbrand, J.; Sessler, G.M. Ferroelectrets with improved thermal stability made from fused fluorocarbon layers. J. Appl. Phys. 2007, 101, 054114. [Google Scholar] [CrossRef]
- Sun, Z.; Zhang, X.; Xia, Z.; Qiu, X.; Wirges, W.; Gerhard, R.; Zeng, C.; Zhang, C.; Wang, B. Polarization and piezoelectricity in polymer films with artificial void structure. Appl. Phys. A 2011, 105, 197–205. [Google Scholar] [CrossRef]
- Altafim, R.A.P.; Qiu, X.; Wirges, W.; Gerhard, R.; Basso, H.C.; Jenninger, W.; Wagner, J. Template-based fluoroethylenepropylene piezoelectrets with tubular channels for transducer applications. J. Appl. Phys. 2009, 106, 014106. [Google Scholar] [CrossRef]
- Altafim, R.P.; Rychkov, D.; Wirges, W.; Gerhard, R.; Basso, H.; Altafim, R.C.; Melzer, M. Laminated tubular-channel ferroelectret systems from low-density polyethylene films and from fluoroethylene- propylene copolymer films-A comparison. IEEE Trans. Dielectr. Electr. Insul. 2012, 19, 1116–1123. [Google Scholar] [CrossRef]
- Zhang, X.; Sessler, G.M.; Wang, Y. Fluoroethylenepropylene ferroelectret films with cross-tunnel structure for piezoelectric transducers and micro energy harvesters. J. Appl. Phys. 2014, 116, 074109. [Google Scholar] [CrossRef]
- Kacprzyk, R.; Mirkowska, A. Piezo-tubes. IEEE Trans. Dielectr. Electr. Insul. 2018, 25, 759–765. [Google Scholar] [CrossRef]
- Zhukov, S.; Eder-Goy, D.; Biethan, C.; Fedosov, S.; Xu, B.-X.; von Seggern, H. Tubular fluoropolymer arrays with high piezo-electric response. Smart Mater. Struct. 2018, 27, 015010. [Google Scholar] [CrossRef]
- Ma, X.; von Seggern, H.; Sessler, G.M.; Zhukov, S.; Ben Dali, O.; Kupnik, M.; Zhang, X. High performance fluorinated polyethylene propylene ferroelectrets with an air-filled parallel-tunnel structure. Smart Mater. Struct. 2020, 30, 015002. [Google Scholar] [CrossRef]
- Raizer, Y.P. Gas Discharge Physics; Allen, J.E., Ed.; Springer: Berlin, Germany, 1991. [Google Scholar]
- Zhukov, S.; Von Seggern, H. Polarization hysteresis and piezoelectricity in open-porous fluoropolymer sandwiches. J. Appl. Phys. 2007, 102, 44109. [Google Scholar] [CrossRef]
- Zhang, X.; Hillenbrand, J.; Sessler, G.M.; Haberzettl, S.; Lou, K. Fluoroethylenepropylene ferroelectrets with patterned micro-structure and high, thermally stable piezoelectricity. Appl. Phys. A 2012, 107, 621–629. [Google Scholar] [CrossRef]
- Xu, B.; von Seggern, H.; Zhukov, S.; Gross, D. Continuum modeling of charging process and piezoelectricity of ferroelectrets. J. Appl. Phys. 2013, 114, 094103. [Google Scholar] [CrossRef]
- Xu, B.-X.; von Seggern, H.; Zhukov, S.; Gross, D. An internal-variable-based interface model for the charging process of fer-roelectrets. Eur. J. Mech. A Solids 2014, 48, 97–111. [Google Scholar] [CrossRef]
- Zhukov, S.; Eder-Goy, D.; Fedosov, S.; Xu, B.-X.; von Seggern, H. Analytical prediction of the piezoelectric d33 response of fluoropolymer arrays with tubular air channels. Sci. Rep. 2018, 8, 4597. [Google Scholar] [CrossRef] [PubMed]
- Sessler, G.M.; Hillenbrand, J. Electromechanical response of cellular electret films. Appl. Phys. Lett. 1999, 75, 3405–3407. [Google Scholar] [CrossRef]
- Hillenbrand, J.; Sessler, G.M.; Zhang, X. Verification of a model for the piezoelectric d33 coefficient of cellular electret films. J. Appl. Phys. 2005, 98, 064105. [Google Scholar] [CrossRef]
- Qi, H.; Boyce, M. Stress–strain behavior of thermoplastic polyurethanes. Mech. Mater. 2005, 37, 817–839. [Google Scholar] [CrossRef]
- Bakır, A.A.; Neshani, R.; Özerinç, S. Mechanical Properties of 3D-Printed Elastomers Produced by Fused Deposition Modelling. In Fused Deposition Modeling Based 3D Printing; Dave, H.K., Davim, J.P., Eds.; Springer Nature Switzerland AG: Cham, Switzerland, 2021; pp. 107–130. [Google Scholar] [CrossRef]
- Zhukov, S.; Von Seggern, H. Breakdown-induced light emission and poling dynamics of porous fluoropolymers. J. Appl. Phys. 2007, 101, 84106. [Google Scholar] [CrossRef]
- Zhukov, S.; von Seggern, H.; Zhang, X.; Xue, Y.; Ben Dali, O.; Pondrom, P.; Sessler, G.M.; Kupnik, M. Microenergy harvesters based on fluorinated ethylene propylene piezotubes. Adv. Eng. Mater. 2020, 22, 1901399. [Google Scholar] [CrossRef] [Green Version]
- Von Seggern, H. Identification of TSC peaks and surface voltage stability in Teflon FEP. J. Appl. Phys. 1979, 50, 2817. [Google Scholar] [CrossRef]
- Dias, C.; Marat-Mendes, J.N.; Giacometti, J.A. Effects of a corona discharge on the charge stability of Teflon FEP negative electrets. J. Phys. D Appl. Phys. 1989, 22, 663–669. [Google Scholar] [CrossRef]
- Von Seggern, H.; West, J.E. Stabilization of positive charge in fluorinated ethylene propylene copolymer. J. Appl. Phys. 1984, 55, 2754–2757. [Google Scholar] [CrossRef]
- Zhukov, S.; Fedosov, S.; von Seggern, H. Piezoelectrets from sandwiched porous polytetrafluoroethylene (ePTFE) films: In-fluence of porosity and geometry on charging properties. J. Phys. D Appl. Phys. 2011, 44, 105501. [Google Scholar] [CrossRef]
- Von Seggern, H. Isothermal and thermally stimulated current studies of positively corona charged polyfluoroethylenepropylene (Teflon FEP). J. Appl. Phys. 1981, 52, 4081. [Google Scholar] [CrossRef]
- Von Seggern, H. A new model of isothermal charge transport for negatively corona-charged Teflon. J. Appl. Phys. 1979, 50, 7039. [Google Scholar] [CrossRef]
- FEP Handbook. Available online: https://www.rjchase.com. (accessed on 29 June 2021).
