Sustainable Functionalization of PAN to Improve Tinctorial Capacity
Abstract
:1. Introduction
- Conversion of the ester groups of vinyl acetate (VA) into hydroxyl groups; and
2. Materials and Methods
2.1. Materials
2.2. Reagents and Chemicals
2.3. Functionalization Experiments
2.4. Analysis of the Functionalized Fibers
2.4.1. FTIR Analysis
2.4.2. XRD Analysis
2.4.3. SEM + Map + EDX
2.4.4. Thermal Resistance/Thermal Conductivity
2.4.5. TG and DTA Thermal Analysis/Thermogravimetry
2.4.6. Color Measurements
2.4.7. Statistical Analysis
3. Results and Discussion
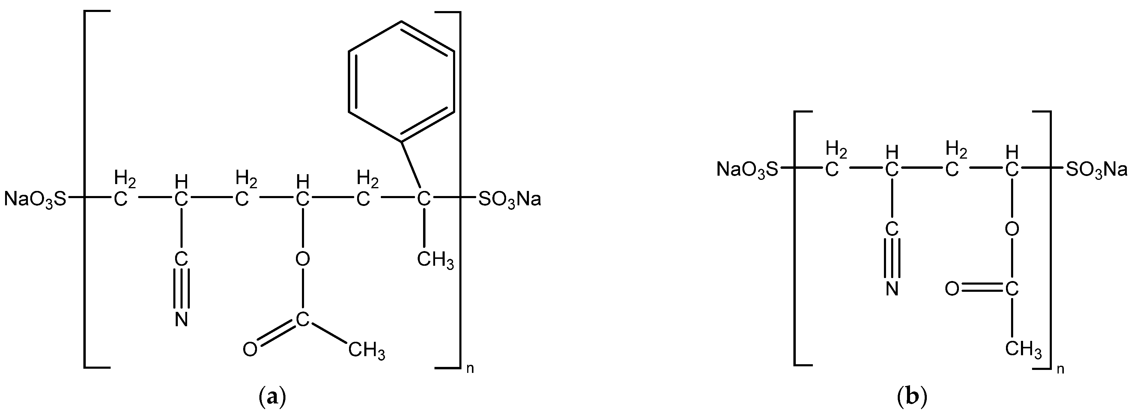
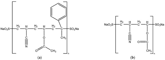
3.1. Mechanism of PAN Functionalization
- Hydroxyl groups, -OH due to the saponification of acetate groups of vinyl acetate (VA), simultaneously with acetic acid, CH3COOH release; and
- Carboxyl groups resulting from the hydrolysis of nitrile groups, via hydroxamic acid/amide as intermediates.
- (a)
- Conversion to amidoxime groups placed on the polymeric chain (Equations (2) and (3)), and in situ obtaining of potassium iodate at 120 °C (Equations (4)–(8)):
3.2. FTIR Results for the Polyacrylonitrile Materials
- The decrease in the peak intensity of CH3 (C-H stretching), due to splitting of acetate group of VA and formation of OH group; and
- The decrease in the peak intensity of nitrile group (CN stretching), due to conversion into carboxyl and oxime groups.
- The intensity of peaks at around 1600 cm−1, associated with C=N stretching (namely 1625 cm−1 in Melana or 1629 cm−1 in Dralon L); and
- The intensity of peaks associated with the nitrile groups.
3.3. XRD Results Interpretation
3.4. SEM Plus Map Plus EDX Results
- Functionalization increased the oxygen content of the polymer, from 11.57% in the treated sample, to 16.80% in the functionalized sample;
- Compared to the untreated polymer, presence of iodine was noticed (in concentration of 2.28%); and
- The degree of functionalization can be associated with the iodine content (2.28%) of the treated fiber.
- (a)
- The iodine content of functionalized Dralon L (2.28%) is higher than that of functionalized Melana (1.25%);
- (b)
- The oxygen content of functionalized Dralon L (16.80%) is higher than that of pristine Dralon L fiber (11.57%); and
- (c)
- The functionalization degree of Dralon L is equal to 2.28% and identical to its iodine content.
3.5. Thermal Resistance of Functionalized Fibers
3.6. Results of Thermogravimetric Analysis
- Tonset of untreated Melana = 640 °C;
- Tonset of functionalized Melana = 680 °C;
- Tonset of untreated Dralon L = 670 °C; and
- Tonset of functionalized Dralon L = 690 °C.
3.7. Colorimetric Measurements
3.7.1. Colorimetric Measurements on Samples Subjected to Severe Functionalization
3.7.2. Colorimetric Measurements on Samples Subjected to Controlled Functionalization
- The increase of b * values, as compared with the standard;
- Decrease of luminosity, L *; and
- Increase of saturation, C *.
3.8. Influence of Functionalization Treatment upon the Color Intensity (K/S)
- Color intensity depends on the functionalization degree; and
- Color intensity depends on the working parameters and the functionalization agents:
- Treatment with I2/KI + KOH at room temperature did not produce any color change of the acrylic fibers: b* values increased from 0.01 for untreated Dralon L to 1.08 for Dralon L functionalized with 9% KOH + 9% I2/KI.
- Functionalization at 120 °C for 60 min determined a noticeable increase of b* value: 17.67 after Dralon L treatment with 3% KOH + 3% I2/KI and 20.7–28.47 after treatment with the same reagents but in concentrations of 6–9%.
- Functionalization resulted in fiber coloration in yellow-orange shades without using dyes.
4. Conclusions
- Coloration of PAN fibers could be a result of functionalization only, without the need to use dyestuffs;
- Coloration of treated PAN fibers depended on the functionalization degree;
- Functionalization was confirmed by the results of FTIR, SEM, Map and thermogravimetric analyses;
- Functionalization improved the fabric wearing comfort, due to the increase of fiber thermal conductibility;
- Functionalization resulted in chemical modifications of the copolymer chemical structure by conversion of some nitrile groups (C≡N) into oxime groups and the alteration of the crystalline/amorphous ratio;
- The yellow-orange color gained by functionalization exhibited fastness to repeated washings and boiling at acidic pH; and
- Functionalization of the Melana and Dralon L fibers can be easily proven by the tinctorial method, which consists in dyeing with dyes compatible with the functional group created by functionalization.
Author Contributions
Funding
Institutional Review Board Statement
Informed Consent Statement
Acknowledgments
Conflicts of Interest
References
- Jin, S.Y.; Kim, M.H.; Jeong, Y.G.; Yoon, Y.I.; Park, W.H. Effect of alkaline hydrolysis on cyclization reaction of PAN nanofibers. Mater. Design 2017, 124, 69–77. [Google Scholar] [CrossRef]
- Wojcik, G.; Neagu, V.; Bunia, I. Sorption Studies of Chromium (VI) onto New Ion Exchanger with Tertiary Amine, Quaternary Ammonium, and Ketone Groups. J. Hazard. Mater. 2011, 190, 544–552. [Google Scholar] [CrossRef] [PubMed]
- Bunia, I.; Neagu, V.; Luca, C. Chemical Transformations of Different Acrylic Crosslinked Polymers with Primary Amines and Some Applications of the Synthesized Compounds. React. Funct. Polym 2006, 66, 871–883. [Google Scholar] [CrossRef]
- Bandak, A.; Kantouch, A.; El-Gabry, L. Hydrazine Treatments on Acrylic Fibers for New Dyeing Opportunities. Am. Dyest. Rep. 1995, 84, 34–45. [Google Scholar]
- Marie, M.M. Dyeing Acrylic Fibers with Acid Dyes. Am. Dyest. Rep. 1993, 9, 86. [Google Scholar]
- Saeed, K.; Haider, S.; Oh, T.-J.; Park, S.-Y. Preparation of Amidoxime-Modified Polyacrylonitrile (PAN-Oxime) Nanofibers and Their Applications to Metal Ions Adsorption. J. Membr. Sci. 2008, 322, 400–405. [Google Scholar] [CrossRef]