- Hu, J.; Li, Y.; Li, C.; Chen, W.; Yang, D. Mechanical properties of fluorinated ethylene propylene (FEP) foils in use for neutrino detector project. Polym. Test. 2017, 59, 362–370. [Google Scholar] [CrossRef]
- Yanagiharaa, Y.; Osakaa, N.; Iimoria, S.; Murayamab, S.; Saito, H. Relationship between modulus and structure of annealed thermoplastic polyurethane. Mater. Today Commun. 2015, 2, e9–e15. [Google Scholar] [CrossRef]
- Voigt, W. Lehrbuch Der Kristallphysik; Springer: Berlin/Heidelberg, Germany, 1966. [Google Scholar]
- Reuss, A.Z. Angew. Math. Mech. 1929, 9, 49. [Google Scholar]
- Hillenbrand, J.; Sessler, G. Quasistatic and dynamic piezoelectric coefficients of polymer foams and polymer film systems. IEEE Trans. Dielectr. Electr. Insul. 2004, 11, 72–79. [Google Scholar] [CrossRef]
- Lagakos, N.; Jarzynski, J.; Cole, J.H.; Bucaro, J.A. Frequency and temperature dependence of elastic moduli of polymers. J. Appl. Phys. 1986, 59, 4017–4031. [Google Scholar] [CrossRef]
- Ben Dali, O.; Pondrom, P.; Sessler, G.M.; Zhukov, S.; Von Seggern, H.; Zhang, X.; Kupnik, M. Cantilever-based ferroelectret energy harvesting. Appl. Phys. Lett. 2020, 116, 243901. [Google Scholar] [CrossRef]
- Ben Dali, O.; von Seggern, H.; Sessler, G.M.; Pondrom, P.; Zhukov, S.; Zhang, X.; Kupnik, M. Ferroelectret energy harvesting with 3D-printed air-spaced cantilever design. Nano Sel. 2021. [Google Scholar] [CrossRef]









| Extruder temperature | 220 °C |
| Temperature of the heatbed | 30 °C |
| Layer height | 0.25 mm |
| Number of layers | 1 |
| Fan | disabled |
| Extrusion multiplier | 0.70 |
| Filament diameter | 1.75 mm |
| Extrusion width | 0.42 mm |
| Nozzle diameter | 0.40 mm |
| Printing velocity | 20 mm s−1 |
Publisher’s Note: MDPI stays neutral with regard to jurisdictional claims in published maps and institutional affiliations. |
© 2021 by the authors. Licensee MDPI, Basel, Switzerland. This article is an open access article distributed under the terms and conditions of the Creative Commons Attribution (CC BY) license (https://creativecommons.org/licenses/by/4.0/).
Share and Cite
von Seggern, H.; Zhukov, S.; Dali, O.B.; Hartmann, C.; Sessler, G.M.; Kupnik, M. Highly Efficient Piezoelectrets through Ultra-Soft Elastomeric Spacers. Polymers 2021, 13, 3751. https://doi.org/10.3390/polym13213751
von Seggern H, Zhukov S, Dali OB, Hartmann C, Sessler GM, Kupnik M. Highly Efficient Piezoelectrets through Ultra-Soft Elastomeric Spacers. Polymers. 2021; 13(21):3751. https://doi.org/10.3390/polym13213751
Chicago/Turabian Stylevon Seggern, Heinz, Sergey Zhukov, Omar Ben Dali, Claas Hartmann, Gerhard M. Sessler, and Mario Kupnik. 2021. "Highly Efficient Piezoelectrets through Ultra-Soft Elastomeric Spacers" Polymers 13, no. 21: 3751. https://doi.org/10.3390/polym13213751
APA Stylevon Seggern, H., Zhukov, S., Dali, O. B., Hartmann, C., Sessler, G. M., & Kupnik, M. (2021). Highly Efficient Piezoelectrets through Ultra-Soft Elastomeric Spacers. Polymers, 13(21), 3751. https://doi.org/10.3390/polym13213751