- Dong, Y.; Han, Z.; Liu, C.; Du, F. Preparation and Photocatalytic Performance of Fe (III)-Amidoximated PAN Fiber Complex for Oxidative Degradation of Azo Dye under Visible Light Irradiation. Sci. Total Environ. 2010, 408, 2245–2253. [Google Scholar] [CrossRef]
- Neghlani, P.K.; Rafizadeh, M.; Taromi, F.A. Preparation of Aminated-Polyacrylonitrile Nanofiber Membranes for the Adsorption of Metal Ions: Comparison with Microfibers. J. Hazard. Mater. 2011, 186, 182–189. [Google Scholar] [CrossRef]
- Popescu, V.; Muresan, E.I. Performances of Chitosan Grafted onto Surface of Polyacrylonitrile Functionalized through Amination Reactions. Ind. Eng. Chem. Res. 2013, 52, 13252–13263. [Google Scholar]
- Popescu, V.; Sandu, I.C.A.; Popescu, G. Colorimetric Evaluation of Chemical Modifications Generated by PAN Functionalization in Acid/ basic Medium and Grafting with Chitosan. Rev. Chim. (Buchar.) 2016, 67, 74–80. [Google Scholar]
- Popescu, V.; Sandu, I.C.A.; Popescu, G. Analysis of the Behaviour of PAN Functionalized with Basic Compounds, During Dyeing Process with Acid Dyes. Rev. Chim. (Buchar.) 2015, 66, 1997–2004. [Google Scholar]
- Popescu, V. Multifunctionalizations of Textile Materials Highlighted by unconventional Dyeings. In Frontiers of Textile Materials: Polymers, Nanomaterials, Enzymes, and Advanced Modification Techniques, 1st ed.; Shabbir, M., Ahmed, S., Sheikh, J.N., Eds.; Scrivener Publishing LLC, Wiley: Hoboken, NJ, USA, 2020; Volume 11, pp. 219–290. [Google Scholar]
- Popescu, V.; Radu, C.D.; Manea, L.R. Effects of the changes caused by certain chemical pretreatments performed on acrylic polymers. Ind. Textila 2010, 61, 23–30. [Google Scholar]
- Rahaman, M.S.A.; Ismail, A.F.; Mustafa, A. A review of heat treatment on polyacrylonitrile fiber. Polym. Degrad. Stabil. 2007, 92, 1421–1432. [Google Scholar]
- Dang, W.; Liu, J.; Wang, X.; Yan, K.; Zhang, A.; Yang, J.; Chen, L.; Liang, J. Structural transformation of polyacrylonitrile (PAN) fibers during rapid thermal pretreatment in nitrogen atmosphere. Polymers (Basel) 2020, 12, 1–12. [Google Scholar]
- Xiao, S.; Wang, B.; Zhao, C.; Xu, L.; Chen, B. Influence of Oxygen on the Stabilization Reaction of Polyacrylonitrile Fiber. J. Appl. Polym. Sci. 2013, 127, 2332–2338. [Google Scholar]
- Xue, Y.; Liu, J.; Lian, F.; Liang, J. Effect of the oxygen-induced modification of polyacrylonitrile fibers during thermal-oxidative stabilization on the radial microcrystalline structure of the resulting carbon fibers. Polym. Degrad. Stabil. 2013, 98, 2259–2267. [Google Scholar]
- Xiao, S.; Cao, W.; Wang, B.; Xu, L.; Chen, B. Mechanism and Kinetics of Oxidation During the Thermal Stabilization of Polyacrylonitrile Fibers. J. Appl. Polym. Sci. 2012, 127, 3198–3203. [Google Scholar]
- Chen, L.; Shen, Z.; Jie, L.; Liang, J.; Wang, X. Effects of oxygen on the structural evolution of polyacrylonitrile fibers during rapid thermal treatment. RSC Adv. 2020, 10, 6356–6361. [Google Scholar]
- Hinrichsen, G. On the origin of order-disorder in drawn polyacrylonitrile. J. Appl. Polym. Sci. 1973, 17, 3305–3321. [Google Scholar] [CrossRef]
- Peebles, L.H.; Abhiraman, A.S., Jr.; Bhat, G.S. Method for Stabilization of PAN-Based Carbon Fibers. U.S. Patent No. H1052, 5 May 1992. [Google Scholar]
- Jin, X.; Li, L.; Xu, R.; Liu, Q.; Ding, L.; Pan, Y.; Wang, C.; Hung, W.; Lee, K.; Wang, T. Effects of Thermal Cross-Linking on the Structure and Property of Asymmetric Membrane Prepared from the Polyacrylonitrile. Polymers (Basel) 2018, 10, 539. [Google Scholar]
- Mathur, R.B.; Mittal, J.; Bahl, O.P.; Sandle, N.K. Characteristics of KMnO4-modified PAN fibres-its influence on the resulting carbon fibres’ properties. Carbon 1994, 32, 71–77. [Google Scholar]
- Wang, Y.; Yin, W. Chemical Modification for PAN Fibers during Heat-treatment Process, Proceeding of The Fourth International Conference on Surface and Interface Science and Engineering. Phys. Procedia 2011, 18, 202–205. [Google Scholar]
- Zhang, C.; Li, R.; Liu, J.; Chen, G.; Guo, S.; Xu, L.; Xiao, S.; Shen, Z. Effect of KMnO4 on chemical, crystal and microscopic structure of polyacrylonitrile fibers. Ceram. Int. 2019, 4, 17669–17674. [Google Scholar]
- Andrews, R.D.; Miyachi, K.; Doshi, R.S. Iodine swelling of polyacrylonitrile I. Effect of orientation and evidence for a three phase structure. J. Macromol. Sci. B 1974, 9, 281–299. [Google Scholar]
- Andrews, R.D.; Yen, R.C.; Chang, P.C. Iodine swelling of polyacrylonitrile, III: Creep yield and conformational transition of swollen polymer. J. Macromol. Sci. B 1981, 19, 729–742. [Google Scholar]
- El-Ghamaz, A.; Diab, M.A.; Zoromba, M.S.; El-Sonbati, A.Z.; El-Shahat, O. Conducting polymers. VI. Effect of doping with iodine on the dielectrical and electrical conduction properties of polyacrylonitrile. Solid State Sci. 2013, 24, 140–146. [Google Scholar]
- Jyothi, N.K.; Kumar, K.V.; Murthy, P.N. FTIR, XRD and DC Conductivity Studies of Proton Conducting Gel Polymer Electrolytes based on Polyacrylonitrile (PAN). Int. J. Chem. Tech. Res. 2014, 6, 5214–5219. [Google Scholar]
- Adel, R.; Abdallah, T.; Moustafa, Y.M.; Al-sabagh, A.M.; Talaat, H. Effect of polymer electrolyte on the performance of natural dye sensitized solar cells. Superlattice Microst. 2015, 86, 62–67. [Google Scholar]
- Atkins, P.; Overton, T.; Rourke, J.; Weller, M.; Armstrong, F.; Hagerman, M. Inorganic Chemistry, 5th ed.; Oxford University Press: Oxford, Great Britain, 2010; pp. 431–432. [Google Scholar]
- Wells, A.F. Structural Inorganic Chemistry, 6th ed.; Oxford University Press: New York, NY, USA, 1984. [Google Scholar]
- Park, S.; Yoo, S.H.; Kang, H.R.; Mu Jo, S.; John, H.I.; Lee, S. Comprehensive stabilization mechanism of electron-beam irradiated polyacrylonitrile fibers to shorten the conventional thermal treatment. Sci. Rep. 2016, 6, 1–9. [Google Scholar]
- Yue, C.; Ye, H.; Yang, X.; Wang, K.; Miao, J.; Liu, S.; Shen, Z.; Zhang, Y. Effect of Solid Bases Catalyst on Conversion of Acrylonitrile into Acrylic Acid by Hydrothermal Reaction. In E3S Web of Conferences, volume 194, Proceedings of the 2020 5th International Conference on Advances in Energy and Environment Research (ICAEER 2020), Shanghai, China, 18–20 September 2020; Weerasinghe, R., Wu, J., Weng, C.-H., Eds.; EDP Sciences: Ulis, France, 2020. [Google Scholar]
- ChemBuddy. Available online: https://www.chembuddy.com/?left=BATE&right=dissociation_constants#Kb (accessed on 17 August 2021).
- Teoh, H.; Mac, I.D.; Metz, P., Jr. Electrical conductivity of doped polyacrylonitrile (PAN). J. Phys. Colloq. 1983, 44, 687–691. [Google Scholar]
- Kim, H.S.; Cho, H.H. Crystalline structure of polyacrylonitrile-iodine complex. J. Appl. Polym. Sci. 1994, 53, 1403–1413. [Google Scholar] [CrossRef]
- Jyothi, N.K.; Venkataratnam, K.K.; Murty, P.N.; Kumar, K.W. Preparation and characterization of PAN-KI complexed gel polymer electrolytes for solid-state battery applications. Bull. Mater. Sci. 2016, 39, 1047–1055. [Google Scholar] [CrossRef] [Green Version]
- Sahyoun, T.; Arrault, A.; Schneider, R. Amidoximes and Oximes: Synthesis, Structure, and Their Key Role as NO Donors. Molecules 2019, 24, 2470. [Google Scholar] [CrossRef] [Green Version]
- Yoshimura, A.; Zhdankin, V.V. Oxidative cyclizations of oximes using hypervalent iodine reagents. Arkivoc 2017, 1, 99–116. [Google Scholar] [CrossRef] [Green Version]
- Zhang, W.; Wang, M.; Zhang, W.; Liu, W.; Yang, C.; Shen, R.; Wu, G. Significantly reduced pre-oxidation period of PAN fibers by continuous electron beam irradiation: Optimization by monitoring radical variation. Polym. Degrad. Stabil. 2018, 158, 72–82. [Google Scholar] [CrossRef]
- Fkzer, E.; Miller, D.J. The influence of oxygen on the chemical reactions during stabilization of PAN as carbon fiber precursor. Carbon 1975, 13, 63–69. [Google Scholar]
- Kharasch, M.S.; Sosnovsky, G. Oxidative reactions of nitriles-I autoxidation. Tetrahedron 1958, 3, 97–104. [Google Scholar] [CrossRef]
- Basel, Y.; Hassner, A. An Improved Method for Preparation of Nitrile Oxides from Nitroalkanes for In Situ Dipolar Cyclo additions. Synthetis 1997, 3, 309–312. [Google Scholar]
- Ajay Kumar, K.; Govindaraju, M.; Jayaroopa, P.; Vasanth Kumar, G. Nitrile oxides: A key intermediate in organic synthesis. IJPCBS 2012, 3, 91–101. [Google Scholar]
- Belen’kii, L.I. Nitrile Oxides. Nitrile oxides, nitrones, and nitronates in organic synthesis: Novel Strategies in Synthesis, 2nd ed.; John Wiley & Sons, Inc.: Hoboken, NJ, USA, 2008; pp. 1–127. [Google Scholar]
- Grundmann, C.; Grünanger, P. The Nitrile Oxides: Versatile Tools of Theoretical and Preparative Chemistry. In Organische Chemie in Einzeldarstellungen, 1st ed.; Bredereck, H., Hafner, K., Miiller, E., Eds.; Publisher Springer-Verlag Berlin: New York, NY, USA, 1971; Volume 13, pp. 10–20. [Google Scholar]
- Zhang, W.; Lin, J.-H.; Zhang, P.; Xiao, J.-C. A convenient reagent for the conversion of aldoximes into nitriles and isonitriles. Chem. Commun. (Camb) 2020, 56, 6221–6224. [Google Scholar] [CrossRef]
- Popescu, V.; Astanei, D.-G.; Burlica, R.; Popescu, A.; Munteanu, C.; Ciolacu, F.; Ursache, M.; Ciobanu, L.; Cocean, A. Sustainable and cleaner microwave-assisted dyeing process for obtaining eco-friendly and fluorescent acrylic knitted fabrics. J. Clean. Prod. 2019, 232, 451–461. [Google Scholar]
- Alarifi, I.M.; Alharbi, A.; Khan, W.S.; Swindle, A.; Asmatulu, R. Properties of electrospun polyacrylonitrile nanofibers for structural health monitoring. Materials 2015, 8, 7017–7031. [Google Scholar] [CrossRef] [PubMed] [Green Version]
- Zhang, L.; Dai, Y.; Kai, Y.; Jin, R. Structural evolution and kinetic study of high isotacticity poly(acrylonitrile) during isothermal pre-oxidation. Carbon Lett. 2011, 12, 229–235. [Google Scholar] [CrossRef] [Green Version]
- Setnescu, R.; Jipa, S.; Setnescu, T.; Kappel, W.; Kobayashi, S.; Osawa, Z. IR and X-ray characterization of the ferromagnetic phase of pyrolyzed polyacrylonitrile. Carbon 1999, 37, 1–6. [Google Scholar] [CrossRef]






















| Functionalization Parameters | Concentration of Functionalization Agents | ||
|---|---|---|---|
| KOH [% owf] * | I2/KI [% owf] * | KOH + I2/KI [% owf] * | |
| “Controlled functionalization” | |||
| T = 20 °C (room temperature), t = 3 days, M = 1:15 | 9 | 9 | 9 + 9 |
| T = 120 °C, t = 60 min, M = 1:15 | 3 | 3 | 3 + 3 |
| 6 | 6 | 6 + 6 | |
| 9 | 9 | 9 + 9 | |
| T = 120 °C, t = 30 min, M = 1:15 | “Severe functionalization” Due to excess of chemical reagents Knit fabric variants: V1 and V2 | ||
| Sample | Functionalization Treatment | Before Functionalization | After Functionalization | ||
|---|---|---|---|---|---|
| pH | Conductibility (μS/cm) | pH | Conductibility (μS/cm) | ||
| Dralon L | 6% KOH | 12.27 | 13,475 | 11.37 | 10,520 |
| 6% KI | 7.9 | 3160 | 7.26 | 3146 | |
| 6% KOH + 6% I2/KI | 6.65 | 1828 | 4.65 | 2166 | |
| Melana | 6% KOH | 11.42 | 13,430 | 11.28 | 12,476 |
| 6% KI | 7.63 | 3166 | 6.31 | 3320 | |
| 6% KOH + 6% I2/KI | 6.64 | 1753 | 5.25 | 2254 | |
| Bond | Mode | Untreated Dralon L | Dralon L | Untreated Melana | Functionalized Melana |
|---|---|---|---|---|---|
| O-H | Stretching | 3627–3531 | 3625–3137 | 3637–3546 | 3623–3531 |
| C-H | Stretching | 2941–2873 | 2939–2875 | 2941–2869 | 2937–2873 |
| C≡N | Stretching | 2242 | 2244 | 2242 | 2242 |
| C=O | Symmetric Stretching | 1735 | 1735 | 1746 | 1746 |
| C=N | Stretching | - | 1629 | 1627 | 1625 |
| CH2 | Symmetric Deformation | 1456 | 1456 | 1498–1454 | 1498–1454 |
| CH3 | Symmetric Deformation | 1359 | 1357 | 1369 | 1371 |
| C-O-C C-H | Stretching Wagging | 1249 | 1226 | 1242 | 1240 |
| C-OH | Stretching | 1070 | 1074 | 1076 | 1076 |
| N-O | From oxime | - | 930 | - | 939 |
| C–H | C–H rocking of pure PAN | 839 | 841 | 863 | 901 |
| for KIO3 | - | 761 | - | 773 | |
| C-I Stretch | - | 638 | - | 628 | |
| Untreated Melana | Functionalized Melana | ||||||
|---|---|---|---|---|---|---|---|
| Element | [wt.%] | [norm. wt.%] | [norm. at.%] | Element | [wt.%] | [norm. wt.%] | [norm. at.%] |
| Carbon | 51.47189 | 51.47343 | 56.24074 | Carbon | 45.25431 | 45.25567 | 50.63058 |
| Nitrogen | 34.86316 | 34.86421 | 32.66563 | Nitrogen | 37.58808 | 37.58921 | 36.06172 |
| Sulfur | 0.274572 | 0.27458 | 0.112376 | Sulfur | 0.421683 | 0.421696 | 0.176715 |
| Oxygen | 13.38738 | 13.38778 | 10.98125 | Oxygen | 15.47541 | 15.47587 | 12.99782 |
| Iodine | 1.257518 | 1.257556 | 0.133159 | ||||
| Sum | 99.997 | 100 | 100 | Sum | 99.997 | 100 | 100 |
| Untreated Dralon L | Functionalized Dralon L | ||||||
|---|---|---|---|---|---|---|---|
| Element | [wt.%] | [norm.wt.%] | [norm.at.%] | Element | [wt.%] | [norm.wt.%] | [norm.at.%] |
| Carbon | 51.66247 | 51.66402 | 56.31075 | Carbon | 43.36094 | 43.36224 | 49.15906 |
| Nitrogen | 36.4963 | 36.49438 | 34.10928 | Nitrogen | 37.1662 | 37.16731 | 36.13237 |
| Sulfur | 0.266486 | 0.266494 | 0.108799 | Sulfur | 0.388544 | 0.388556 | 0.164998 |
| Oxygen | 11.57476 | 11.57511 | 9.471172 | Oxygen | 16.80041 | 16.80091 | 14.29883 |
| Iodine | 2.280914 | 2.280983 | 0.244746 | ||||
| Sum | 100 | 100 | 100 | Sum | 100 | 100 | 100 |
| Sample Name | L * | a * | b * | C * | h | K/S |
|---|---|---|---|---|---|---|
| Dralon L treatment for 3 days, at room temperature | ||||||
| Control sample | 88.72 | −0.74 | 0.01 | 0.74 | 179.42 | 0.1453 |
| 9% KOH | 87.47 | −1.22 | 2.48 | 2.75 | 116.13 | 0.1472 |
| 9% I2/KI | 87.98 | −1.66 | 3.57 | 3.94 | 114.95 | 0.1923 |
| 9% KOH + 9% I2/KI | 86.26 | −0.86 | 1.08 | 1.38 | 128.73 | 0.136 |
| Treatment with 3% KOH + 3% I2/KI at 120 °C, t = 60 min, M = 1:15 | ||||||
| Melana | 86.84 | −0.99 | 13.16 | 13.20 | 94.29 | 0.315 |
| Dralon L | 82.29 | −2.45 | 17.67 | 17.84 | 97.91 | 0.908 |
| Dralon L functionalization with 6% reagents at 120 °C, t = 60 min, M = 1:15 | ||||||
| Control sample boiled at 120 °C (without chemicals) | 88.6 | −1.21 | 3.48 | 3.66 | 109.23 | 0.1351 |
| 6% KOH | 80.66 | 1.26 | 33.29 | 33.32 | 87.86 | 2.06 |
| 6% I2/KI | 86.8 | −1.08 | 3.16 | 3.34 | 108.87 | 0.1622 |
| 6% KOH + 6% I2/KI | 86.92 | −1.56 | 20.73 | 20.79 | 94.31 | 1.676 |
| Dralon L functionalization with 9% reagents at 120 °C, t= 60 min, M = 1:15 | ||||||
| Control sample boiled at 120 °C (without chemicals) | 88.6 | −1.21 | 3.48 | 3.66 | 109.23 | 0.1351 |
| 9% KOH | 82.56 | −0.71 | 24.85 | 24.86 | 91.63 | 1.171 |
| 9% I2/KI | 87.02 | −1.12 | 3.51 | 3.68 | 107.72 | 0.170 |
| 9% KOH + 9% I2/KI | 81.43 | −0.02 | 28.47 | 28.47 | 90.03 | 1.530 |
Publisher’s Note: MDPI stays neutral with regard to jurisdictional claims in published maps and institutional affiliations. |
© 2021 by the authors. Licensee MDPI, Basel, Switzerland. This article is an open access article distributed under the terms and conditions of the Creative Commons Attribution (CC BY) license (https://creativecommons.org/licenses/by/4.0/).
Share and Cite
Popescu, V.; Buciscanu, I.I.; Pruneanu, M.; Maier, S.S.; Danila, A.; Maier, V.; Pîslaru, M.; Rotaru, V.; Cristian, I.N.; Popescu, A.; et al. Sustainable Functionalization of PAN to Improve Tinctorial Capacity. Polymers 2021, 13, 3665. https://doi.org/10.3390/polym13213665
Popescu V, Buciscanu II, Pruneanu M, Maier SS, Danila A, Maier V, Pîslaru M, Rotaru V, Cristian IN, Popescu A, et al. Sustainable Functionalization of PAN to Improve Tinctorial Capacity. Polymers. 2021; 13(21):3665. https://doi.org/10.3390/polym13213665
Chicago/Turabian StylePopescu, Vasilica, Ingrid Ioana Buciscanu, Melinda Pruneanu, Stelian Sergiu Maier, Angela Danila, Vasilica Maier, Marius Pîslaru, Vlad Rotaru, Irina Niculina Cristian, Andrei Popescu, and et al. 2021. "Sustainable Functionalization of PAN to Improve Tinctorial Capacity" Polymers 13, no. 21: 3665. https://doi.org/10.3390/polym13213665
APA StylePopescu, V., Buciscanu, I. I., Pruneanu, M., Maier, S. S., Danila, A., Maier, V., Pîslaru, M., Rotaru, V., Cristian, I. N., Popescu, A., Istrate, B., Blaga, A. C., Ciolacu, F., Cretescu, I., Chelariu, P., & Marin, M. (2021). Sustainable Functionalization of PAN to Improve Tinctorial Capacity. Polymers, 13(21), 3665. https://doi.org/10.3390/polym13213665

